Skip to main content

Revisiting Dukes’ paradigm; some node positive colon cancer patients have better prognosis than some node negative patients

Abstract

Background

The current study tried to evaluate the prognostic value of a modified staging system compared to the American Joint Committee on Cancer (AJCC) staging system for patients with colon cancer.

Patients and methods

Surveillance, epidemiology and end results (SEER) database (2004–2014) was queried through SEER*Stat program and AJCC 7th stages were constructed. Through recursive partitioning analysis and subsequent decision tree formation, suggested new stages were formulated based on T and N descriptors. Overall survival analyses were performed through Kaplan–Meier analysis. The cancer-specific Cox regression hazard (adjusted for age, gender, sub-site, grade, race and surgery) was calculated and pair wise comparisons of hazard ratios were conducted.

Results

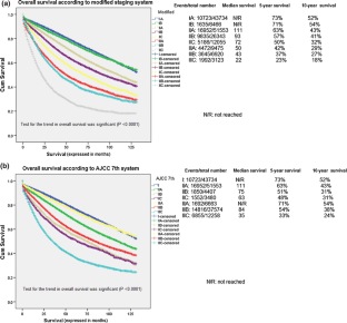
A total of 159,683 non-metastatic patients with colon cancer were recruited in the analysis. Pair wise hazard ratio comparisons among different AJCC 7th stages were conducted and all comparisons were significant (P < 0.0001). However, it should be noted that the adjusted risk of death among stage IIC patients was higher than stage IIIA and IIIB. Pair wise hazard ratio comparisons among different modified system stages were also conducted and all comparisons were significant (P < 0.0001). The outcomes of survival analysis were the same regardless of the number of examined lymph nodes (< 12 vs. ≥ 12). Concordance index (using death from colon cancer as the dependent variable) for AJCC 6th staging system was 0.704 (SE 0.002; 95% CI 0.701–0.708); for AJCC 7th staging system was 0.708 (SE 0.002; 95% CI 0.704–0.711); for Dukes staging system was 0.670 (SE 0.002; 95% CI 0.666–0.674); and for modified staging system was 0.712 (SE 0.002; 95% CI 0.709–0.716).

Conclusion

The proposed modified staging system provided an improved prognostication for colon cancer patients (particularly for stage II/III disease) compared to AJCC staging system. Further external validation of the proposed staging system is needed before adoption into routine practice.

This is a preview of subscription content, access via your institution.

Fig. 1
Fig. 2
Fig. 3

References

  1. Brenner H, Stock C, Hoffmeister M. Effect of screening sigmoidoscopy and screening colonoscopy on colorectal cancer incidence and mortality: systematic review and meta-analysis of randomised controlled trials and observational studies. BMJ. 2014;348:g2467.

    Article  PubMed  PubMed Central  Google Scholar 

  2. Hewitson P, Glasziou P, Irwig L, Towler B, Watson E. Screening for colorectal cancer using the faecal occult blood test, Hemoccult. Cochrane Database Syst Rev. 2007;1:Cd001216.

    Google Scholar 

  3. van de Velde CJ, Boelens PG, Borras JM, Coebergh JW, Cervantes A, Blomqvist L, et al. EURECCA colorectal: multidisciplinary management: European consensus conference colon and rectum. Eur J Cancer. 2014;50(1):1e–e34.

    Google Scholar 

  4. Astler VB, Coller FA. The prognostic significance of direct extension of carcinoma of the colon and rectum. Ann Surg. 1954;139(6):846–52.

    CAS  Article  PubMed  PubMed Central  Google Scholar 

  5. Thirunavukarasu P, Talati C, Munjal S, Attwood K, Edge SB, Francescutti V. Effect of incorporation of pretreatment serum carcinoembryonic antigen levels into AJCC staging for colon cancer on 5-year survival. JAMA Surg. 2015;150(8):747–55.

    Article  PubMed  Google Scholar 

  6. Chen VW, Hsieh MC, Charlton ME, Ruiz BA, Karlitz J, Altekruse SF, et al. Analysis of stage and clinical/prognostic factors for colon and rectal cancer from SEER registries: AJCC and collaborative stage data collection system. Cancer. 2014;120(Suppl 23):3793–806.

    Article  PubMed  PubMed Central  Google Scholar 

  7. Amin MB, Greene FL, Edge SB, Compton CC, Gershenwald JE, Brookland RK, et al. The Eighth edition AJCC cancer staging manual: continuing to build a bridge from a population-based to a more “personalized” approach to cancer staging. CA Cancer J Clin. 2017;67(2):93–9.

    Article  PubMed  Google Scholar 

  8. Surveillance, Epidemiology, and End Results (SEER) Program (www.seer.cancer.gov) SEER*Stat Database: Incidence—SEER 18 Regs Custom Data (with additional treatment fields), Nov 2016 Sub (1973-2014 varying)—Linked To County Attributes—Total US, 1969–2015 Counties, National Cancer Institute, DCCPS, Surveillance Research Program, Surveillance Systems Branch, released April 2017, based on the November 2016 submission.

  9. Ranstam J. Multiple P-values and Bonferroni correction. Osteoarthr Cartil. 2016;24(5):763–4.

    CAS  Article  PubMed  Google Scholar 

  10. Labianca R, Nordlinger B, Beretta GD, Mosconi S, Mandala M, Cervantes A, et al. Early colon cancer: ESMO clinical practice guidelines for diagnosis, treatment and follow-up. Ann Oncol. 2013;24(Suppl 6):vi64–72.

    Article  PubMed  Google Scholar 

  11. Schmoll HJ, Van Cutsem E, Stein A, Valentini V, Glimelius B, Haustermans K, et al. ESMO consensus guidelines for management of patients with colon and rectal cancer. A personalized approach to clinical decision making. Ann Oncol. 2012;23(10):2479–516.

    CAS  Article  PubMed  Google Scholar 

  12. Labianca R, Nordlinger B, Beretta GD, Brouquet A, Cervantes A. Primary colon cancer: ESMO clinical practice guidelines for diagnosis, adjuvant treatment and follow-up. Ann Oncol. 2010;21(Suppl 5):v70–7.

    Article  PubMed  Google Scholar 

  13. Shi Q, Sobrero AF, Shields AF, Yoshino T, Paul J, Taieb J, et al. Prospective pooled analysis of six phase III trials investigating duration of adjuvant (adjuv) oxaliplatin-based therapy (3 vs 6 months) for patients (pts) with stage III colon cancer (CC): the IDEA (International Duration Evaluation of Adjuvant chemotherapy) collaboration. J Clin Oncol. 2017;35(18_suppl):LBA–1.

    Article  Google Scholar 

  14. Hari DM, Leung AM, Lee JH, Sim MS, Vuong B, Chiu CG, et al. AJCC Cancer Staging Manual 7th edition criteria for colon cancer: do the complex modifications improve prognostic assessment? J Am Coll Surg. 2013;217(2):181–90.

    Article  PubMed  PubMed Central  Google Scholar 

  15. Trifiletti DM, Sturz VN, Showalter TN, Lobo JM. Towards decision-making using individualized risk estimates for personalized medicine: a systematic review of genomic classifiers of solid tumors. PLoS ONE. 2017;12(5):e0176388.

    Article  PubMed  PubMed Central  Google Scholar 

Download references

Author information

Affiliations

Authors

Corresponding author

Correspondence to O. Abdel-Rahman.

Ethics declarations

Funding

This study was not funded.

Conflict of interest

The author(s) declare that they have no conflict of interest.

Ethical approval

This article does not contain any studies with human participants or animals performed by the author.

Informed consent

As this study is based on a publicly available database without identifying patient information, informed consent was not needed.

Rights and permissions

Reprints and Permissions

About this article

Verify currency and authenticity via CrossMark

Cite this article

Abdel-Rahman, O. Revisiting Dukes’ paradigm; some node positive colon cancer patients have better prognosis than some node negative patients. Clin Transl Oncol 20, 794–800 (2018). https://doi.org/10.1007/s12094-017-1781-4

Download citation

  • Received:

  • Accepted:

  • Published:

  • Issue Date:

  • DOI: https://doi.org/10.1007/s12094-017-1781-4

Keywords

  • Colon cancer
  • TNM
  • Staging
  • SEER