Skip to main content

The Passive Leg Raise Test to Predict Fluid Responsiveness in Children -Preliminary Observations

Abstract

Objective

To assess whether the passive leg raising (PLR) test can predict fluid responsiveness in pediatric patients.

Methods

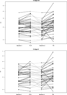
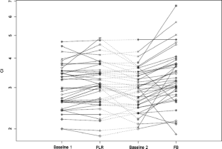
This was a prospective observational study in a tertiary care pediatric center. Hemodynamic parameters including heart rate, stroke volume and cardiac output were assessed at baseline, after passive leg raising (PLR), at second baseline, and after volume loading (10 mL/kg normal saline in 10 min). Cutoff values of 7.5 and 10 % increase in cardiac index (CI) with passive leg raising were explored as predictors of volume loading response.

Results

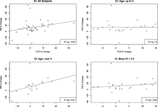
Overall, the changes in CI with passive leg raising varied widely and was a poor predictor of response to volume loading in children under 5 years of age. Of 40 patients, 23 had greater than 10 % increase in CI with PLR which predicted fluid responsiveness with a sensitivity of 94 % (95 % confidence interval 71,100) and specificity of 26 % (95 % confidence interval 10,48). Sensitivity was higher (100 % vs. 91 %) and specificity similar (27 % vs. 25 %) in predicting CI for those over 5 as compared to under 5 y, respectively. In patients over 5 y, simple linear regression revealed a positive correlation (R2 = 21) while R2 values were much lower (0–0.07) for those under 5 y.

Conclusions

Cardiac index changes after PLR varies widely in children and may be a poor predictor to volume loading in children under 5-y-old. However, in those over 5 y, PLR may be helpful in predicting fluid responsiveness in pediatric patients.

This is a preview of subscription content, access via your institution.

Fig. 1
Fig. 2
Fig. 3
Fig. 4

References

  1. Cruz AT, Perry AM, Williams EA, Graf JM, Wuestner ER, Patel B. Implementation of goal-directed therapy for children with suspected sepsis in the emergency department. Pediatrics. 2011;127:e758–66.

    PubMed  Article  Google Scholar 

  2. Préau S, Saulnier F, Dewavrin F, Durocher A, Changnon JL. Passive leg raising is predictive of fluid responsiveness in spontaneously breathing patients with severe sepsis or acute pancreatitis. Crit Care Med. 2010;38:819–25.

    PubMed  Article  Google Scholar 

  3. Monnet X, Rienzo M, Osman D, Anguel N, Richard C, Pinksy MR, et al. Passive leg raising predicts fluid responsiveness in the critically ill. Crit Care Med. 2006;34:1402–7.

    PubMed  Article  Google Scholar 

  4. Monnet X, Teboul JL. Passive leg raising. Intensive Care Med. 2008;34:659–63.

    PubMed  Article  Google Scholar 

  5. Santhanam I, Sangareddi S, Venkataraman S, Kissoon N, Thiruvengadamudayan V, Kasthuri RK. A prospective randomized controlled study of two fluid regimens in the initial management of septic shock in the emergency department. Pediatr Emerg Care. 2008;24:647–55.

    PubMed  Article  Google Scholar 

  6. Kissoon N, Carcillo JA, Espinosa V, Argent A, Devictor D, Madden M, et al; Global Sepsis Initiative Vanguard Center Contributors. World federation of pediatric intensive care and critical care societies: Global sepsis initiative. Pediatr Crit Care Med. 2011;12:494–503.

  7. Maitland K, George EC, Evans JA, Kiguli S, Olupot-Olupot P, Akech SO, et al; FEAST trial group. Exploring mechanisms of excess mortality with early fluid resuscitation: Insights from the FEAST trial. BMC Med. 2013;11:68.

    Google Scholar 

  8. Benomar B, Ouattara A, Estagnasie P, Brusset A, Squara P. Fluid responsiveness predicted by noninvasive bioreactance-based passive leg raise test. Intensive Care Med. 2010;36:1875–81.

    PubMed  Article  Google Scholar 

  9. Khan FZ, Virdee MS, Pugh PJ, Read PA, Fynn SP, Dutka DP. Non-invasive cardiac output measurements based on bioreactance for optimization of atrio- and interventricular delays. Europace. 2009;11:1666–74.

    PubMed  Article  Google Scholar 

  10. Heerdt PM, Wagner CL, DeMais M, Savarese JJ. Noninvasive cardiac output monitoring with bioreactance as an alternative to invasive instrumentation for preclinical drug evaluation in beagles. J Pharmacol Toxicol Methods. 2011;64:111–8.

    CAS  PubMed  Article  Google Scholar 

  11. Raval NY, Squara P, Cleman M, Yalamanchili K, Winklmaier M, Burkhoff D. Multicenter evaluation of noninvasive cardiac output measurement by bioreactance technique. J Clin Monit Comput. 2008;22:113–9.

    PubMed  Article  Google Scholar 

  12. Marik PE. Noninvasive cardiac output monitors: A state-of the-art review. J Cardiothorac Vasc Anesth. 2013;27:121–34.

    PubMed  Article  Google Scholar 

  13. Brewster D. African fluid bolus study: Implications for practice. J Paediatr Child Health. 2012;48:548–50.

    PubMed  Article  Google Scholar 

  14. Black RE, Cousens S, Johnson HL, Lawn JE, Rudan I, Bassani DG, et al; Child Health Epidemiology Reference Group of WHO and UNICEF. Global, regional and national causes of child mortality in 2008: A systematic analysis. Lancet. 2010;375:1969–87.

    PubMed  Article  Google Scholar 

  15. World Health Organization. The Millennium Development Goals Report 2005 (May 1, 2008). Available at www.who.int/mdg/publications/MDG_Report_08_2005.pdf

  16. Maitland K, Kiguli S, Opoka RO, Engoru C, Olupot-Olupot P, Akech SO, et al. FEAST trial group. Mortality after fluid bolus in African children with severe infection. N Engl J Med. 2011;364:2483–95.

    CAS  PubMed  Article  Google Scholar 

  17. Cavallaro F, Sandroni C, Antonelli M. Functional hemodynamic monitoring and dynamic indices of fluid responsiveness. Minerva Anestesiol. 2008;74:123–35.

    CAS  PubMed  Google Scholar 

  18. Durairaj L, Schmidt GA. Fluid therapy in resuscitated sepsis: Less is more. Chest. 2008;133:252–63.

    PubMed  Article  Google Scholar 

  19. Marik PE, Levitov A, Young A, Andrews L. The use of bioreactance and carotid Doppler to determine volume responsiveness and blood flow redistribution following passive leg raising in hemodynamically unstable patients. Chest. 2013;143:364–70.

    PubMed  Article  Google Scholar 

  20. Keller G, Desebbe O, Benard M, Bouchet JB, Zehot JJ. Bedside assessment of passive leg raising effects on venous return. J Clin Monit Comput. 2011;25:257–63.

    PubMed  Article  Google Scholar 

  21. Guinot PG, Zogheib E, Detave M, Moubaruk M, Hubert V, Badoux L, et al. Passive leg raising can predict fluid responsiveness in patients placed on venovenous extracorporeal membrane oxygenation. Crit Care Med. 2011;15:R216.

    Article  Google Scholar 

  22. Keren H, Burkhoff D, Squara P. Evaluation of a noninvasive continuous cardiac output monitoring system based on thoracic bioreactance. Am J Physiol Heart Circ Physiol. 2007;293:H583–9.

    CAS  PubMed  Article  Google Scholar 

  23. Squara P, Cecconi M, Rhodes A, Singer M, Chiche JD. Tracking changes in cardiac output: Methodological considerations for the validation of monitoring devices. Intensive Care Med. 2009;35:1801–8.

    PubMed  Article  Google Scholar 

  24. Kupersztych-Hagege E, Teboul JL, Artigas A, Talbot A, Sabatier C, Richard C, et al. Bioreactance is not reliable for estimating cardiac output and the effects of passive leg raising in critically ill patients. Br J Anaesth. 2013. [Epub ahead of print]

  25. Boulian T, Achard JM, Teboul JL, Richard C, Perrotin D, Ginies G. Changes in BP induced by passive lege raising predict response to fluid loading in critically ill patients. Chest. 2002;121:1245–52.

    Article  Google Scholar 

  26. Vincent JL, Weil MH. Fluid challenge revisited. Crit Care Med. 2006;34:1333–7.

    PubMed  Article  Google Scholar 

  27. Lukito V, Djer MM, Pudjiadi AH, Munasir Z. The role of passive leg raising to predict fluid responsiveness in pediatric intensive care unit patients. Pediatr Crit Care Med. 2012;13:e155–60.

    PubMed  Article  Google Scholar 

  28. Kissoon N, Carcillo JA; Global sepsis initiative of the world federation of pediatric intensive and critical care societies. Mortality after fluid bolus in African children with sepsis. N Engl J Med. 2011;365:1350.

    CAS  PubMed  Google Scholar 

  29. Aneja R, Carcillo J. Differences between adult and pediatric septic shock. Minerva Anestesiol. 2011;77:986–92.

    CAS  PubMed  Google Scholar 

  30. Thiel SW, Kollef MH, Isakow W. Non-invasive stroke volume measurement and passive leg raising predict volume responsiveness in medical ICU patients: An observational cohort study. Crit Care Med. 2009;13:R111.

    Article  Google Scholar 

Download references

Contributions

Dr. Guo-ping Lu, Dr. Gangfeng Yan and Dr. Yang Chen are the joint first authors. They collaborated and contributed equally to the study and this paper. Dr. Chen, Dr. Lu and Dr. Zhang particpated in the experiments. Dr. Kissoon assisted in the statistical evaluation of the study and writing of the manuscript. He will act as guarantor for this paper.

Conflict of Interest

None.

Role of Funding Source

None.

Author information

Affiliations

Authors

Corresponding author

Correspondence to Niranjan Kissoon.

Rights and permissions

Reprints and Permissions

About this article

Cite this article

Lu, Gp., Yan, G., Chen, Y. et al. The Passive Leg Raise Test to Predict Fluid Responsiveness in Children -Preliminary Observations. Indian J Pediatr 82, 5–12 (2015). https://doi.org/10.1007/s12098-013-1303-5

Download citation

  • Received:

  • Accepted:

  • Published:

  • Issue Date:

  • DOI: https://doi.org/10.1007/s12098-013-1303-5

Keywords

  • Passive leg raising
  • Fluid responsiveness
  • Hemodynamic monitoring
  • Children
  • Shock
  • Resuscitation