Abstract
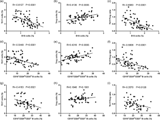
The aim of the present study was to examine the role and mechanism of interleukin-10 (IL-10)-producing regulatory B cells (B10 cells) in the pathogenesis of Henoch-Schönlein purpura nephritis (HSPN). We examined the percentage of B10 cells, CD19+CD24hiCD38hi B cells, CD19+CD24hiCD27+ B cells, Th17 cells, and T regulatory (Treg) cells within the peripheral blood mononuclear cell (PBMC) population in healthy subjects and HSP/HSPN patients. The percentage of B10 cells and CD19+CD24hiCD38hi B cells was reduced in HSPN patients and that of CD19+CD24hiCD27+ B cells was decreased only in HSPN patients with hematuria and proteinuria or massive proteinuria. The expression of IL-10 by B10 cells and their subsets was decreased in HSPN patients and returned to normal levels in HSP/HSPN patients in remission. B10 cells and their subsets negatively correlated with the Th17/Treg ratio. There was no difference in B10pro + B10 cells, Th17 cells, Treg cells, and the Th17/Treg ratio between children with HSP/HSPN and healthy controls after CD40L stimulation. On the other hand, the level of IL-10 expressed by CD19+CD40+ B cells was decreased in HSPN, and the percentage of B10pro + B10 cells and Treg cells was reduced and that of Th17 cell was increased in the presence of anti-CD40L monoclonal antibody (mAb). Thus, decreased B10 cells and CD19+CD24hiCD38hi B cells may function as an early marker of renal impairment in HSPN. The dysfunction of B10 cells may play a role in the pathogenesis of HSPN by regulating the Th17/Treg balance. Moreover, the CD40/CD40L signaling pathway may play a role in B10 cell differentiation and functional maturation.





References
Calvino MC, Llorca J, Garcia-Porrua C, Fernandez-Iglesias JL, Rodriguez-Ledo P, Gonzalez-Gay MA. Henoch-Schonlein purpura in children from northwestern Spain: a 20-year epidemiologic and clinical study. Medicine (Baltimore). 2001;80:279–90.
Chang H, Yu DS, Liu XQ, Zhang QY, Cheng N, Zhang SQ, Qu ZH. Clinical significance of TLR3 and TLR4 in peripheral blood mononuclear cells from children with Henoch-Schönlein purpura nephritis. Exp Ther Med. 2014;7:1703–7.
Mir S, Yavascan O, Mutlubas F, Yeniay B, Sonmez F. Clinical outcome in children with Henoch-Schönlein nephritis. Pediatr Nephrol. 2007;22:64–70.
Xia Y, Mao J, Chen Y, Wang D, Cao L, Yao S, Fu H, Du L, Liu A. Clinical outcomes in children with Henoch-Schönlein purpura nephritis grade IIIa or IIIb. Pediatr Nephrol. 2011;26:1083–8.
González LM, Janniger CK, Schwartz RA. Pediatric Henoch-Schönlein purpura. Int J Dermatol. 2009;48:1157–65.
Pohl M. Henoch-Schönlein purpura nephritis. Pediatr Nephrol. 2015;30:245–52.
Saulsbury FT. Henoch-Schönlein purpura in children. Reports of 100 patients and review of theliterature. Medicine (Baltimore). 1999;78:395–409.
Jen HY, Chuang YH, Lin SC, Chiang BL, Yang YH. Increased serum interleukin-17 and peripheral Th17 cells in children with acute Henoch-Schönlein purpura. Pediatr Allergy Immunol. 2011;22:862–8.
Yang YH, Chuang YH, Wang LC, Huang HY, Gershwin ME, Chiang BL. The immunobiology of Henoch-Schönlein purpura. Autoimmun Rev. 2008;7:179–84.
Li YY, Li CR, Wang GB, Yang J, Zu Y. Investigation of the change in CD4+ T cell subset in children with Henoch-Schonlein purpura. Rheumatol Int. 2012;32:3785–92.
Yang J, Li CR, Wang GB, Huang HJ, Zu Y, Li YB. Role of Th17 cell and CD4+CD25+regulatory T cells in pathogenesis of Henoch-Schonlein purpura in children. J Clin Pediatr. 2009;27:645–8.
Chen O, Zhu XB, Ren H, Wang YB, Sun R. The imbalance of Th17/Treg in Chinese children with Henoch-Schonlein purpura. Int Immunopharmacol. 2013;16:67–71.
Sinha A, Bagga A. Nephrotic syndrome. Indian J Pediatr. 2012;79:1045–55.
LeBien TW, Tedder TF. B-lymphocytes: how they develop and function. Blood. 2008;112:1570–80.
Yanaba K, Kamata M, Asano Y, Tada Y, Sugaya M, Kadono T, Tedder TF, Sato S. CD19 expression in B cells regulates atopic dermatitis in a mouse model. Am J Pathol. 2013;182:2214–22.
Carter NA, Rosser EC, Mauri C. Interleukin-10 produced by B cells is crucial for the suppression of Th17/Th1 responses, induction of T regulatory type 1 cells and reduction of collagen-induced arthritis. Arthritis Res Ther. 2012;14(1):R32.
Anolik JH, Barnard J, Owen T, Zheng B, Kemshetti S, Looney RJ, Sanz I. Delayed memory B cell recovery in peripheral blood and lymphoid tissue in systemic lupus erythematosus after B cell depletion therapy. Arthritis Rheum. 2007;56:3044–56.
Mauri C, Gray D, Mushtaq N, Londei M. Prevention of arthritis by interleukin 10-producing B cells. J Exp Med. 2003;197:489–501.
Correale J, Farez M, Razzitte G. Helminth infections associated with multiple sclerosis induce regulatory B cells. Ann Neurol. 2008;64:187–99.
Iwata Y, Matsushita T, Horikawa M, Dilillo DJ, Yanaba K, Venturi GM, et al. Characterization of a rare IL-10-competent B-cell subset in humans that parallels mouse regulatory B10 cells. Blood. 2011;117:530–41.
Flores-Borja F, Bosma A, Ng D, Reddy V, Ehrenstein MR, Isenberg DA, Mauri C. CD19+CD24hiCD38hi B cells maintain regulatory T cells while limiting TH1 and TH17 differentiation. Sci Transl Med. 2013;5:173ra123.
Blair PA, Norena LY, Flores-Borja F, Rawlings DJ, Isenberg DA, Ehrenstein MR, Mauri C. CD19(+)CD24(hi)CD38(hi) B cells exhibit regulatory capacity in healthy individuals but are functionally impaired in systemic lupus erythematosus patients. Immunity. 2010;32:129–40.
Liu BS, Cao Y, Huizinga TW, Hafler DA, Toes RE. TLR-mediated STAT3 and ERK activation controls IL-10 secretion by human B cells. Eur J Immunol. 2014;44:2121–9.
Ozen S, Ruperto N, Dillon MJ, et al. EULAR/PReS endorsed consensus criteria for the classification of childhood vasculitides. Ann Rheum Dis. 2006;65:936–41.
Sumimoto K, Uchida K, Kusuda T, Mitsuyama T, Sakaguchi Y, Fukui T, Matsushita M, Takaoka M, Nishio A, Okazaki K. The role of CD19+ CD24high CD38high and CD19+ CD24high CD27+ regulatory B cells in patients with type 1 autoimmune pancreatitis. Pancreatology. 2014;14:193–200.
Du HQ, Zhang X, An YF, Ding Y, Zhao XD. Effects of Wiskott-Aldrich syndrome protein deficiency on IL-10-producing regulatory B cells in humans and mice. Scand J Immunol. 2015;81:483–93.
Yanaba K, Bouaziz JD, Haas KM, Poe JC, Fujimoto M, Tedder TF. A regulatory B cell subset with a unique CD1dhiCD5+ phenotype controls T cell-dependent inflammatory responses. Immunity. 2008;28:639–50.
Yang M, Deng J, Liu Y, Ko KH, Wang X, Jiao Z, Wang S, Hua Z, Sun L, Srivastava G, Lau CS, Cao X, Lu L. IL-10-producing regulatory B10 cells ameliorate collagen-induced arthritis via suppressing Th17 cell generation. Am J Pathol. 2012;180:2375–85.
Gu Y, Yang J, Ouyang X, Liu W, Li H, Yang J, Bromberg J, Chen SH, Mayer L, Unkeless JC, Xiong H. Interleukin 10 suppresses Th17 cytokines secreted by macrophages and T cells. Eur J Immunol. 2008;38:1807–13.
Matsushita T, Yanaba K, Bouaziz JD, Fujimoto M, Tedder TF. Regulatory B cells inhibit EAE initiation in mice while other B cells promote disease progression. J Clin Invest. 2008;118:3420–30.
Hoehlig K, Shen P, Lampropoulou V, Roch T, Malissen B, O’Connor R, Ries S, Hilgenberg E, Anderton SM, Fillatreau S. Activation of CD4+Foxp3+regulatory T cells proceeds normally in the absence of B cells during EAE. Eur J Immunol. 2012;42:1164–73.
Carter NA, Vasconcellos R, Rosser EC, Tulone C, Muñoz-Suano A, Kamanaka M, Ehrenstein MR, Flavell RA, Mauri C. Mice lacking endogenous IL-10-producing regulatory B cells develop exacerbated disease and present with an increased frequency of Th1/Th17 but a decrease in regulatory T cells. J Immunol. 2011;186:5569–79.
Amu S, Saunders SP, Kronenberg M, Mangan NE, Atzberger A, Fallon PG. Regulatory B cells prevent and reverse allergic airway inflammation via Foxp3-positive T regulatory cells in a murine model. J Allergy Clin Immunol. 2010;125:1114–24.
Sun JB, Flach CF, Czerkinsky C, Holmgren J. B lymphocytes promote expansion of regulatory T cells in oral tolerance: powerful induction by antigen coupled to cholera toxin B subunit. J Immunol. 2008;181:8278–87.
Sayi A, Kohler E, Toller IM, Flavell RA, Müller W, Roers A, Müller A. TLR-2-activated B cells suppress Helicobacter-induced preneoplastic gastric immunopathology by inducing T regulatory-1 cells. J Immunol. 2011;186:878–90.
Mizoguchi A, Bhan AK. A case for regulatory B cells. J Immunol. 2006;176:705–10.
Mizoguchi A, Mizoguchi E, Takedatsu H, Blumberg RS, Bhan AK. Chronic intestinal inflammatory condition generates IL-10-producing regulatory B cell subset characterized by CD1d upregulation. Immunity. 2002;16:219–30.
Kleffel S, Vergani A, Tezza S, Ben Nasr M, Niewczas MA, Wong S, Bassi R, D’Addio F, Schatton T, Abdi R, Atkinson M, Sayegh MH, Wen L, Wasserfall CH, O’Connor KC, Fiorina P. Interleukin-10+ regulatory B cells arise within antigen-experienced CD40+ B cells to maintain tolerance to islet autoantigens. Diabetes. 2015;64:158–71.
Kamei K, Ogura M, Sato M, Ito S, Ishikura K. Evolution of IgA nephropathy into anaphylactoid purpura in six cases—further evidence that IgA nephropathy and Henoch-Schonlein purpura nephritis share common pathogenesis. Pediatr Nephrol. 2016;31:779–85.
Lin FJ, Jiang GR, Shan JP, Zhu C, Zou J, Wu XR. Imbalance of regulatory T cells to Th17 cells in IgA nephropathy. Scand J Clin Lab Invest. 2012;72:221–9.
Zhang X, Wu X, Xiong L, Yi Z, He Q, He X, Mo S. Role of vitamin D3 in regulation of T helper cell 17 and regulatory T-cell balance in rats with immunoglobulin a nephropathy. Iran J Kidney Dis. 2014;8:363–70.
Wang YY, Zhang L, Zhao PW, Ma L, Li C, Zou HB, Jiang YF. Function implications of regulatory B cells in human IgA nephropathy. Scand J Immunol. 2014;79:51–60.
Acknowledgment
This work was supported by the National Natural Science Foundation of China (Grant No. 81470946). We thank the patients, donors, and their families for their cooperation. We also thank Professors Guo-Bing Wang and Hong-Qiang Du for help with flow cytometry.
Author information
Authors and Affiliations
Corresponding authors
Ethics declarations
Conflict of interest
The authors declare that they have no conflict of interest.
Ethical approval
All procedures performed in studies involving human materials were in accordance with the ethical standards of the institutional and national research committee and with the 1964 Helsinki Declaration and its later amendments or comparable ethical standards. This article does not contain any studies with animals performed by any of the authors.
Rights and permissions
About this article
Cite this article
Yang, B., Tan, X., Xiong, X. et al. Effect of CD40/CD40L signaling on IL-10-producing regulatory B cells in Chinese children with Henoch-Schönlein purpura nephritis. Immunol Res 65, 592–604 (2017). https://doi.org/10.1007/s12026-016-8877-8
Published:
Issue Date:
DOI: https://doi.org/10.1007/s12026-016-8877-8