Abstract
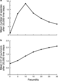
We hypothesize that the continuum between generalist and specialist adaptations is an important general trade-off axis in the maintenance of local diversity, and we explore this idea with a simple model in which there are patch types to which species arrive as propagules and compete. Each patch type is defined by a competitive ranking of all species. A highly specialist species is the top competitor in one patch type but has a relatively low average ranking across different patch types, while a generalist species has a high average rank across patch types but is not the top competitor in any patch type. We use random dispersal and vary the fecundity of all species together to vary total propagule density and therefore recruitment limitation and density-dependent mortality. When fecundity is very high, each patch becomes occupied by its specialist species and generalists go extinct, so the number of species at equilibrium is equal to the number of patch types. If fecundity is very low, generalists dominate and specialists go extinct. There is a range of fecundity levels in which specialists, generalists, and intermediates coexist, and the number of species is substantially greater than the number of patch types. While coexistence of specialists and generalists has been considered a problem in evolutionary ecology, our results suggest to the contrary that this trade-off contributes to the maintenance of local diversity.




Explore related subjects
Discover the latest articles and news from researchers in related subjects, suggested using machine learning.References
Abrams PA (2006) The prerequisites for and likelihood of generalist-specialist coexistence. Am Nat 167:329–342
Baas-Becking LGM (1934) Geobiologie of Inleiding Tot de Milieukunde. W.P. Van Stockum & Zoon, the Hague.
Chesson P (2000) Mechanisms of maintenance of species diversity. Ann Rev Ecol Syst 31:343–366
Chevin L-M, Lande R, Mace GM (2010) Adaptation, plasticity, and extinction in a changing environment: towards a predictive theory. PLoS Biol 8:e1000357
Clark JS, Dietze M, Chakraborty S, Agarwal PK, Ibanez I, LaDeau S, Wolosin M (2007) Resolving the biodiversity paradox. Ecol Lett 10:647–659
Ehrlén J, Eriksson O (2000) Dispersal limitation and patch occupancy in forest herbs. Ecology 81:1667–1674
Futuyma DJ, Moreno G (1988) The evolution of ecological specialization. Ann Rev Ecolog Syst 19:207–233
Hurtt G, Pacala SW (1995) The consequences of recruitment limitation: reconciling chance, history and competitive differences between plants. J Theor Biol 176:1–12
Hutchinson GE (1957) Concluding remarks. Cold Spring Harbor Symp Quant Biol 22:415–427
Kneitel JM, Chase JM (2004) Trade-offs in community ecology: linking spatial scales and species coexistence. Ecol Lett 7:69–80
Levins R (1962) Theory of fitness in a heterogeneous environment. I. The fitness set and adaptive function. Am Nat 96:361–373
Levins R (1979) Coexistence in a variable environment. Am Nat 114:765–783
MacArthur RH, Wilson EO (1967) The theory of island biogeography. Princeton University Press
MacArthur RM (1957) On the relative abundance of bird species. Proc Natl Acad Sci 43:293–295
Marvier M, Kareiva P, Neubert MG (2004) Habitat destruction, fragmentation, and disturbance promote invasion by habitat generalists in a multispecies metapopulation. Risk Anal 24:869–878
Muller-Landau HC (2010) The tolerance-fecundity trade-off and the maintenance of diversity in seed size. Proc Natl Acad Sci 107:4242–4247
Primack RB, Miao SL (1992) Dispersal can limit local plant distribution. Conserv Biol 6:513–519
Ravigné V, Dieckmann U, Olivieri I (2009) Live where you thrive: joint evolution of habitat choice and local adaptation facilitates specialization and promotes diversity. Am Nat 174:E141–E169
Rees M (1993) Plant diversity. Do trade-offs hold the key? Curr Biol 3:600–602
Ricklefs RE (2004) A comprehensive framework for global patterns in biodiversity. Ecol Lett 7:1–15
Tilman DG (1982) Resource competition and community structure. Princeton University Press
Tilman DG (1994) Competition and biodiversity in spatially structured habitats. Ecology 75:2–16
Tokeshi M (1990) Niche apportionment or random assortment: species abundance patterns revisited. J Anim Ecol 59:1129–1146
Wilensky U (1999) NetLogo. Northwestern University. http://ccl.northwestern.edu/netlogo/
Wilson DS, Yoshimura J (1994) On the coexistence of specialists and generalists. Am Nat 144:692
Yu DW, Wilson HB (2001) The competition-colonization trade-off is dead; long live the competition-colonization trade-off. Am Nat 158:49–63
Acknowledgments
We thank Jeremy Lichstein, Xin Jia, Volker Grimm, Karin Johst, and three anonymous reviewers for the helpful comments on the manuscript. This research was supported, in part, by grants from the National Natural Science Foundation of China (40901019, 31000203, and 31000178) and the Central University Special Fund for Basic Research, China (lzujbky-2009–42, lzujbky-2009–39).
Author information
Authors and Affiliations
Corresponding author
Rights and permissions
About this article
Cite this article
Weiner, J., Xiao, S. Variation in the degree of specialization can maintain local diversity in model communities. Theor Ecol 5, 161–166 (2012). https://doi.org/10.1007/s12080-011-0153-x
Received:
Accepted:
Published:
Issue Date:
DOI: https://doi.org/10.1007/s12080-011-0153-x