Skip to main content

The FOUR Score Predicts Outcome in Patients After Traumatic Brain Injury

Abstract

Background

The most widely used and most studied coma score to date is the Glasgow Coma Scale (GCS), which is used worldwide to assess level of consciousness and predict outcome after traumatic brain injury (TBI). Our aim was to determine whether the Full Outline of UnResponsiveness (FOUR) score is an accurate predictor of outcome in TBI patients and to compare its performance to GCS.

Methods

We prospectively identified TBI patients admitted to our Neuro-ICU between July 2010 and February 2011. We enrolled 51 patients. The FOUR score and GCS were determined by one of the investigators. Outcomes were in-hospital mortality, and poor neurologic outcome (Glasgow Outcome Scale (GOS) 1–3 and Modified Rankin Scale (mRS) score 3–6) at 3–6 months.

Results

There was a high degree of internal consistency for both the FOUR score (Cronbach’s alpha = 0.89) and GCS (Cronbach’s alpha = 0.85). In terms of predictive power for in-hospital mortality, the area under the receiver operating characteristic (ROC) curve was 0.93 for FOUR score and 0.89 for GCS. In terms of predictive power of poor neurologic outcome at 3–6 months, the area under the ROC curve was 0.85 for FOUR score and 0.83 for GCS as evidenced by GOS 1–3, and 0.80 for FOUR score and 0.78 for GCS as evidenced by mRS 3–6. The odds ratio (OR) for in-hospital mortality was 0.64 (0.46–0.88) from FOUR score and 0.63 (0.45–0.89) from GCS, for poor neurologic outcome was 0.67 (0.53–0.85) from FOUR score and 0.65 (0.51–0.83) from GCS for GOS, and was 0.71 (0.57–0.87) from FOUR score and 0.71 (0.57–0.87) from GCS for mRS.

Conclusion

The FOUR score is an accurate predictor of outcome in TBI patients. It has some advantages over GCS, such as all components of FOUR score but not GCS can be rated in intubated patients.

Introduction

Traumatic brain injury (TBI) is a major source of death and severe disability worldwide. In the USA alone, this type of injury causes 290,000 hospital admissions, 51,000 deaths, and 80,000 permanently disabled survivors [1, 2]. The most widely used and most studied coma scale to date is the Glasgow Coma Scale (GCS), first described by Teasdale and Jennett in 1974 and revised in 1976 with the addition of a sixth point in the motor response subscale for ‘‘withdrawal from painful stimulus’’ [3, 4]. The GCS was initially intended to assess level of consciousness after TBI in a neurosurgical intensive care unit (Neuro-ICU) [3]. The GCS was broadly accepted as an instrument to classify the severity of TBI because it was easy to use and reproducible. It was used to classify the severity of TBI as mild (GCS 13–15), moderate (GCS 9–12), and severe (GCS < 9) [5, 6]. Since then it has become the gold standard against which newer scales are compared. As a result, the GCS was incorporated into several scoring systems, like the APACHE II [7], the Simplified Acute Physiology Score (SAPS), and SAPSII [8], the Revised Trauma Score (RTS) [9], the Circulation, Respiration, Abdomen, Motor, Speech scale (CRAMS) [10], the Traumatic Injury Scoring System (TRISS) [11], and A Severity Characterization of Trauma (ASCOT) scale [12]. However, the reliability of GCS in predicting patient outcomes is unsatisfactory, especially with regard to the verbal component. As a result, Widjicks et al. published a new scoring system in 2005, the Full Outline of UnResponsiveness (FOUR) score, a newer scale, developed to provide a more comprehensive assessment [13]. The FOUR score includes additional information not assessed by the GCS like brainstem reflexes, visual tracking, breathing patterns, and respiratory drive [13] (Fig. 1). It is also more practical for evaluating critically ill intubated patients, as it does not depend on an evaluation of the verbal response. It has already been validated in various populations of comatose patients [1419].

Fig. 1
figure 1

Full Outline of UnResponsiveness (FOUR) score. Eye response: E4 eyelids open or opened, tracking, or blinking to command; E3 eyelids open but not tracking; E2 eyelids closed but open to loud voice; E1 eyelids closed but open to pain; and E0 eyelids remain closed with pain. Motor response: M4 thumbs-up, fist, or peace sign; M3 localizing to pain; M2 flexion response to pain; M1 extension response to pain; and M0 no response to pain or generalized myoclonus status. Brainstem reflexes: B4 pupil and corneal reflexes present; B3 one pupil wide and fixed; B2 pupil or corneal reflexes absent; B1 pupil and corneal reflexes absent; and B0 absent pupil, corneal, and cough reflex. Respiration pattern: R4 not intubated, regular breathing pattern; R3 not intubated, Cheyne-Stokes breathing pattern; R2 not intubated, irregular breathing; R1 breathes above ventilatory rate; and R0 breathes at ventilator rate or apnea

The aim of our study was to determine whether the FOUR score accurately predicts outcome in TBI patients and to compare its performance to the GCS in this patient population. We hypothesized that the accuracy of the FOUR score was at least as good as GCS in predicting outcome in TBI patients, that is easy to score and that it has some advantages over GCS.

Methods

We prospectively identified TBI patients admitted to our Neuro-ICU between July 2010 and February 2011. This is a 16 bed Neuro-ICU in a large university-affiliated level I Trauma hospital with subspecialty residency in critical care medicine. The Neuro-ICU is staffed by Intensivists (board certified by the American Board of Internal Medicine in Internal medicine and Critical Care Medicine and certified by the United Council of Neurologic Subspecialties in Neurocritical care) 24 h/day. Spinal cord injury patients were excluded. The FOUR score and the GCS were determined by one of the investigators (DP) within 15 min apart. Scoring was done within the first 24 h of admission to the Neuro-ICU. When feasible, patients were examined in the absence of effects of sedative medications. Patients were excluded if they were heavily sedated, precluding the examiner from obtaining FOUR or GSC scores. Outcomes were in-hospital mortality, and poor neurologic outcome (Modified Rankin Scale (mRS) score 3–6 and Glasgow Outcome Scale (GOS) 1–3) at 3–6 months (Table 1). The long-term functional outcome was measured at 3–6 months using mRS [20]. Functional outcome was dichotomized, poor versus good, based on the mRS at 3–6 months. Poor outcome was defined as mRS 3–6 (Table 1). The long-term neurologic outcome was scored according to the five-category GOS [21] at same time point of 3–6 months for each patient. Poor outcome was defined as GOS 1–3 (Table 1). The 3–6 month outcomes were determined through a telephone survey by an investigator who is blinded to the patients’ data and scores. Both mRS and GOS were used for outcome prediction because TBI patients have other associated injuries that may affect these two outcomes differently (Table 1). This study was approved by the Institutional Review Board at St. John’s Mercy Medical Center with waiver of written informed consent.

Table 1 Definitions of mRS and GOS

Statistical Analysis

Cronbach α was calculated for each score as an assessment of internal consistency, and Spearman correlation coefficients were calculated between the FOUR score and the GCS score as an assessment of construct validity. The sensitivity and specificity of the total FOUR score and the total GCS score in predicting in-hospital mortality and morbidity were compared by a logistic regression model controlling for age, and gender. The area under the receiver operating characteristic curve was calculated for each model. The association between the outcomes of interest (in-hospital death, a mRS of 3–6, and Glasgow outcome score of 1–3) and the total scores (FOUR score, GCS score) was displayed graphically by scatter plots with superimposed curves representing logistic regression probabilities and 95% confidence limits.

Results

A total of 51 patients were enrolled. Mean age was 58 years (range 18–87). Patient characteristics are summarized in Table 2. The diagnosis of TBI included intracranial bleeding/contusions (n = 27), subarachnoid hemorrhage (n = 27), subdural hematoma (n = 24), concussion (n = 5), and epidural hematoma (n = 2). Five patients had more than 5 mm midline shift diagnosed by brain imaging. Other associated injuries included lung contusions (n = 15), rib fractures (n = 12), facial bone fractures (n = 10), spinal fractures (n = 8), pneumothorax/pneumomediastinum (n = 7), and pelvic/lower extremity fractures (n = 7).

Table 2 Patient’s characteristics at the time of enrollment

The distribution of all ratings of the FOUR score and the GCS score is shown in Figs. 2 and 3. There was a high degree of internal consistency for both the FOUR score (Cronbach’s alpha = 0.89) and GCS score (Cronbach’s alpha = 0.85). Spearman correlation coefficient for the FOUR score and the GCS score was high (P = 0.97).

Fig. 2
figure 2

Distribution of total FOUR scores and scores for eye response, motor response, brainstem reflexes, and respiration pattern

Fig. 3
figure 3

Distribition of total GCS scores and scores for eye response, motor response, and verbal response

Functional and neurologic outcome were poor in 15 patients as evidenced by a mRS of 3–6 and GOS of 1–3. Four patients died. For every 1-point increase in the total FOUR score, the odds of in-hospital mortality were reduced by an estimated 36% (odds ratio, 0.64; 95% confidence interval (CI), 0.46–0.89) (Table 3). Every 1-point increase in the total FOUR score was associated with a 29% reduction in the odds of a poor functional outcome, as defined by a mRS of 3–6. Similarly, every 1-point increase in the total FOUR score was associated with a 33% reduction in the odds of a poor neurologic outcome, as defined by a GOS of 1–3. All of these associations remained statistically significant after the analyses were adjusted for age and gender (Table 3).

Table 3 Comparison of predictions of outcome (In-hospital mortality, mRS of 3–6 and GOS 1–3) by the FOUR score and the GCS Score

Similarly, on the unadjusted model, each 1-point increase in the total GCS score was associated with an estimated 37% reduction in the odds of in-hospital mortality. Each 1-point increase in the GCS score was associated with a 29% reduction in the odds of a poor functional outcome, as defined by a mRS of 3–6. In a similar fashion, every 1-point increase in the total GCS score was associated with a 35% reduction in the odds of a poor neurologic outcome, as defined by a GOS of 1–3. These associations also persisted after the analyses were adjusted for age and gender (Table 3).

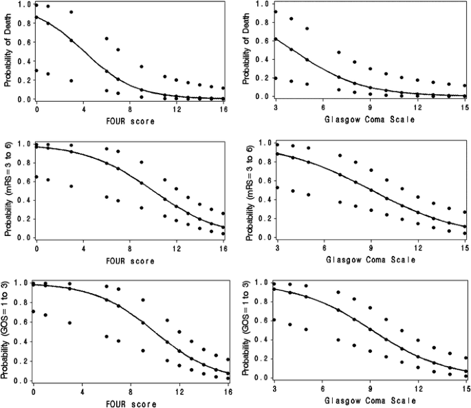
We charted the receiver operating characteristic curves (ROC) to compare the predictive power of the 2 scales for in-hospital death and poor functional and neurologic outcome. In terms of predictive power for in-hospital mortality, the area under the ROC curve was 0.93 for FOUR score and 0.89 for GCS. In terms of predictive power of poor functional and neurologic outcome at 3–6 months, the area under the ROC curve was 0.80 for FOUR score and 0.78 for GCS as evidenced by mRS 3–6, and was 0.85 for FOUR score and 0.83 for GCS as evidenced by GOS 1–3. The association between the outcome and the total score can be further shown by the use of scatter plots with superimposed curves representing logistic regression probabilities and 95% confidence limits (Fig. 4).

Fig. 4
figure 4

Scatter plots with superimposed local regression smoothers and 95% confidence intervals showing association of the Full Outline of UnResponsiveness (FOUR) score and the Glasgow Coma Scale (GCS) score with mortality and morbidity (defined as a Modified Rankin Scale [mRS] score of 3–6 and Glasgow Coma Scale [GOS] of 1–3)

Discussion

This prospective study shows that the FOUR score coma scale has a high degree of internal consistency, and is an accurate predictor of mortality and neurologic outcome in TBI patients cared for in the neurosurgical intensive care unit.

Widjicks et al. proposed the FOUR score coma scale in order to measure impaired consciousness and overcome some of the shortcomings of the GCS [13]. Wijdicks et al. criticized GCS in that it lacks the ability to identify subtle changes in alteration of consciousness. The FOUR score assesses four variables: eye response, motor response, brainstem reflexes, and respiration pattern (Fig. 1). The acronym also reflects the number of categories and the maximum number of potential points in each category, making it fairly simple to use and remember. In addition, the FOUR score is superior to the GCS in that it can account for the intubated patient without substituted or guessed scores. The FOUR score can also identify a locked-in state, and detect the presence of a vegetative state, whereas the GCS cannot. Furthermore, the FOUR score adds to the eye opening of the GCS by testing eye tracking, thus incorporating midbrain and pontine functions. This allows the examiner to even localize lesions.

Another advantage for the FOUR score is that it gives all components equal weight, making it linear which is ideal for a coma scale. The GCS score on the other hand is skewed toward motor responses. Because of the above, we found that the FOUR score is easier and faster to perform and easier to communicate to other care providers than the GCS score.

Our study has some limitations. We did not evaluate the interrater reliability of the FOUR score, however, this has already been proven in several studies, among neuroscience nurses, neurology residents, and neurointensivists [1416]. Our study population may not have included enough severely injured patients, as the in-hospital mortality was 7.8%. Also, a smaller proportion of our patients had GCS < 9 (n = 8), versus, GSC of 9–12 (n = 12), and GCS 13–15 (n = 31). However, our patient population is not much different from other studies. Dombovy and Olek had similar proportions in their study (GCS < 9, 22%; GCS 9–12, 26%; and GCS 13–15, 52%) with an outcome similar to our population (23 vs. 28.9%) [22]. This also reflects the difficulty of carrying such a study on TBI patients, since we had to exclude 14 patients because they were heavily sedated in this early period of head injury, and thus we were unable to obtain FOUR or GCS accurately. GCS and FOUR scores were determined within 24 h of admission to the ICU by only one investigator and the scores were determined off sedation “when feasible”. This may have introduced selection bias. However, a significant proportion (28.9%) of our patients ended up with poor functional and neurologic outcome suggesting that our patient population is representative of TBI patients admitted to the intensive care unit [22]. In a recent review on coma scales, Kornbluth et al. recognized one potential flaw in that up until recently the FOUR score had only been validated at the Mayo Clinic [23]. Our study is a successful attempt to overcome this limitation and this is a notable strength of this study.

Conclusion

The FOUR score is an accurate predictor of outcome in TBI patients. It is easy to learn, remember, and administer. It has some advantages over GCS, such as all its components can be rated in intubated patients, gives all components equal weight, and allows the examiner to localize lesions and diagnose a locked-in state. Further work needs to be done in other institutions and with other patient populations before FOUR score can be endorsed as a standard scale for outcome prediction.

References

  1. Ghajar J. Traumatic brain injury. Lancet. 2000;356:923–9.

    PubMed  Article  CAS  Google Scholar 

  2. Rutland-Brown W, Langlois JA, Thomas KE, Xi YL. Incidence of traumatic brain injury in the United States, 2003. J Head Trauma Rehabil. 2006;21:544–8.

    PubMed  Article  Google Scholar 

  3. Teasdale G, Jennett B. Assessment of coma and impaired consciousness. A practical scale. Lancet. 1974;2:81–4.

    PubMed  Article  CAS  Google Scholar 

  4. Teasdale GM, Jennett B. Assessment and prognosis of coma after head injury. Acta Neurochir. 1976;34:45–55.

    Article  CAS  Google Scholar 

  5. Rimel RW, Giordani NP, Barth JT, Jane JJ. Moderate head injury: completing the spectrum of brain trauma. Neurosurgery. 1982;11:344–51.

    PubMed  Article  CAS  Google Scholar 

  6. Rimel RW, Jane JA, Edlich RF. An injury severity scale for comprehensive management of central nervous system trauma. JACEP. 1979;8:64–7.

    PubMed  CAS  Google Scholar 

  7. Knaus WA, Draper EA, Wagner DP, Zimmerman JE. APACHE II: a severity of disease classification system. Crit Care Med. 1985;13:818–29.

    PubMed  Article  CAS  Google Scholar 

  8. Le Gall JR, Lemeshow S, Saulnier F. A new Simplified Acute Physiology Score (SAPS II) based on a European/North American multicenter study. JAMA. 1993;270:2957–63.

    PubMed  Article  CAS  Google Scholar 

  9. Champion HR, Sacco WJ, Copes WS, Gann DS, Gennarelli TA, Flannagan ME. A revision of the trauma score. J Trauma. 1989;29:623–9.

    PubMed  Article  CAS  Google Scholar 

  10. Gormican SP. CRAMS scale: field triage of trauma victims. Ann Emerg Med. 1982;11:132–5.

    PubMed  Article  CAS  Google Scholar 

  11. Boyd CR, Tolson MA, Copes WS. Evaluating trauma care: the TRISS method. Trauma score and the injury severity score. J Trauma. 1987;27:370–8.

    PubMed  Article  CAS  Google Scholar 

  12. Champion HR, Copes WS, Sacco WJ, Frey CF, Holcroft JW, Hoyt DB, Weigelt JA. Improved predictions from a severity characterization of trauma (ASCOT) over Trauma and Injury Severity Score (TRISS): results of an independent evaluation. J Trauma. 1996;40:42–8. discussion 48–9.

    Google Scholar 

  13. Wijdicks EF, Bamlet WR, Maramattom BV, Manno EM, McClelland RL. Validation of a new coma scale: the FOUR score. Ann Neurol. 2005;58(4):585–93.

    PubMed  Article  Google Scholar 

  14. Iyer VN, Mandrekar JN, Danielson RD, Zubkov AY, Elmer JL, Wijdicks EF. Validity of the FOUR score coma scale in the medical intensive care unit. Mayo Clin Proc. 2009;84(8):694–701.

    PubMed  Article  Google Scholar 

  15. Stead LG, Wijdicks EF, Bhagra A, et al. Validation of a new coma scale, the FOUR score, in the emergency department. Neurocrit Care. 2009;10(1):50–4.

    PubMed  Article  Google Scholar 

  16. Wolf CA, Wijdicks EF, Bamlet WR, McClelland RL. Further validation of the FOUR score coma scale by intensive care nurses. Mayo Clin Proc. 2007;82(4):435–8.

    PubMed  Article  Google Scholar 

  17. Fugate JE, Rabinstein AA, Claassen DO, White RD, Wijdicks EF. The FOUR score predicts outcome in patients after cardiac arrest. Neurocrit Care. 2010;13(2):205–10.

    PubMed  Article  Google Scholar 

  18. Weiss N, Mutlu G, Essardy F, Nacabal C, Sauves C, Bally C, Houbert M, Lecorre C, Germack V, Demeret S, Pierrot-Deseilligny C, Bolgert F. The French version of the FOUR score: a new coma score. Rev Neurol. 2009;165:796–802.

    PubMed  Article  CAS  Google Scholar 

  19. Akavipat P. Endorsement of the FOUR score for consciousness assessment in neurosurgical patients. Neurol Med Chir. 2009;49:565–71.

    Article  Google Scholar 

  20. Van Swieten J, Koudstaal P, Visser M, Schouten H, van Gijn J. Interobserver agreement for the assessment of handicap in stroke patients. Stroke. 1988;19(5):604–7.

    PubMed  Article  Google Scholar 

  21. Jennett B, Bond M. Assessment of outcome after severe brain damage. Lancet. 1975;1:480–4.

    PubMed  Article  CAS  Google Scholar 

  22. Dombovy ML, Olek AC. Recovery and rehabilitation following traumatic brain injury. Brain Inj. 1997;11(5):305–18.

    PubMed  Article  CAS  Google Scholar 

  23. Kornbluth J, Bhardwaj A. Evaluation of coma: a critical appraisal of popular scoring systems. Neurocrit Care. 2011;14(1):134–43.

    PubMed  Article  Google Scholar 

Download references

Acknowledgments

The authors would like to acknowledge Edward Spitznagel, PhD for his statistical support.

Disclosures

This study was not sponsored. None of the authors have anything to disclose.

Author information

Affiliations

Authors

Corresponding author

Correspondence to Farid Sadaka.

Rights and permissions

Reprints and Permissions

About this article

Cite this article

Sadaka, F., Patel, D. & Lakshmanan, R. The FOUR Score Predicts Outcome in Patients After Traumatic Brain Injury. Neurocrit Care 16, 95–101 (2012). https://doi.org/10.1007/s12028-011-9617-5

Download citation

  • Published:

  • Issue Date:

  • DOI: https://doi.org/10.1007/s12028-011-9617-5

Keywords

  • Coma
  • Traumatic brain injury
  • Full Outline of UnResponsiveness (FOUR) score
  • Glasgow coma scale