Skip to main content

High CD133 Expression Is Associated with Worse Prognosis in Patients with Glioblastoma

Abstract

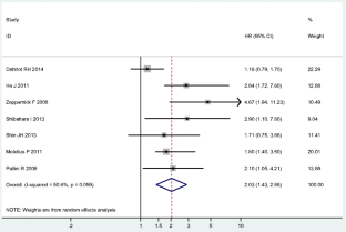
The CD133 antigen has been identified as a putative stem cell marker in gliomas. However, the prognostic significance of CD133 expression in glioblastoma patients remained controversial. A meta-analysis of published data was performed to comprehensively assess the prognostic role of CD133 expression in glioblastoma patients. Publications assessing the prognostic significance of CD133 expression in glioblastoma patients were identified in PubMed, Embase, and Web of Science up to November 2014. The pooled hazard ratio (HR) with 95 % confidence interval (95 % CI) was calculated using meta-analysis to evaluate the prognostic significance of CD133 expression in glioblastoma. Ten studies with a total of 715 glioblastoma patients were included into the meta-analysis. Overall, high CD133 expression was associated with poorer overall survival in patients with glioblastoma (HR = 1.96, 95 % CI 1.46–2.64, P < 0.001). In addition, high CD133 expression was also associated with poorer progression-free survival in patients with glioblastoma (HR = 2.03, 95 % CI 1.43–2.88, P < 0.001). Meta-analyses of studies with high quality showed that high CD133 expression was associated with both poorer overall survival (HR = 2.39, 95 % CI 1.77–3.23, P < 0.001) and poorer progression-free survival (HR = 2.17, 95 % CI 1.60–2.94, P < 0.001) in patients with glioblastoma. Meta-analysis of studies with adjusted estimates further showed that high CD133 expression was an independent prognostic factor of glioblastoma. High CD133 expression is associated with worse prognosis in patients with glioblastoma. More prospective studies with well-design are needed to confirm this finding.

This is a preview of subscription content, access via your institution.

Fig. 1
Fig. 2
Fig. 3

References

  1. Omuro A, DeAngelis LM (2013) Glioblastoma and other malignant gliomas: a clinical review. JAMA 310(17):1842–1850

    CAS  Article  PubMed  Google Scholar 

  2. Chen J, McKay RM, Parada LF (2012) Malignant glioma: lessons from genomics, mouse models, and stem cells. Cell 149(1):36–47

    CAS  Article  PubMed  PubMed Central  Google Scholar 

  3. Jansen M, Yip S, Louis DN (2010) Molecular pathology in adult gliomas: diagnostic, prognostic, and predictive markers. Lancet Neurol 9(7):717–726

    CAS  Article  PubMed  PubMed Central  Google Scholar 

  4. Dong X, Liu RY, Chen WD (2014) Correlation of promoter methylation in the MGMT gene with glioma risk and prognosis: a meta-analysis. Mol Neurobiol

  5. Xavier-Magalhaes A, Nandhabalan M, Jones C, Costa BM (2013) Molecular prognostic factors in glioblastoma: state of the art and future challenges. CNS Oncol 2(6):495–510

    CAS  Article  PubMed  Google Scholar 

  6. Molenaar RJ, Verbaan D, Lamba S, Zanon C, Jeuken JW, Boots-Sprenger SH, Wesseling P, Hulsebos TJ et al (2014) The combination of IDH1 mutations and MGMT methylation status predicts survival in glioblastoma better than either IDH1 or MGMT alone. Neuro Oncol 16(9):1263–1273

    CAS  Article  PubMed  PubMed Central  Google Scholar 

  7. Wick W, Weller M, van den Bent M, Sanson M, Weiler M, von Deimling A, Plass C, Hegi M et al (2014) MGMT testing—the challenges for biomarker-based glioma treatment. Nat Rev Neurol 10(7):372–385

    CAS  Article  PubMed  Google Scholar 

  8. Dawood S, Austin L, Cristofanilli M (2014) Cancer stem cells: implications for cancer therapy. Oncology (Williston Park) 28(12)

  9. Mak AB, Schnegg C, Lai CY, Ghosh S, Yang MH, Moffat J, Hsu MY (2014) CD133-targeted niche-dependent therapy in cancer: a multipronged approach. Am J Pathol 184(5):1256–1262

    CAS  Article  PubMed  PubMed Central  Google Scholar 

  10. Mimeault M, Batra SK (2014) Molecular biomarkers of cancer stem/progenitor cells associated with progression, metastases, and treatment resistance of aggressive cancers. Cancer Epidemiol Biomarkers Prev 23(2):234–254

    CAS  Article  PubMed  PubMed Central  Google Scholar 

  11. Qu H, Li R, Liu Z, Zhang J, Luo R (2013) Prognostic value of cancer stem cell marker CD133 expression in non-small cell lung cancer: a systematic review. Int J Clin Exp Pathol 6(11):2644–2650

    PubMed  PubMed Central  Google Scholar 

  12. Ren F, Sheng WQ, Du X (2013) CD133: a cancer stem cells marker, is used in colorectal cancers. World J Gastroenterol 19(17):2603–2611

    CAS  Article  PubMed  PubMed Central  Google Scholar 

  13. Carmignani M, Volpe AR, Aldea M, Soritau O, Irimie A, Florian IS, Tomuleasa C, Baritchii A et al (2014) Glioblastoma stem cells: a new target for metformin and arsenic trioxide. J Biol Regul Homeost Agents 28(1):1–15

    CAS  PubMed  Google Scholar 

  14. Dahlrot RH, Hansen S, Jensen SS, Schroder HD, Hjelmborg J, Kristensen BW (2014) Clinical value of CD133 and nestin in patients with glioma: a population-based study. Int J Clin Exp Pathol 7(7):3739–3751

    PubMed  PubMed Central  Google Scholar 

  15. Shin JH, Lee YS, Hong YK, Kang CS (2013) Correlation between the prognostic value and the expression of the stem cell marker CD133 and isocitrate dehydrogenase1 in glioblastomas. J Neurooncol 115(3):333–341

    CAS  Article  PubMed  Google Scholar 

  16. Shibahara I, Sonoda Y, Saito R, Kanamori M, Yamashita Y, Kumabe T, Watanabe M, Suzuki H et al (2013) The expression status of CD133 is associated with the pattern and timing of primary glioblastoma recurrence. Neuro Oncol 15(9):1151–1159

    CAS  Article  PubMed  PubMed Central  Google Scholar 

  17. Metellus P, Nanni-Metellus I, Delfino C, Colin C, Tchogandjian A, Coulibaly B, Fina F, Loundou A et al (2011) Prognostic impact of CD133 mRNA expression in 48 glioblastoma patients treated with concomitant radiochemotherapy: a prospective patient cohort at a single institution. Ann Surg Oncol 18(10):2937–2945

    Article  PubMed  Google Scholar 

  18. He J, Shan Z, Li L, Liu F, Liu Z, Song M, Zhu H (2011) Expression of glioma stem cell marker CD133 and O6-methylguanine-DNA methyltransferase is associated with resistance to radiotherapy in gliomas. Oncol Rep 26(5):1305–1313

    CAS  PubMed  Google Scholar 

  19. Ardebili SY, Zajc I, Gole B, Campos B, Herold-Mende C, Drmota S, Lah TT (2011) CD133/prominin1 is prognostic for GBM patient’s survival, but inversely correlated with cysteine cathepsins’ expression in glioblastoma derived spheroids. Radiol Oncol 45(2):102–115

    CAS  Article  PubMed  PubMed Central  Google Scholar 

  20. Kappadakunnel M, Eskin A, Dong J, Nelson SF, Mischel PS, Liau LM, Ngheimphu P, Lai A et al (2010) Stem cell associated gene expression in glioblastoma multiforme: relationship to survival and the subventricular zone. J Neurooncol 96(3):359–367

    CAS  Article  PubMed  PubMed Central  Google Scholar 

  21. Zeppernick F, Ahmadi R, Campos B, Dictus C, Helmke BM, Becker N, Lichter P, Unterberg A et al (2008) Stem cell marker CD133 affects clinical outcome in glioma patients. Clin Cancer Res 14(1):123–129

    CAS  Article  PubMed  Google Scholar 

  22. Pallini R, Ricci-Vitiani L, Banna GL, Signore M, Lombardi D, Todaro M, Stassi G, Martini M et al (2008) Cancer stem cell analysis and clinical outcome in patients with glioblastoma multiforme. Clin Cancer Res 14(24):8205–8212

    CAS  Article  PubMed  Google Scholar 

  23. Murat A, Migliavacca E, Gorlia T, Lambiv WL, Shay T, Hamou MF, de Tribolet N, Regli L et al (2008) Stem cell-related “self-renewal” signature and high epidermal growth factor receptor expression associated with resistance to concomitant chemoradiotherapy in glioblastoma. J Clin Oncol 26(18):3015–3024

    CAS  Article  PubMed  Google Scholar 

  24. Wells G, Shea B, O’connell D, Peterson J, Welch V, Losos M, Tugwell P (2014) The Newcastle-Ottawa Scale (NOS) for assessing the quality of nonrandomised studies in meta-analyses. Ottawa Health Research Institute Web site

  25. Higgins JP, Thompson SG, Deeks JJ, Altman DG (2003) Measuring inconsistency in meta-analyses. BMJ 327(7414):557–560

    Article  PubMed  PubMed Central  Google Scholar 

  26. DerSimonian R, Laird N (1986) Meta-analysis in clinical trials. Control Clin Trials 7(3):177–188

    CAS  Article  PubMed  Google Scholar 

  27. Mantel N, Haenszel W (1959) Statistical aspects of the analysis of data from retrospective studies of disease. J Natl Cancer Inst 22(4):719–748

    CAS  PubMed  Google Scholar 

  28. Beier D, Wischhusen J, Dietmaier W, Hau P, Proescholdt M, Brawanski A, Bogdahn U, Beier CP (2008) CD133 expression and cancer stem cells predict prognosis in high-grade oligodendroglial tumors. Brain Pathol 18(3):370–377

    Article  PubMed  Google Scholar 

  29. Dahlrot RH (2014) The prognostic value of clinical factors and cancer stem cell-related markers in gliomas. Dan Med J 61(10):B4944

    PubMed  Google Scholar 

  30. Guo J, Chen X, Xi R, Chang Y, Zhang X (2014) AEG-1 expression correlates with CD133 and PPP6c levels in human glioma tissues. J Biomed Res 28(5):388–395

    CAS  PubMed  PubMed Central  Google Scholar 

  31. Jensen SS, Aaberg-Jessen C, Christensen KG, Kristensen B (2013) Expression of the lysosomal-associated membrane protein-1 (LAMP-1) in astrocytomas. Int J Clin Exp Pathol 6(7):1294–1305

    PubMed  PubMed Central  Google Scholar 

  32. Kase M, Minajeva A, Niinepuu K, Kase S, Vardja M, Asser T, Jaal J (2013) Impact of CD133 positive stem cell proportion on survival in patients with glioblastoma multiforme. Radiol Oncol 47(4):405–410

    Article  PubMed  PubMed Central  Google Scholar 

  33. Kim KJ, Lee KH, Kim HS, Moon KS, Jung TY, Jung S, Lee MC (2011) The presence of stem cell marker-expressing cells is not prognostically significant in glioblastomas. Neuropathology 31(5):494–502

    Article  PubMed  Google Scholar 

  34. Melguizo C, Prados J, Gonzalez B, Ortiz R, Concha A, Alvarez PJ, Madeddu R, Perazzoli G et al. (2012) MGMT promoter methylation status and MGMT and CD133 immunohistochemical expression as prognostic markers in glioblastoma patients treated with temozolomide plus radiotherapy. J Transl Med 10250

  35. Modena P, Buttarelli FR, Miceli R, Piccinin E, Baldi C, Antonelli M, Morra I, Lauriola L et al (2012) Predictors of outcome in an AIEOP series of childhood ependymomas: a multifactorial analysis. Neuro Oncol 14(11):1346–1356

    CAS  Article  PubMed  PubMed Central  Google Scholar 

  36. Pallini R, Ricci-Vitiani L, Montano N, Mollinari C, Biffoni M, Cenci T, Pierconti F, Martini M et al (2011) Expression of the stem cell marker CD133 in recurrent glioblastoma and its value for prognosis. Cancer 117(1):162–174

    Article  PubMed  Google Scholar 

  37. Raso A, Mascelli S, Biassoni R, Nozza P, Kool M, Pistorio A, Ugolotti E, Milanaccio C et al (2011) High levels of PROM1 (CD133) transcript are a potential predictor of poor prognosis in medulloblastoma. Neuro Oncol 13(5):500–508

    CAS  Article  PubMed  PubMed Central  Google Scholar 

  38. Rodini CO, Suzuki DE, Saba-Silva N, Cappellano A, de Souza JE, Cavalheiro S, Toledo SR, Okamoto OK (2012) Expression analysis of stem cell-related genes reveal OCT4 as a predictor of poor clinical outcome in medulloblastoma. J Neurooncol 106(1):71–79

    CAS  Article  PubMed  Google Scholar 

  39. Svendsen A, Verhoeff JJ, Immervoll H, Brogger JC, Kmiecik J, Poli A, Netland IA, Prestegarden L et al (2011) Expression of the progenitor marker NG2/CSPG4 predicts poor survival and resistance to ionising radiation in glioblastoma. Acta Neuropathol 122(4):495–510

    CAS  Article  PubMed  PubMed Central  Google Scholar 

  40. Winardi D, Tsai HP, Chai CY, Chung CL, Loh JK, Chen YH, Hsieh CL (2014) Correlation of altered expression of the autophagy marker LC3B with poor prognosis in astrocytoma. Biomed Res Int 2014723176

  41. Zhang M, Song T, Yang L, Chen R, Wu L, Yang Z, Fang J (2008) Nestin and CD133: valuable stem cell-specific markers for determining clinical outcome of glioma patients. J Exp Clin Cancer Res 2785

  42. Zhou YH, Hess KR, Raj VR, Yu L, Liu L, Yung AW, Linskey ME (2010) Establishment of prognostic models for astrocytic and oligodendroglial brain tumors with standardized quantification of marker gene expression and clinical variables. Biomark Insights 5153–168

  43. Zhai JH, Gu WC, Xu XL, Wu J, Hu XJ, Hou KZ (2014) Prognostic value of CD133 expression in cancer patients treated with chemoradiotherapy: a meta-analysis. Tumour Biol

  44. Parsons DW, Jones S, Zhang X, Lin JC, Leary RJ, Angenendt P, Mankoo P, Carter H et al (2008) An integrated genomic analysis of human glioblastoma multiforme. Science 321(5897):1807–1812

    CAS  Article  PubMed  PubMed Central  Google Scholar 

  45. Killela PJ, Pirozzi CJ, Healy P, Reitman ZJ, Lipp E, Rasheed BA, Yang R, Diplas BH et al (2014) Mutations in IDH1, IDH2, and in the TERT promoter define clinically distinct subgroups of adult malignant gliomas. Oncotarget 5(6):1515–1525

    Article  PubMed  PubMed Central  Google Scholar 

  46. Masamha CP, Xia Z, Yang J, Albrecht TR, Li M, Shyu AB, Li W, Wagner EJ (2014) CFIm25 links alternative polyadenylation to glioblastoma tumour suppression. Nature 510(7505):412–416

    CAS  PubMed  PubMed Central  Google Scholar 

  47. Bolland MJ, Grey A, Gamble GD, Reid IR (2014) The effect of vitamin D supplementation on skeletal, vascular, or cancer outcomes: a trial sequential meta-analysis. Lancet Diabetes Endocrinol 2(4):307–320

    CAS  Article  PubMed  Google Scholar 

  48. Hofbauer LC, Rachner TD, Coleman RE, Jakob F (2014) Endocrine aspects of bone metastases. Lancet Diabetes Endocrinol 2(6):500–512

    CAS  Article  PubMed  Google Scholar 

  49. Gilbert MR, Dignam JJ, Armstrong TS, Wefel JS, Blumenthal DT, Vogelbaum MA, Colman H, Chakravarti A et al (2014) A randomized trial of bevacizumab for newly diagnosed glioblastoma. N Engl J Med 370(8):699–708

    CAS  Article  PubMed  PubMed Central  Google Scholar 

  50. Ferrandon S, Saultier P, Carras J, Battiston-Montagne P, Alphonse G, Beuve M, Malleval C, Honnorat J et al (2013) Telomere profiling: toward glioblastoma personalized medicine. Mol Neurobiol 47(1):64–76

    CAS  Article  PubMed  Google Scholar 

  51. Ajani JA, Song S, Hochster HS, Steinberg IB (2015) Cancer stem cells: the promise and the potential. Semin Oncol 42(Suppl 1):S3–S17

    CAS  Article  PubMed  Google Scholar 

Download references

Conflict of Interest

The authors declare that they have no competing interests.

Author information

Affiliations

Authors

Corresponding author

Correspondence to Hui Yang.

Additional information

Wei Zhang and Huanran Chen are the co-first authors of the study.

Rights and permissions

Reprints and Permissions

About this article

Verify currency and authenticity via CrossMark

Cite this article

Zhang, W., Chen, H., Lv, S. et al. High CD133 Expression Is Associated with Worse Prognosis in Patients with Glioblastoma. Mol Neurobiol 53, 2354–2360 (2016). https://doi.org/10.1007/s12035-015-9187-1

Download citation

  • Received:

  • Accepted:

  • Published:

  • Issue Date:

  • DOI: https://doi.org/10.1007/s12035-015-9187-1

Keywords

  • CD133
  • Glioblastoma
  • Prognosis