Skip to main content

Withanone, an Active Constituent from Withania somnifera, Affords Protection Against NMDA-Induced Excitotoxicity in Neuron-Like Cells

Abstract

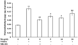
Withania somnifera has immense pharmacologic and clinical uses. Owing to its similar pharmacologic activity as that of Korean Ginseng tea, it is popularly called as Indian ginseng. In most cases, extracts of this plant have been evaluated against various diseases or models of disease. However, little efforts have been made to evaluate individual constituents of this plant for neurodegenerative disorders. Present study was carried out to evaluate Withanone, one of the active constituents of Withania somnifera against NMDA-induced excitotoxicity in retinoic acid, differentiated Neuro2a cells. Cells were pre-treated with 5, 10 and 20 μM doses of Withanone and then exposed to 3-mM NMDA for 1 h. MK801, a specific NMDA receptor antagonist, was used as positive control. The results indicated that NMDA induces significant death of cells by accumulation of intracellular Ca2+, generation of reactive oxygen species (ROS), loss of mitochondrial membrane potential, crashing of Bax/Bcl-2 ratio, release of cytochrome c, increased caspase expression, induction of lipid peroxidation as measured by malondialdehyde levels and cleavage of poly(ADP-ribose) polymerase-1 (Parp-1), which is indicative of DNA damage. All these parameters were attenuated with various doses of Withanone pre-treatment. These results suggest that Withanone may serve as potential neuroprotective agent.

This is a preview of subscription content, access via your institution.

Fig. 1
Fig. 2
Fig. 3
Fig. 4
Fig. 5
Fig. 6
Fig. 7
Fig. 8
Fig. 9
Fig. 10

Abbreviations

NMDA:

N-methyl-D-aspartate

RA:

Retinoic acid

ROS:

Reactive oxygen species

DMSO:

Dimethyl sulfoxide

HRP:

Horse reddish peroxidase

ΔΨm:

Mitochondrial membrane potential

H2DCFDA:

2′,7′-Dichlorodihydrofluorescein diacetate

NMDARs:

N-methyl-D-aspartate receptor

DMEM:

Dulbecco’s Modified Eagle Medium

References

  1. Greengard P (2001) The neurobiology of slow synaptic transmission. Science 294(5544):1024–1030

    CAS  Article  PubMed  Google Scholar 

  2. Gonda X (2012) Basic pharmacology of NMDA receptors. Curr Pharm Des 18(12):1558–1567

    CAS  Article  PubMed  Google Scholar 

  3. Pitt D, Werner P, Raine CS (2000) Glutamate excitotoxicity in a model of multiple sclerosis. Nat Med 6(1):67–70

    CAS  Article  PubMed  Google Scholar 

  4. Lai TW, Zhang S, Wang YT (2014) Excitotoxicity and stroke: identifying novel targets for neuroprotection. Prog Neurobiol 115:157–188

    CAS  Article  PubMed  Google Scholar 

  5. Mattson MP (2003) Excitotoxic and excitoprotective mechanisms. Neruomol Med 3(2):65–94

    CAS  Article  Google Scholar 

  6. Newcomer JW, Krystal JH (2001) NMDA receptor regulation of memory and behavior in humans. Hippocampus 11(5):529–542

    CAS  Article  PubMed  Google Scholar 

  7. Paoletti P (2011) Molecular basis of NMDA receptor functional diversity. Eur J Neurosci 33(8):1351–1365

    Article  PubMed  Google Scholar 

  8. Mehta A, Prabhakar M, Kumar P, Deshmukh R, Sharma P (2013) Excitotoxicity: bridge to various triggers in neurodegenerative disorders. Eur J Pharmacol 698(1):6–18

    CAS  Article  PubMed  Google Scholar 

  9. Hu N-W, Ondrejcak T, Rowan MJ (2012) Glutamate receptors in preclinical research on Alzheimer’s disease: update on recent advances. Pharmacol Biochem Behav 100(4):855–862

    CAS  Article  PubMed  Google Scholar 

  10. Choi DW (1992) Excitotoxic cell death. J Neurobiol 23(9):1261–1276

    CAS  Article  PubMed  Google Scholar 

  11. Rami A, Ferger D, Krieglstein J (1997) Blockade of calpain proteolytic activity rescues neurons from glutamate excitotoxicity. Neurosci Res 27(1):93–97

    CAS  Article  PubMed  Google Scholar 

  12. Ndountse LT, Chan HM (2009) Role of N-methyl-D-aspartate receptors in polychlorinated biphenyl mediated neurotoxicity. Toxicol Lett 184(1):50–55

    CAS  Article  PubMed  Google Scholar 

  13. Fan MM, Raymond LA (2007) N-methyl-D-aspartate (NMDA) receptor function and excitotoxicity in Huntington’s disease. Prog Neurobiol 81(5):272–293

    CAS  Article  PubMed  Google Scholar 

  14. Ikonomidou C, Bosch F, Miksa M, Bittigau P, Vöckler J, Dikranian K, Tenkova TI, Stefovska V, Turski L, Olney JW (1999) Blockade of NMDA receptors and apoptotic neurodegeneration in the developing brain. Science 283(5398):70–74

    CAS  Article  PubMed  Google Scholar 

  15. Nicotera P (2003) Molecular switches deciding the death of injured neurons. Toxicol Sci 74(1):4–9

    CAS  Article  PubMed  Google Scholar 

  16. Balázs R, Hack N, Steen O (1988) Stimulation of the N-methyl-D-aspartate receptor has a trophic effect on differentiating cerebellar granule cells. Neurosci Lett 87(1):80–86

    Article  PubMed  Google Scholar 

  17. Yan G-M, Ni B, Weller M, Wood KA, Paul SM (1994) Depolarization or glutamate receptor activation blocks apoptotic cell death of cultured cerebellar granule neurons. Brain Res 656(1):43–51

    CAS  Article  PubMed  Google Scholar 

  18. Ahmad M, Ahmad AS, Zhuang H, Maruyama T, Narumiya S, Doré S (2007) Stimulation of prostaglandin E 2-EP3 receptors exacerbates stroke and excitotoxic injury. J Neuroimmunol 184(1):172–179

    CAS  Article  PubMed  PubMed Central  Google Scholar 

  19. Dar NJ, Hamid A, Ahmad M (2015) Pharmacologic overview of Withania somnifera, the Indian ginseng. Cell Mol Life Sci 72(23):4445–4460

    CAS  Article  PubMed  Google Scholar 

  20. Kumar P, Singh R, Nazmi A, Lakhanpal D, Kataria H, Kaur G (2014) Glioprotective effects of Ashwagandha leaf extract against lead induced toxicity. BioMed Res Int 2014

  21. Parihar MS, Hemnani T (2003) Phenolic antioxidants attenuate hippocampal neuronal cell damage against kainic acid induced excitotoxicity. J Biosci 28(1):121–128

    CAS  Article  PubMed  Google Scholar 

  22. Kataria H, Wadhwa R, Kaul SC, Kaur G (2012) Water extract from the leaves of Withania somnifera protect RA differentiated C6 and IMR-32 cells against glutamate-induced excitotoxicity. PLoS One 7(5):e37080. doi:10.1371/journal.pone.0037080

    CAS  Article  PubMed  PubMed Central  Google Scholar 

  23. van der Valk J, Vijverberg H (1991) Neuroblastoma cells as possible model in the study of glutamate receptors. Amino Acids 1(1):91–95

    Article  PubMed  Google Scholar 

  24. Baba SA, Malik AH, Wani ZA, Mohiuddin T, Shah Z, Abbas N, Ashraf N (2015) Phytochemical analysis and antioxidant activity of different tissue types of Crocus sativus and oxidative stress alleviating potential of saffron extract in plants, bacteria, and yeast. S Afr J Bot 99:80–87

    CAS  Article  Google Scholar 

  25. Satish L, Blair HC, Glading A, Wells A (2005) Interferon-inducible protein 9 (CXCL11)-induced cell motility in keratinocytes requires calcium flux-dependent activation of μ-calpain. Mol Cell Biol 25(5):1922–1941

    CAS  Article  PubMed  PubMed Central  Google Scholar 

  26. Salido M, Gonzalez JL, Vilches J (2007) Loss of mitochondrial membrane potential is inhibited by bombesin in etoposide-induced apoptosis in PC-3 prostate carcinoma cells. Mol Cancer Ther 6(4):1292–1299

    CAS  Article  PubMed  Google Scholar 

  27. Rafiq RA, Quadri A, Nazir LA, Peerzada K, Ganai BA, Tasduq SA (2015) A potent inhibitor of phosphoinositide 3-kinase (PI3K) and mitogen activated protein (MAP) kinase signalling, quercetin (3, 3′, 4′, 5, 7-pentahydroxyflavone) promotes cell death in ultraviolet (UV)-B-irradiated B16F10 melanoma cells. PLoS One 10(7):e0131253

    Article  PubMed  PubMed Central  Google Scholar 

  28. Lone AM, Dar NJ, Hamid A, Shah WA, Ahmad M, Bhat BA (2016) Promise of retinoic acid-triazolyl derivatives in promoting differentiation of neuroblastoma cells. ACS Chem Neurosci 7(1):82–89

  29. Wang X, Dykens JA, Perez E, Liu R, Yang S, Covey DF, Simpkins JW (2006) Neuroprotective effects of 17β-estradiol and nonfeminizing estrogens against H2O2 toxicity in human neuroblastoma SK-N-SH cells. Mol Pharmacol 70(1):395–404

    CAS  PubMed  Google Scholar 

  30. Singh B, Saxena AK, Chandan BK, Gupta DK, Bhutani KK, Anand KK (2001) Adaptogenic activity of a novel, withanolide-free aqueous fraction from the roots of Withania somnifera dun. Phytother Res 15(4):311–318. doi:10.1002/ptr.858

    CAS  Article  PubMed  Google Scholar 

  31. RajaSankar S, Manivasagam T, Sankar V, Prakash S, Muthusamy R, Krishnamurti A, Surendran S (2009) Withania somnifera root extract improves catecholamines and physiological abnormalities seen in a Parkinson’s disease model mouse. J Ethnopharmacol 125(3):369–373. doi:10.1016/j.jep.2009.08.003S0378-8741(09)00484-X

    CAS  Article  PubMed  Google Scholar 

  32. Bhattacharya SK, Bhattacharya A, Sairam K, Ghosal S (2000) Anxiolytic-antidepressant activity of Withania somnifera glycowithanolides: an experimental study. Phytomedicine 7(6):463–469. doi:10.1016/S0944-7113(00)80030-6

    CAS  Article  PubMed  Google Scholar 

  33. Kulkarni S, Dhir A (2008) Withania somnifera: an Indian ginseng. Prog Neuro-Psychopharmacol Biol Psychiatry 32(5):1093–1105

    CAS  Article  Google Scholar 

  34. Konar A, Shah N, Singh R, Saxena N, Kaul SC, Wadhwa R, Thakur MK (2011) Protective role of Ashwagandha leaf extract and its component withanone on scopolamine-induced changes in the brain and brain-derived cells. PLoS One 6(11):e27265. doi:10.1371/journal.pone.0027265

    CAS  Article  PubMed  PubMed Central  Google Scholar 

  35. Priyandoko D, Ishii T, Kaul SC, Wadhwa R (2011) Ashwagandha leaf derived withanone protects normal human cells against the toxicity of methoxyacetic acid, a major industrial metabolite. PLoS One 6(5):e19552

    CAS  Article  PubMed  PubMed Central  Google Scholar 

  36. Raghavan A (2014) Neuroprotective Potential of Withania somnifera in cerebral ischemia. The University of Toledo

  37. Kumar S, Seal CJ, Howes MJ, Kite GC, Okello EJ (2010) In vitro protective effects of Withania somnifera (L.) dunal root extract against hydrogen peroxide and beta-amyloid(1-42)-induced cytotoxicity in differentiated PC12 cells. Phytother Res 24(10):1567–1574. doi:10.1002/ptr.3261

    CAS  Article  PubMed  Google Scholar 

  38. Garcia-Martinez EM, Sanz-Blasco S, Karachitos A, Bandez MJ, Fernandez-Gomez FJ, Perez-Alvarez S, De Mera RMMF, Jordan MJ, Aguirre N, Galindo MF (2010) Mitochondria and calcium flux as targets of neuroprotection caused by minocycline in cerebellar granule cells. Biochem Pharmacol 79(2):239–250

    CAS  Article  PubMed  Google Scholar 

  39. Sattler R, Charlton MP, Hafner M, Tymianski M (1998) Distinct influx pathways, not calcium load, determine neuronal vulnerability to calcium neurotoxicity. J Neurochem 71(6):2349–2364

    CAS  Article  PubMed  Google Scholar 

  40. Orrenius S, Zhivotovsky B, Nicotera P (2003) Regulation of cell death: the calcium–apoptosis link. Nat Rev Mol Cell Biol 4(7):552–565

    CAS  Article  PubMed  Google Scholar 

  41. Choudhary MI, Nawaz SA, Lodhi MA, Ghayur MN, Jalil S, Riaz N, Yousuf S, Malik A, Gilani AH (2005) Withanolides, a new class of natural cholinesterase inhibitors with calcium antagonistic properties. Biochem Biophys Res Commun 334(1):276–287

    CAS  Article  PubMed  Google Scholar 

  42. Grunze H, Langosch J, von Loewenich C, Walden J (2000) Modulation of neural cell membrane conductance by the herbal anxiolytic and antiepileptic drug aswal. Neuropsychobiology 42(Suppl. 1):28–32

    Article  PubMed  Google Scholar 

  43. Racay P, Tatarkova Z, Chomova M, Hatok J, Kaplan P, Dobrota D (2009) Mitochondrial calcium transport and mitochondrial dysfunction after global brain ischemia in rat hippocampus. Neurochem Res 34(8):1469–1478

    CAS  Article  PubMed  Google Scholar 

  44. Murphy AN, Fiskum G, Beal MF (1999) Mitochondria in neurodegeneration: bioenergetic function in cell life and death. J Cereb Blood Flow Metab 19(3):231–245

    CAS  Article  PubMed  Google Scholar 

  45. Nicholls D (2004) Mitochondrial dysfunction and glutamate excitotoxicity studied in primary neuronal cultures. Curr Mol Med 4(2):149–177

    CAS  Article  PubMed  Google Scholar 

  46. Jung K-H, Chu K, Lee S-T, Park H-K, Kim J-H, Kang K-M, Kim M, Lee SK, Roh J-K (2009) Augmentation of nitrite therapy in cerebral ischemia by NMDA receptor inhibition. Biochem Biophys Res Commun 378(3):507–512

    CAS  Article  PubMed  Google Scholar 

  47. Norenberg M, Rao KR (2007) The mitochondrial permeability transition in neurologic disease. Neurochem Int 50(7):983–997

    CAS  Article  PubMed  PubMed Central  Google Scholar 

  48. Reynolds IJ, Hastings TG (1995) Glutamate induces the production of reactive oxygen species in cultured forebrain neurons following NMDA receptor activation. J Neurosci 15(5):3318–3327

    CAS  PubMed  Google Scholar 

  49. Kumar P, Kumar A (2009) Possible role of sertraline against 3-nitropropionic acid induced behavioral, oxidative stress and mitochondrial dysfunctions in rat brain. Prog Neuro-Psychopharmacol Biol Psychiatry 33(1):100–108

    CAS  Article  Google Scholar 

  50. Ahmad M, Saleem S, Ahmad AS, Ansari MA, Yousuf S, Hoda MN, Islam F (2005) Neuroprotective effects of Withania somnifera on 6-hydroxydopamine induced Parkinsonism in rats. Hum Exp Toxicol 24(3):137–147

    Article  PubMed  Google Scholar 

  51. Pinton P, Rizzuto R (2006) Bcl-2 and Ca2+ homeostasis in the endoplasmic reticulum. Cell Death Differ 13(8):1409–1418

    CAS  Article  PubMed  Google Scholar 

  52. Vander Heiden MG, Thompson CB (1999) Bcl-2 proteins: regulators of apoptosis or of mitochondrial homeostasis? Nat Cell Biol 1(8):E209–E216

    CAS  Article  PubMed  Google Scholar 

  53. Korsmeyer SJ, Shutter JR, Veis DJ, Merry DE (1993) Oltvai ZN Bcl-2/Bax: a rheostat that regulates an anti-oxidant pathway and cell death. In: Seminars in cancer biology. pp 327–332

  54. Youle RJ, Strasser A (2008) The BCL-2 protein family: opposing activities that mediate cell death. Nat Rev Mol Cell Biol 9(1):47–59

    CAS  Article  PubMed  Google Scholar 

  55. Galluzzi L, Blomgren K, Kroemer G (2009) Mitochondrial membrane permeabilization in neuronal injury. Nat Rev Neurosci 10(7):481–494

    CAS  Article  PubMed  Google Scholar 

  56. Sánchez-Gómez MV, Alberdi E, Pérez-Navarro E, Alberch J, Matute C (2011) Bax and calpain mediate excitotoxic oligodendrocyte death induced by activation of both AMPA and kainate receptors. J Neurosci 31(8):2996–3006

    Article  PubMed  Google Scholar 

  57. Sarafian TA, Vartavarian L, Kane DJ, Bredesen DE, Verity MA (1994) Bcl-2 expression decreases methyl mercury-induced free-radical generation and cell killing in a neural cell line. Toxicol Lett 74(2):149–155

    CAS  Article  PubMed  Google Scholar 

  58. Lin X, Wang YJ, Li Q, Hou YY, Hong MH, Cao YL, Chi ZQ, Liu JG (2009) Chronic high-dose morphine treatment promotes SH-SY5Y cell apoptosis via c-Jun N-terminal kinase-mediated activation of mitochondria-dependent pathway. FEBS J 276(7):2022–2036

    CAS  Article  PubMed  Google Scholar 

  59. Love S (2003) Apoptosis and brain ischaemia. Prog Neuro-Psychopharmacol Biol Psychiatry 27(2):267–282

    CAS  Article  Google Scholar 

  60. Sugawara T, Fujimura M, Noshita N, Kim GW, Saito A, Hayashi T, Narasimhan P, Maier CM, Chan PH (2004) Neuronal death/survival signaling pathways in cerebral ischemia. NeuroRx 1(1):17–25

    Article  PubMed  PubMed Central  Google Scholar 

  61. Ahmed ME, Javed H, Khan MM, Vaibhav K, Ahmad A, Khan A, Tabassum R, Islam F, Safhi MM, Islam F (2013) Attenuation of oxidative damage-associated cognitive decline by Withania somnifera in rat model of streptozotocin-induced cognitive impairment. Protoplasma 250(5):1067–1078

    CAS  Article  PubMed  Google Scholar 

  62. Baitharu I, Jain V, Deep SN, Shroff S, Sahu JK, Naik PK, Ilavazhagan G (2014) Withanolide A prevents neurodegeneration by modulating hippocampal glutathione biosynthesis during hypoxia. PLoS One 9(10):e105311

    Article  PubMed  PubMed Central  Google Scholar 

  63. Kim HK, Isaacs-Trepanier C, Elmi N, Rapoport SI, Andreazza AC (2016) Mitochondrial dysfunction and lipid peroxidation in rat frontal cortex by chronic NMDA administration can be partially prevented by lithium treatment. J Psychiatr Res 76:59–65

    Article  PubMed  Google Scholar 

  64. Halestrap A, Doran E, Gillespie J, O’Toole A (2000) Mitochondria and cell death. Biochem Soc Trans 28(2):170–177

    CAS  Article  PubMed  Google Scholar 

  65. Kumar A, Kaundal RK, Iyer S, Sharma SS (2007) Effects of resveratrol on nerve functions, oxidative stress and DNA fragmentation in experimental diabetic neuropathy. Life Sci 80(13):1236–1244

    CAS  Article  PubMed  Google Scholar 

  66. Vimal S, Sissodia S, Meena P, Barber S, Shukla S, Saxena A, Patro N, Patro I, Bhatnagar M (2010) Antioxidant effects of asparagus racemosus wild and Withania somnifera dunal in rat brain. Ann Neurosci 12(4):67–70

    Article  Google Scholar 

  67. Kaufmann SH, Desnoyers S, Ottaviano Y, Davidson NE, Poirier GG (1993) Specific proteolytic cleavage of poly (ADP-ribose) polymerase: an early marker of chemotherapy-induced apoptosis. Cancer Res 53(17):3976–3985

    CAS  PubMed  Google Scholar 

  68. Tewari M, Quan LT, O’Rourke K, Desnoyers S, Zeng Z, Beidler DR, Poirier GG, Salvesen GS, Dixit VM (1995) Yama/CPP32β, a mammalian homolog of CED-3, is a CrmA-inhibitable protease that cleaves the death substrate poly (ADP-ribose) polymerase. Cell 81(5):801–809

    CAS  Article  PubMed  Google Scholar 

  69. Chaitanya GV, Babu PP (2009) Differential PARP cleavage: an indication of heterogeneous forms of cell death and involvement of multiple proteases in the infarct of focal cerebral ischemia in rat. Cell Mol Neurobiol 29(4):563–573

    CAS  Article  PubMed  Google Scholar 

  70. Chaitanya GV, Alexander JS, Babu PP (2010) PARP-1 cleavage fragments: signatures of cell-death proteases in neurodegeneration. Cell Commun Signal 8(1):1

    Article  Google Scholar 

  71. Khanam S, Devi K (2005) Effect of Withania somnifera root extract on lead-induced DNA damage. J Food Agric Env 3

  72. LePage KT, Dickey RW, Gerwick WH, Jester EL, Murray TF (2005) On the use of neuro-2a neuroblastoma cells versus intact neurons in primary culture for neurotoxicity studies. Critical Reviews™ in Neurobiology 17 (1)

  73. Provost P (2010) Interpretation and applicability of microRNA data to the context of Alzheimer’s and age-related diseases. Aging (Albany NY) 2(3):166–169

    CAS  Article  Google Scholar 

Download references

Acknowledgment

Dr. Ahmad’s work was partly supported by the Ramalingaswamy Fellowship of Department of Biotechnology and Financial Assistance (MLP6009) as well as logistic support from the Council for Scientific and Industrial Research. Dr. Abid Hamid’s research is supported by the Department of Biotechnology (BT/PR/3140/PBD/17/656/2009). Additionally, research in both labs is supported by (BSC-0108). Mr. Dar is thankful to the University Grants Commission and Mr. Bhat is thankful to CSIR India for their Ph.D. research fellowships. Authors are thankful to director IIIM for facilitating the work. The institutional publication number of this manuscript is IIIM/1947/2016.

Author information

Affiliations

Authors

Corresponding authors

Correspondence to Abid Hamid or Muzamil Ahmad.

Rights and permissions

Reprints and Permissions

About this article

Verify currency and authenticity via CrossMark

Cite this article

Dar, N.J., Bhat, J.A., Satti, N.K. et al. Withanone, an Active Constituent from Withania somnifera, Affords Protection Against NMDA-Induced Excitotoxicity in Neuron-Like Cells. Mol Neurobiol 54, 5061–5073 (2017). https://doi.org/10.1007/s12035-016-0044-7

Download citation

  • Received:

  • Accepted:

  • Published:

  • Issue Date:

  • DOI: https://doi.org/10.1007/s12035-016-0044-7

Keywords

  • Withanone
  • Withania somnifera
  • Glutamate
  • ROS
  • Caspase
  • Intracellular calcium
  • Cytochrome c
  • Parp-1
  • NMDA