Abstract
Background
Gastric cancer is the fifth cancer worldwide. Inflammatory response increases metastasis through apoptosis inhibition and angiogenesis augmentation. The neutrophil-lymphocyte ratio (NLR), which is a balance between pro-cancer inflammatory and anti-cancer immune responses, was proved as prognostic marker. Peripheral NLR is a good reflection of tumor microenvironment.
Methods
We retrospectively collected data of gastric and gastro-esophageal cancer patients treated from January 2015 till December 2016. Sixty-one patients were included. Pre-treatment NLR was calculated. We extracted the different clinic-epidemiological and pathological data. Event-free and overall survivals were plotted using Kaplan-Meier curves.
Results
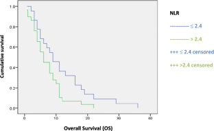
The median age was 55. Male to female ratio was 1:1. Forty-seven patients were smokers. Most of the patients (93.4%) had good performance status (ECOG 0-2). Forty-six patients had gastric and 15 had gastro-esophageal cancer. 50.8% had diffuse gastric type. Grade III represented 49.2% and grade II 46%. Twelve patients had ascites at diagnosis. Stage at presentation was 1.6%, 4.9%, 27.9%, 50.8%, and 14.8% for stage I, II, III, IV, and unknown respectively. The median NLR was 2.4. The NLR showed no significant correlation with different clinic-epidemiologic and pathological variables except presence of ascites; p = 0.046. Median event-free survival (EFS) and overall survival (OS) were 6 and 8 months respectively. High NLR was significantly associated with worse survival; EFS, 5 months vs 8 months (95% CI, p = 0.001). OS, 6 months vs 9 months (95% CI, p = 0.013).
Conclusion
Gastric cancer is an aggressive and fatal disease. NLR can be used as a prognostic marker.



References
Chen J, Hong D, Zhai Y, et al. Meta-analysis of associations between neutrophil-to-lymphocyte ratio and prognosis of gastric cancer. World J Surg Oncol. 2015;13:122.
Zeeneldin AA, Ramadan H, El Gammal MM, et al. Gastric carcinoma at Tanta Cancer center: a comparative retrospective clinico-pathological study of the elderly versus the non-elderly. J Egypt Natl Canc Inst. 2014;26:127–37.
Grivennikov SI, Greten FR, Karin M. Immunity, inflammation and cancer. Cell. 2010;140:883–99.
Amedei A, Della Bella C, Silvestri E, et al. T cells in gastric cancer: friends or foes. Clin Dev Immunol. 2012:690571.
Cho IR, Park JC, Park CH, Jo JH, Lee HJ, Kim S, et al. Pre-treatment neutrophil to lymphocyte ratio as a prognostic marker to predict chemotherapeutic response and survival outcomes in metastatic advanced gastric cancer. Gastric Cancer. 2014;17:703–10.
Jin H, Zhang G, Liu X, et al. Blood neutrophil-lymphocyte ratio predicts survival for stages III-IV gastric cancer treated with neoadjuvant chemotherapy. World J Surg Oncol. 2013;11:112.
Mohri Y, Tanaka K, Ohi M, et al. Identification of prognostic factors and surgical indications for metastatic gastric cancer. BMC Cancer. 2014;14:409.
Namikawa T, Munekage E, Munekage M, et al. Evaluation of systemic inflammatory response biomarkers in patients receiving chemotherapy for unresectable and recurrent advanced gastric cancer. Oncology. 2016;
Sun J, Chen X, Gao P, et al. Can the neutrophil to lymphocyte ratio be used to determine gastric cancer treatment outcomes? A systematic review and meta-analysis. Dis Markers. 2016:7862469.
Choi Y, Kim JW, Nam KH, et al. Systemic inflammation is associated with the density of immune cells in the tumor microenvironment of gastric cancer. Gastric Cancer. 2016; https://doi.org/10.1007/s10120-016-0642-0.
Bang YJ, Yalcin S, Roth A, Hitier S, ter-Ovanesov M, Wu CW, et al. Registry of gastric cancer treatment evaluation (REGATE) I: baseline disease characteristics. Asia Pac J Clin Oncol. 2013;10:38–52. https://doi.org/10.1111/ajco.12112.
Jung R, Young K, Park JO, et al. Elevated preoperative neutrophil to lymphocyte ratio predicts poor survival following resection in ate stage gastric cancer. J Surg Oncol. 2011;104:504–10.
Deng Q, He B, Liu X, et al. Prognostic value of pre-operative inflammatory response biomarkers in gastric cancer patients and the construction of a predictive model. J Transl Med. 2015;13:66.
Shimada H, Takiguchi N, Kainuma O, Soda H, Ikeda A, Cho A, et al. High preoperative neutrophil-lymphocyte ratio predicts poor survival in patients with gastric cancer. Gastric Cancer. 2010;13:170–6.
Kim EY, Lee JW, Yoo HM, Park CH, Song KY. The platelet-to lymphocyte ratio versus neutrophil-to-lymphocyte ratio: which is better as a prognostic factor in gastric cancer? Ann Surg Oncol. 2015;22:4363–70.
Lee S, Oh SY, Kim SH, Lee JH, Kim MC, Kim KH, et al. Prognostic significance of neutrophil lymphocyte ratio and platelet lymphocyte ratio in advanced gastric cancer patients treated with FOLFOX chemotherapy. BMC Cancer. 2013;13:350.
Sahin AG, Aydin C, Unver M, et al. Predictive value of preoperative neutrophil lymphocyte ratio in determining the stage of gastric tumor. Med Sci Monit. 2017;23:1973–9.
Azab B, Rivera MC, Taioli E. Average values and racial differences of neutrophil lymphocyte ratio among a nationally representative sample of United States subjects. PLoS One. 2014;9(11):e112361.
Musri FY, Mutlu H, Eryılmaz MK, et al. The neutrophil to lymphocyte ratio is an independent prognostic factor in patients with metastatic gastric cancer. Asian Pac J Cancer Prev. 2016;17(3):1309–12.
Wang F, Liu Z-Y, Xia Y-Y, et al. Changes in neutrophil/lymphocyte and platelet/lymphocyte ratios after chemotherapy correlate with chemotherapy response and prediction of prognosis in patients with unresectable gastric cancer. Oncol Lett. 2015;10:3411–8.
Yamanaka T, Matsumoto S, Teramukai S, Ishiwata R, Nagai Y, Fukushima M. The baseline ratio of neutrophils to lymphocytes is associated with patient prognosis in advanced gastric cancer. Oncol. 2007;73:215–20.
Author information
Authors and Affiliations
Corresponding author
Ethics declarations
Conflict of Interest
The authors declare that they have no conflict of interest.
Rights and permissions
About this article
Cite this article
Magdy, M., Hussein, T., Ezzat, A. et al. Pre-treatment Peripheral Neutrophil-Lymphocyte Ratio as a Prognostic Marker in Gastric Cancer. J Gastrointest Canc 50, 763–768 (2019). https://doi.org/10.1007/s12029-018-0144-x
Published:
Issue Date:
DOI: https://doi.org/10.1007/s12029-018-0144-x