Abstract
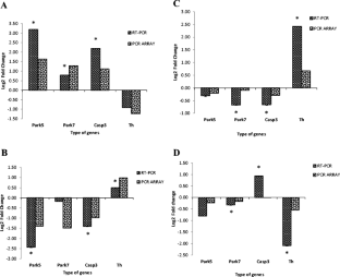
Quercetin glycosides, rutin and isoquercitrin, are potent antioxidants that have been found to possess neuroprotective effect in diseases like Parkinson’s and Alzheimer’s disease. In the present study, we have examined the gene expression changes with rutin and isoquercitrin pretreatment on 6-hydroxydopamine (6-OHDA)-treated toxicity in rat pheochromocytoma (PC12) cells. PC12 cells were pretreated with rutin or isoquercitrin and subsequently exposed to 6-OHDA. Rutin-pretreated PC12 attenuated the Park2, Park5, Park7, Casp3, and Casp7 genes which were expressed significantly in the 6-OHDA-treated PC12 cells. Rutin upregulated the TH gene which is important in dopamine biosynthesis, but isoquercitrin pretreatment did not affect the expression of this gene. Both rutin and isoquercitrin pretreatments upregulated the ion transport and antiapoptotic genes (NSF and Opa1). The qPCR array data were further validated by qRT-PCR using four primers, Park5, Park7, Casp3, and TH. This finding suggests that changes in the expression levels of transcripts encoded by genes that participate in ubiquitin pathway and dopamine biosynthesis may be involved in Parkinson’s disease.


References
Albrecht M, Golatta M, Wüllner U et al (2004) Structural and functional analysis of ataxin-2 and ataxin-3. Eur J Biochem 271(15):3155–3170
Asahi K, Mizutani H, Miura M et al (1999) Intradermal transfer of caspase-1 (CASP1) DNA into mouse dissects: role of CASP1 in interleukin-1β associated skin inflammation and apoptotic cell death. J Dermatol Sci 2:49–58
Asmus SE, Anderson EK, Ball MW (2008) Neurochemical characterization of tyrosine hydroxylase-immunoreactive interneurons in the developing rat cerebral cortex. Brain Res 1222:95–105
Baik A, Olenchock B, Moslehi J et al (2013) Acute hypoxia-inducible factor Egln1 inactivation protects against ischemia-reperfusion injury by regulation of glucose oxidation and reactive oxygen species generation. J Am Coll Cardiol 6:10S
Bandopadhyay R, Kingsbury AE, Cookson MR et al (2004) The expression of DJ-1 (PARK7) in normal human CNS and idiopathic Parkinson’s disease. Brain 127:420–430
Blum D, Torch S, Lambeng N et al (2001) Molecular pathways involved in the neurotoxicity of 6-OHDA, dopamine and MPTP: contribution to the apoptotic theory in Parkinson’s disease. Prog Neurobiol 65(2):135–172
Bourke CH, Raees MQ, Malviya S et al (2013) Glucocorticoid sensitizers Bag1 and Ppid are regulated by adolescent stress in a sex-dependent manner. Psychoneuroendocrino 38:84–93
Buroker NE, Ning XH, Zhou ZN et al (2012) EPAS1 and EGLN1 associations with high altitude sickness in Han and Tibetan Chinese at the Qinghai–Tibetan Plateau. Blood Cell Mol Dis 49:67–73
Chan NC, Salazar AM, Pham AH et al (2011) Broad activation of the ubiquitin-proteasome system by Parkin is critical for mitophagy. Hum Mol Genet 20(9):1726–1737
Chen TJ, Jeng JY, Lin CW et al (2006) Quercetin inhibition of ROS-dependent and independent apoptosis in rat glioma C6 cells. Toxicology 223:113–126
Chen Y, Fang ST, Yeh PC et al (2012) The C-terminus of PARK2 is required for its self-interaction, solubility and role in the spindle assembly checkpoint. Biochim Biophys Acta 1822:573–580
Chinta SJ, Andersen JK (2005) Dopaminergic neurons. Int J Biochem Cell Biol 37(5):942–946
Chong ZZ, Lin SH, Maiese K (2002) Nicotinamide modulates mitochondrial membrane potential and cysteine protease activity during cerebral vascular endothelial cell injury. J Vasc Res 39(2):131–147
Chou AH, Yeh TH, Ouyang P et al (2008) Polyglutamine-expanded ataxin-3 causes cerebellar dysfunction of SCA3 transgenic mice by inducing transcriptional dysregulation. Neurobiol Dis 31:89–101
Daubner SC, Lauriano C, Haycock JW et al (1992) Site-directed mutagenesis of serine 40 of rat tyrosine hydroxylase. Effects of dopamine and cAMP-dependent phosphorylation on enzyme activity. J Biol Chem 267:12639–12646
Day INM, Thompson RJ (2010) UCHL1 (PGP 9.5): neuronal biomarker and ubiquitin system protein. Prog Neurobiol 90:327–362
De Oliveira EB, Humeau C, Maia ER et al (2010) An approach based on Density Functional Theory (DFT) calculations to assess the Candida antarctica lipase B selectivity in rutin, isoquercitrin and quercetin acetylation. J Mol Catal B Enzym 66(30):325–331
Deng H, Le W, Shahed J et al (2008) Mutation analysis of the parkin and PINK1 genes in American Caucasian early-onset Parkinson disease families. Neurosci Lett 430:18–22
Dewey CM, Cenik B, Sephton CF et al (2012) TDP-43 aggregation in neurodegeneration: are stress granules the key? Brain Res 1462:16–25
Dodel RC, Du Y, Bales KR et al (1999) Caspase-3-like proteases and 6-hydroxydopamine induced neuronal cell death. Brain Res Mol Brain Res 64:141–148
Double KL (2012) Neuronal vulnerability in Parkinson’s disease. Parkinsonism Relat D 18S1:S52–S54
Franchi L, Eigenbrod T, Muñoz-Planillo R et al (2009) The inflammasome: a caspase-1-activation platform that regulates immune responses and disease pathogenesis. Nat Immunol 10(3):241–247
Gomez-Lazaro M, Bonekamp NA, Galindo MF et al (2008) 6-Hydroxydopamine (6-OHDA) induces Drp1-dependent mitochondrial fragmentation in SH-SY5Y cells. Free Radic Biol Med 44:1960–1969
Gottlieb E (2006) OPA1 and PARL keep a lid on apoptosis. Cell 126(1):27–29
Graya JJ, Zommera AE, Bouchard RJ et al (2013) N-terminal cleavage of the mitochondrial fusion GTPase OPA1 occurs via a caspase-independent mechanism in cerebellar granule neurons exposed to oxidative or nitrosative stress. Brain Res 1494:28–43
Gruden MA, Storozheva ZI, Sewell RDE et al (2013) Distinct functional brain regional integration of Casp3, Ascl1 and S100a6 gene expression in spatial memory. Behav Brain Res 252:230–238
Imai Y, Soda M, Takahashi R (2000) Parkin suppresses unfolded protein stress-induced cell death through its E3 ubiquitin-protein ligase activity. J Biol Chem 275:35661–35664
Jiang J, Ballinger CA, Wu Y et al (2001) CHIP is a U-box-dependent E3 ubiquitin ligase: identification of Hsc70 as a target for ubiquitylation. J Biol Chem 276(46):42938–42944
Jin CM, Yang YJ, Huang HS et al (2010) Mechanisms of L-DOPA-induced cytotoxicity in rat adrenal pheochromocytoma cells: implication of oxidative stress-related kinases and cyclic AMP. Neurosc 170:390–398
Jung SH, Kim BJ, Lee EH et al (2010) Isoquercitrin is the most effective antioxidant in the plant Thuja orientalis and able to counteract oxidative-induced damage to a transformed cell line (RGC-5cells). Neurochem Int 57:713–721
Kahle PJ, Waak J, Gasser T (2009) DJ-1 and prevention of oxidative stress in Parkinson’s disease and other age-related disorders. Free Radic Biol Med 47:1354–1361
Koziorowski D, Hoffman-Zacharska D, Sławek J et al (2010) Low frequency of the PARK2 gene mutations in Polish patients with the early-onset form of Parkinson disease. Parkinsonism Relat Disord 16:136–138
Kwon KH, Murakami A, Tanaka T et al (2005) Dietary rutin, but not its aglycone quercetin, ameliorates dextran sulfate sodium-induced experimental colitis in mice: attenuation of pro-inflammatory gene expression. Biochem Pharmacol 69:395–406
Lamkanfi M, Kanneganti TD (2010) Caspase-7: a protease involved in apoptosis and inflammation. Int J Biochem Cell Biol 42:21–24
Lee KY, Hwang L, Jeong EJ et al (2010) Effect of neuroprotective flavonoids of Agrimonia eupatoria on glutamate-induced oxidative injury to HT22 hippocampal cells. Biosci Biotechnol Biochem 74(8):1704–1706
Lin MT, Beal MF (2006) Mitochondrial dysfunction and oxidative stress in neurodegenerative diseases. Nature 443:787–795
Little AR, Miller DB, Li S et al (2012) Gene expression pathway analysis, q-RT-PCR and immunoblotting reveal early effects associated with hippocampal damage and gliosis. Neurotoxicol Teratol 34:72–82
Liu C, Hu B (2004) Alterations of N-ethylmaleimide-sensitive atpase following transient cerebral ischemia. Neurosc 128:767–774
Magalingam KB, Radhakrishnan A, Haleagrahara N (2013) Rutin, a bioflavonoid antioxidant protects rat pheochromocytoma (PC-12) cells against 6-hydroxydopamine (6-OHDA)-induced neurotoxicity. Int J Mol Med 32:235–240
Magalingam KB, Radhakrishnan A, Haleagrahara N (2014) Protective effects of flavonol isoquercitrin, against 6-hydroxydopamine (6-OHDA)-induced toxicity PC12 cells. BMC Res Notes 7:49
Matas J, Young NT, Bourcier-Lucas C et al (2009) Increased expression and intramitochondrial translocation of cyclophilin-D associates with increased vulnerability of the permeability transition pore to stress-induced opening during compensated ventricular hypertrophy. J Mol Cell Cardiol 46(3):420–430
Nikam S, Nikam P, Ahaley SK et al (2009) Oxidative stress in Parkinson’s disease. Indian J Clin Biochem 24:98–101
Nonhoff U, Ralser M, Welzel F et al (2007) Ataxin-2 interacts with the DEAD/H-box RNA helicase DDX6 and interferes with P-bodies and stress granules. Mol Biol Cell 18(4):1385–1396
Pasinelli P, Houseweart MK, Brown RH Jr et al (2000) Caspase-1 and −3 are sequentially activated in motor neuron death in Cu, Zn superoxide dismutase-mediated familial amyotrophic lateral sclerosis. Proc Natl Acad Sci U S A 97(25):13901–13906
Prasad V, Chandele A, Jagtap JC et al (2006) ROS-triggered caspase 2 activation and feedback amplification loop in β-carotene-induced apoptosis. Free Radic Biol Med 41:431–442
Ralser M, Albrecht M, Nonhoff U et al (2005) An integrative approach to gain insights into the cellular function of human ataxin-2. J Mol Biol 346(1):203–214
Raman AV, Chou VP, Duyanen JA et al (2013) Evidence of oxidative stress in young and aged DJ-1-deficient mice. FEBS Lett 587:1562–1570
Rengaraj D, Lee BR, Park KJ et al (2011) The distribution of neuron-specific gene family member 1 in brain and germ cells: implications for the regulation of germ-line development by brain. Dev Dyn 240:850–861
Robertson GS, Crocker SJ, Nicholson DW et al (2000) Neuroprotection by the inhibition of apoptosis. Brain Pathol 10(2):283–292
Ross CA, Poirier MA (2004) Protein aggregation and neurodegenerative disease. Nat Med 10:S10–S17
Russell JW, Golovoy D, Vincent AM et al (2002) High glucose-induced oxidative stress and mitochondrial dysfunction in neurons. FASEB J 16(13):1738–1748
Sanjuán Szklarz LK, Scorrano L (2012) The antiapoptotic OPA1/Parl couple participates in mitochondrial adaptation to heat shock. Biochim Biophys Acta 1817:1886–1893
Schmalhausen EV, Zhlobek EB, Shalova IN et al (2007) Antioxidant and prooxidant effects of quercetin on lyceraldehyde-3-phosphate dehydrogenase. Food Chem Toxicol 45:1988–1993
Sherman TG, Moody CA (1995) Alterations in tyrosine hydroxylase expression following partial lesions of the nigrostriatal bundle. Brain Res Mol Brain Res 29(2):285–296
Silva CG, Raulino RJ, Cerqueira DM et al (2009) In vitro and in vivo determination of antioxidant activity and mode of action of isoquercitrin and Hyptis fasciculata. Phytomedicine 16:761–767
Singh RP, Sharad S, Kapur S (2004) Free radicals and oxidative stress in neurodegenerative diseases: relevance of dietary antioxidants. J Indian Acad Clin Med 5(3):218–225
Söllner T, Bennett MK, Whiteheart SW et al (1993) A protein assembly-disassembly pathway in vitro that may correspond to sequential steps of synaptic vesicle docking, activation, and fusion. Cell 75(3):409–418
Szlarz LKS, Scorrano L (2012) The antiapoptotic OPA1/Parl couple participates in mitochondrial adaptation to heat shock. Biochim et Biophys Acta 1817:1886–1893
Tabner BJ, Turnbull S, El-Agnaf OM et al (2002) Formation of hydrogen peroxide and hydroxyl radicals from Aβ and α-synuclein as a possible mechanism of cell death in Alzheimer’s disease and Parkinson’s disease. Free Radic Biol Med 11:1076–1083
Tang B, Liu C, Shen L et al (2000) Frequency of SCA1, SCA2, SCA3/MJD, SCA6, SCA7, and DRPLA CAG trinucleotide repeat expansion in patients with hereditary spinocerebellar ataxia from Chinese kindreds. Arch Neurol 57(4):540–544
Thannickal VJ, Fanburg BL (2000) Reactive oxygen species in cell signaling. Am J Physiol Lung Cell Mol Physiol 279:L1005–L1028
Van de Loo S, Eich F, Nonis D et al (2009) Ataxin-2 associates with rough endoplasmic reticulum. J Exp Neurol 215:110–118
Wagner C, Fachinetto R, Dalla Corte CL et al (2006) Quercitrin, a glycoside form of quercetin, prevents lipid peroxidation in vitro. Brain Res 1107:192–198
Walkinshaw G, Waters CM (1994) Neurotoxin-induced cell death in neuronal PC12 cells is mediated by induction of apoptosis. Neuroscience 63(4):975–998
Whiteheart SW, Schraw T, Matveeva EA (2001) N-ethylmaleimide sensitive factor (NSF) structure and function. Int Rev Cytol 207:71–112
Xu R, Liu J, Chen X et al (2001) Ribozyme-mediated inhibition of caspase-3 activity reduces apoptosis induced by 6-hydroxydopamine in PC12 cells. Brain Res 899:10–19
Yang J, Guoa J, Yuan J (2008) In vitro antioxidant properties of rutin. LWT 41:1060–1066
Yap CC, Wisco D, Kujala P et al (2008) The somatodendritic endosomal regulator NEEP21 facilitates axonal targeting of L1/NgCAM. J Cell Biol 180:827–842
Yu W, Kawasaki F, Ordway RW (2011) Activity-dependent interactions of NSF and SNAP at living synapses. Mol Cell Neurosc 47:19–27
Zhang Y, Gao J, Chung KK et al (2000) Parkin functions as an E2-dependent ubiquitin– protein ligase and promotes the degradation of the synaptic vesicle-associated protein, CDCrel-1. Proc Natl Acad Sci U S A 97(24):13354–13359
Zhong X, Pittman RN (2006) Ataxin-3 binds VCP/p97 and regulates retrotranslocation of ERAD substrates. Hum Mol Genet 15(16):2409–2420
Conflict of Interest
There are no ethical/legal conflicts involved in the article.
Author information
Authors and Affiliations
Corresponding author
Rights and permissions
About this article
Cite this article
Magalingam, K.B., Radhakrishnan, A., Ramdas, P. et al. Quercetin Glycosides Induced Neuroprotection by Changes in the Gene Expression in a Cellular Model of Parkinson’s Disease. J Mol Neurosci 55, 609–617 (2015). https://doi.org/10.1007/s12031-014-0400-x
Received:
Accepted:
Published:
Issue Date:
DOI: https://doi.org/10.1007/s12031-014-0400-x