Skip to main content

1H, 13C and 15N resonance assignments and second structure information of Gad m 1: a β-parvalbumin allergen from Atlantic cod (Gadus morhua)

Abstract

Gad m 1 is the major allergen from Atlantic cod. It belongs to β-parvalbumin protein family and is characterized by the presence of two calcium-binding sites so called EF-hand motifs. β-Parvalbumins such as Gad m 1 are the most important fish allergens and their high cross-reactivity is the cause of the observed polysensitization to various fish species in allergic patients. Despite extensive efforts, the complete elucidation of β-parvalbumin-IgE complexes has not been achieved yet. Allergen structural studies are essential for the development of novel immunotherapy strategies, including vaccination with hypoallergenic derivatives and chimeric molecules. Here, we report for the first time the NMR study of a β-parvalbumin: Gad m 1. This report includes: 1H, 13C and 15N resonance assignments of Gad m 1 as well as the second structure information based on the 13C chemical shifts.

This is a preview of subscription content, access via your institution.

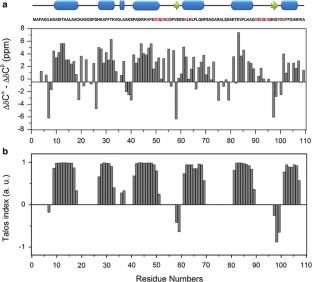
Fig. 1
Fig. 2

References

  • Akdis C (2006) Allergen and hypersensitivity mechanism of allergic disease. Curr Opin Immunol 18:718–726

    Article  Google Scholar 

  • Breiteneder H, Mills E (2005) Molecular properties of food allergens. J Allergy Clin Immunol 115:14–23

    Article  Google Scholar 

  • Griesmeier U, Vázquez-Cortés S, Bublin M, Radauer C, Ma Y, Briza P, Fernández-Rivas M, Breiteneder H (2010) Expression levels of parvalbumins determine allergenicity of fish species. Allergy 65:191–198

    Article  Google Scholar 

  • Jenkins A, Breiteneder H, Mills N (2007) Evolutionary distance from human homologs reflects allergenicity of animal food proteins. J Allergy Clin Immunol 120:1399–1405

    Article  Google Scholar 

  • Keller R, Wultrhich K (2004) The computer aided resonance assignment. Available at: http/www.nmr.ch

  • Lewit-Bentley A, Rety S (2000) EF-hand calcium-binding proteins. Curr Opin Struct Biol 10:637–643

    Article  Google Scholar 

  • Ma Y, Griesmeier U, Susani M, Radauer C, Briza P, Erler A, Bublin M, Alessandri S, Himly M, Vàzquez-Cortés S, de Arellano IR, Vassilopoulou E, Saxoni-Papageorgiou P, Knulst AC, Fernández-Rivas M, Hoffmann-Sommergruber K, Breiteneder H (2008) Comparison of natural and recombinant forms of the major fish allergen parvalbumin from cod and carp. Mol Nutr Food Res 52:S196–S207

    Google Scholar 

  • Razzera E, Gadermaier G, de Paula V, Almeida M, Egger M, Jahn-Schmid B, Almeida FCL, Ferreira F, Valente AP (2010) Mapping the interactions between a major pollen allergen and human IgE antibodies. Structure 18:1011–1021

    Article  Google Scholar 

  • Shen Y, Delaglio F, Cornilescu G, Bax A (2009) Talos+: a hybrid method for predicting protein backbone torsion angle from NMR chemical shifts. J Biomol NMR 44:213–223

    Article  Google Scholar 

  • Wallner M, Stöcklinger A, Thalhamer T, Bohle B, Vogel L, Briza P, Breitineder H, Vieths S, Hartl A, Mari A, Ebner C, Lackner P, Hammerl P, Thalhamer J, Ferreira F (2007) Allergy multivaccines created by DNA shuffling of tree pollen allergens. J Allergy Clin Immunol 120:374–380

    Article  Google Scholar 

  • Wild C, Wallner M, Hufnagl K, Fuchs H, Hoffmann-Sommergruber K, Breiteneder H, Scheiner O, Ferreira F, Wiedermann U (2007) A recombinant allergen chimer as novel mucosal vaccine candidate for prevention of multi-sensitivities. Allergy 62:33–41

    Article  Google Scholar 

Download references

Author information

Affiliations

Authors

Corresponding author

Correspondence to A. P. Valente.

Rights and permissions

Reprints and Permissions

About this article

Cite this article

Moraes, A.H., Ackerbauer, D., Kostadinova, M. et al. 1H, 13C and 15N resonance assignments and second structure information of Gad m 1: a β-parvalbumin allergen from Atlantic cod (Gadus morhua). Biomol NMR Assign 7, 133–136 (2013). https://doi.org/10.1007/s12104-012-9393-y

Download citation

  • Received:

  • Accepted:

  • Published:

  • Issue Date:

  • DOI: https://doi.org/10.1007/s12104-012-9393-y

Keywords

  • Gad m 1
  • β-parvalbumin
  • Allergen
  • NMR assignments
  • Secondary structure