Skip to main content

Tetramethylpyrazine reverses multidrug resistance in breast cancer cells through regulating the expression and function of P-glycoprotein

Abstract

Tumor multidrug resistance (MDR) has become the major obstacle to cancer chemotherapy. Recent studies suggest that tetramethylpyrazine (TMP) could reverse tumor MDR although the mechanism by which TMP overcomes tumor MDR remains elusive. Therefore, in this study, we examined the effects of TMP on MDR in drug-resistant breast cancer cells and investigated the underlying mechanisms. MCF-7 cells and the derived P-glycoprotein (Pgp) overexpressing MCF-7/dox cells were treated with TMP, and their growth was examined by MTT assay. Doxorubicin accumulation in the cells was evaluated by flow cytometry, and the expression of Pgp was detected by Western blot and RT–PCR analysis. The results showed that TMP increased the intracellular concentration of doxorubicin and inhibited Pgp-mediated efflux of doxorubicin in a dose-dependent manner. Moreover, TMP inhibited the ATPase activity of P-gp and suppressed the expression of Pgp in MCF-7/dox cells. Taken together, these data suggest that TMP has potential application in the treatment of chemotherapy-resistant breast cancer.

This is a preview of subscription content, access via your institution.

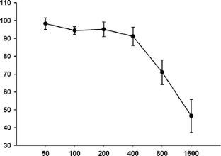
Fig. 1
Fig. 2
Fig. 3
Fig. 4

References

  1. Szakács G, Paterson JK, Ludwig JA, et al. Targeting multidrug resistance in cancer. Nat Rev Drug Discov. 2006;5:219.

    PubMed  Article  Google Scholar 

  2. Nobili S, Landini I, Giglion B, et al. Pharmacological strategies for overcoming multidrug resistance. Curr Drug Targets. 2006;7:861.

    PubMed  Article  CAS  Google Scholar 

  3. Mosmann T. Rapid colorimetric assay for cellular growth and survival: application to proliferation and cytotoxicity assays. J Immunol Methods. 1983;65:55.

    PubMed  Article  CAS  Google Scholar 

  4. Dai CL, Liang YJ, Fu LW, et al. Sensitization of ABCB1 overexpression cells to chemotherapeutic agents by FG020326 via binding to ABCB1, inhibiting its function. Biochem Pharmacol. 2009;78:355.

    PubMed  Article  CAS  Google Scholar 

  5. Mistry P, Stewart AJ, Dangerfield W, et al. In vitro and in vivo reversal of P-glycoprotein-mediated multidrug resistance by a novel potent modulator, XR9576. Cancer Res. 2001;61:749.

    PubMed  CAS  Google Scholar 

  6. Fu LW, Zhang YM, Liang YJ, et al. The multidrug resistance of tumour cells was reversed by tetrandrine in vitro and in xenografts derived from human breast adenocarcinoma MCF-7/dox cells. Eur J Cancer. 2002;38:418.

    PubMed  Article  CAS  Google Scholar 

  7. Zhou C, Shen P, Cheng Y. Quantitative study of the drug efflux kinetics from sensitive and MDR human breast cancer cells. Biochim Biophys Acta. 2007;1770:1011.

    PubMed  Article  CAS  Google Scholar 

  8. Wang XB, Wang SS, Zhang QF, et al. Inhibition of tetramethylpyrazine on P-gp, MRP2, MRP3 and MRP5 in multidrug resistant human hepatocellular carcinoma cells. Oncol Rep. 2010;23:211.

    PubMed  CAS  Google Scholar 

Download references

Acknowledgment

This study was supported by Key Lab Project of Department of Education of Liaoning Province (No. LS2010102) and Youth Fund from of Liaoning Medical University.

Author information

Affiliations

Authors

Corresponding author

Correspondence to Jun Hua Zhang.

Rights and permissions

Reprints and Permissions

About this article

Cite this article

Zhang, Y., Liu, X., Zuo, T. et al. Tetramethylpyrazine reverses multidrug resistance in breast cancer cells through regulating the expression and function of P-glycoprotein. Med Oncol 29, 534–538 (2012). https://doi.org/10.1007/s12032-011-9950-8

Download citation

  • Received:

  • Accepted:

  • Published:

  • Issue Date:

  • DOI: https://doi.org/10.1007/s12032-011-9950-8

Keywords

  • TMP
  • P-glycoprotein
  • Multidrug resistance
  • Breast cancer cells