Skip to main content

The Fatty Liver Index has limited utility for the detection and quantification of hepatic steatosis in obese patients

Abstract

Purpose

Noninvasive tools for the detection of hepatic steatosis are needed. The Fatty Liver Index (FLI), which includes body mass index (BMI), waist circumference, triglycerides, and γ-glutamyl-transferase, has been proposed as a screening tool for fatty liver. Our objective was to validate the FLI for the detection and quantification of hepatic steatosis in an obese population.

Methods

Patients with chronic liver disease and BMI ≥ 28 kg/m2 underwent liver biopsy and FLI determination. FLI performance for diagnosing steatosis compared with biopsy was assessed using areas under receiver operating characteristic curves (AUROCs), and a novel model for the prediction of significant steatosis (≥5 %) was derived.

Results

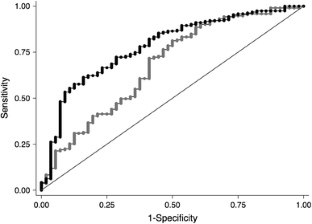
Among 250 included patients, 65 % were male, and the median BMI was 33 kg/m2; 48 % had nonalcoholic fatty liver disease, and 77 % had significant (≥5 %) steatosis. The FLI was weakly correlated with the percentage (ρ = 0.25, p = 0.0001) and grade of steatosis (ρ = 0.28, p < 0.00005). The median FLI was higher among patients with significant steatosis (91 vs. 80 with <5 % steatosis; p = 0.0001) and the AUROC for this outcome was 0.67 (95 % CI 0.59–0.76). At an optimal FLI cut-off of 79, the FLI was 81 % sensitive and 49 % specific, and had positive and negative predictive values of 84 and 43 %, respectively. A novel index including triglycerides, glucose, alkaline phosphatase, and BMI outperformed the FLI for predicting significant steatosis [AUROCs 0.78 vs. 0.68; p = 0.009 (n = 247)].

Conclusions

In obese patients, the FLI is a poor predictor of significant steatosis and has limited utility for steatosis quantification compared with liver histology. A novel index including triglycerides, glucose, alkaline phosphatase, and BMI may be useful, but requires validation.

This is a preview of subscription content, access via your institution.

Fig. 1
Fig. 2
Fig. 3
Fig. 4

References

  1. Day CP. Non-alcoholic fatty liver disease: a massive problem. Clin Med 2011;11(2):176–178

    Article  Google Scholar 

  2. Lazo M, Clark JM. The epidemiology of nonalcoholic fatty liver disease: a global perspective. Semin Liver Dis 2008;28(4):339–350

    Article  Google Scholar 

  3. Angulo P. Nonalcoholic fatty liver disease. New Engl J Med 2002;346(16):1221–1231

    CAS  Article  Google Scholar 

  4. Myers RP. Noninvasive diagnosis of nonalcoholic fatty liver disease. Ann Hepatol 2009;8(Suppl 1):S25–S33

    CAS  PubMed  Google Scholar 

  5. Afdhal NH, Nunes D. Evaluation of liver fibrosis: a concise review. Am J Gastroenterol 2004;99(6):1160–1174

    Article  Google Scholar 

  6. Rockey DC, Caldwell SH, Goodman ZD, Nelson RC, Smith AD. Liver biopsy. Hepatology 2009;49(3):1017–1044

    Article  Google Scholar 

  7. Bravo AA, Sheth SG, Chopra S. Liver biopsy. New Engl J Med 2001;344(7):495–500

    CAS  Article  Google Scholar 

  8. Myers RP, Fong A, Shaheen AA. Utilization rates, complications and costs of percutaneous liver biopsy: A population-based study including 4275 biopsies. Liver Int 2008;28(5):705–712

    Article  Google Scholar 

  9. Ratziu V, Charlotte F, Heurtier A, et al. Sampling variability of liver biopsy in nonalcoholic fatty liver disease. Gastroenterology 2005;128(7):1898–1906

    Article  Google Scholar 

  10. Bedogni G, Bellentani S, Miglioli L, et al. The Fatty Liver Index: a simple and accurate predictor of hepatic steatosis in the general population. BMC Gastroenterol 2006;6:33

    Article  Google Scholar 

  11. Balkau B, Lange C, Vol S, Fumeron F, Bonnet F. Nine-year incident diabetes is predicted by fatty liver indices: the French D.E.S.I.R. study. BMC Gastroenterol 2010;10:56

    Article  Google Scholar 

  12. Gastaldelli A, Kozakova M, Hojlund K, et al. Fatty liver is associated with insulin resistance, risk of coronary heart disease, and early atherosclerosis in a large European population. Hepatology 2009;49(5):1537–1544

    CAS  Article  Google Scholar 

  13. Calori G, Lattuada G, Ragogna F, et al. Fatty liver index and mortality: the Cremona study in the 15th year of follow-up. Hepatology 2011;54(1):145–152

    CAS  Article  Google Scholar 

  14. Myers RP, Pomier-Layrargues G, Kirsch R, et al. Feasibility and diagnostic performance of the FibroScan XL probe for liver stiffness measurement in overweight and obese patients. Hepatology 2012;55(1):199–208

    Article  Google Scholar 

  15. Kleiner DE, Brunt EM, Van Natta M, et al. Design and validation of a histological scoring system for nonalcoholic fatty liver disease. Hepatology 2005;41(6):1313–1321

    Article  Google Scholar 

  16. The French METAVIR Cooperative Study Group. Intraobserver and interobserver variations in liver biopsy interpretation in patients with chronic hepatitis C. Hepatology 1994;20(1 Pt. 1):15–20

    Article  Google Scholar 

  17. Hanley JA, McNeil BJ. The meaning and use of the area under a receiver operating characteristic (ROC) curve. Radiology 1982;143(1):29–36

    CAS  Article  Google Scholar 

  18. Obuchowski NA, Goske MJ, Applegate KE. Assessing physicians’ accuracy in diagnosing paediatric patients with acute abdominal pain: measuring accuracy for multiple diseases. Stat Med 2001;20(21):3261–3278

    CAS  Article  Google Scholar 

  19. Guha IN, Myers RP, Patel K, Talwalkar JA. Biomarkers of liver fibrosis: What lies beneath the receiver operating characteristic curve? Hepatology 2011;54(4):1454–1462

    CAS  Article  Google Scholar 

  20. Lambert J, Halfon P, Penaranda G, et al. How to measure the diagnostic accuracy of noninvasive liver fibrosis indices: the area under the ROC curve revisited. Clin Chem 2008;54(8):1372–1378

    CAS  Article  Google Scholar 

  21. Kim JH, Kwon SY, Lee SW, Lee CH. Validation of fatty liver index and lipid accumulation product for predicting fatty liver in Korean population. Liver Int 2011;31(10):1600–1601

    CAS  Article  Google Scholar 

  22. Saadeh S, Younossi ZM, Remer EM, et al. The utility of radiological imaging in nonalcoholic fatty liver disease. Gastroenterology 2002;123(3):745–750

    Article  Google Scholar 

  23. Karcaaltincaba M, Akhan O. Imaging of hepatic steatosis and fatty sparing. Eur J Radiol 2007;61(1):33–43

    Article  Google Scholar 

  24. Palmentieri B, de Sio I, La Mura V, et al. The role of bright liver echo pattern on ultrasound B-mode examination in the diagnosis of liver steatosis. Dig Liver Dis 2006;38(7):485–489

    CAS  Article  Google Scholar 

  25. Poynard T, Ratziu V, Naveau S, et al. The diagnostic value of biomarkers (SteatoTest) for the prediction of liver steatosis. Comp Hepatol 2005;4:10

    Article  Google Scholar 

  26. Myers RP, Pollett A, Kirsch R, et al. Controlled attenuation parameter (CAP): a noninvasive method for the detection of hepatic steatosis based on transient elastography. Liver Int 2012;32(6):902–910

    Article  Google Scholar 

  27. Ratziu V, Martin L, Fedchuk L, Poynard T. Can nonalcoholic steatohepatitis be diagnosed without liver biopsy? Biomarkers Med 2009;3(4):353–361

    Article  Google Scholar 

  28. Marcellin P, Ziol M, Bedossa P, et al. Non-invasive assessment of liver fibrosis by stiffness measurement in patients with chronic hepatitis B. Liver Int 2009;29(2):242–247

    Article  Google Scholar 

  29. El-Badry AM, Breitenstein S, Jochum W, et al. Assessment of hepatic steatosis by expert pathologists: the end of a gold standard. Ann Surg 2009;250(5):691–697

    Article  Google Scholar 

  30. Powell EE, Jonsson JR, Clouston AD. Steatosis: co-factor in other liver diseases. Hepatology 2005;42(1):5–13

    CAS  Article  Google Scholar 

Download references

Acknowledgements

The authors thank Divine Tanyingoh for statistical assistance. This study was supported by Echosens (Paris, France). Dr. Myers is supported by grants from the Canadian Institutes of Health Research and Alberta Heritage Foundation for Medical Research (now Alberta Innovates, Health Solutions).

Author information

Affiliations

Authors

Corresponding author

Correspondence to Robert P. Myers.

Rights and permissions

Reprints and Permissions

About this article

Cite this article

Borman, M.A., Ladak, F., Crotty, P. et al. The Fatty Liver Index has limited utility for the detection and quantification of hepatic steatosis in obese patients. Hepatol Int 7, 592–599 (2013). https://doi.org/10.1007/s12072-012-9401-4

Download citation

  • Received:

  • Accepted:

  • Published:

  • Issue Date:

  • DOI: https://doi.org/10.1007/s12072-012-9401-4

Keywords

  • Biopsy
  • Fatty liver
  • Fibrosis
  • Noninvasive
  • Steatosis