Abstract
Purpose
A key component of effective diabetes care is understanding patients’ perceptions about diabetes management. Patients’ attitudes and intentions towards taking medical advice may predict the outcomes for effective diabetes care. This study aims to measure participants’ attitudes, beliefs and intentions towards following medical advice to manage their diabetes using the Theory of Planned Behaviour (TPB). The domains of the TPB are correlated with clinical measures of diabetes to determine if these attitudes and intentions are predictive of better diabetes control.
Methods
A pilot study was conducted. A 34-item survey was designed using the Theory of Planned Behaviour (TPB) framework and administered via mail by four general practice clinics. Included participants (N = 104; response rate 29.5%) had a diagnosis of type 2 diabetes and were taking medication for glycaemic control. Scores for each domain of the TPB survey were correlated with participants’ clinical indicators for diabetes: HbA1c, blood pressure, lipid profile, cholesterol, and kidney health (eGFR and albumin: creatinine ratio) and BMI.
Results
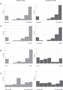
Participants surveyed generally reported positive attitudes and intention to follow medical advice. Medical advice was perceived to be beneficial and useful by the majority. However, in general, there was no correlation between positive intentions and improved clinical indicators of disease. Clinical indicators did not improve with duration of illness. The burden of illness is likely a mitigating factor for positive intention as participants perceive medical advice as difficult and inconvenient to follow.
Conclusions
Patients’ individual capacity to implement medical advice should be addressed in shared-decision making models to potentially improve patient outcomes towards therapeutic targets.

Data availability
The data that support the findings of this study are available from the corresponding author, [MJ], upon reasonable request.
References
Légaré F., Adekpedjou R., Stacey D., Turcotte S., Kryworuchko J., Graham I. D., et al. Interventions for increasing the use of shared decision making by healthcare professionals. Cochrane Database of Systematic Reviews. 2018(7). https://doi.org/10.1002/14651858.CD006732.pub4
Deed G., Ackermann E., Arthur I., Barlow J., Jagadeesan S., Kawol D., et al. General Practice Management of Type 2 Diabetes: 2016–18. Royal Australian College of General Practitioners (RACGP); 2016. https://www.racgp.org.au/FSDEDEV/media/documents/Clinical%20Resources/Guidelines/Diabetes/General-practice-management-of-type-2-diabetes_1.pdf Accessed 9 Feb 2021
W.H. Polonsky, R.R. Henry, Poor medication adherence in type 2 diabetes: recognizing the scope of the problem and its key contributors. Patient Prefer Adherence 10, 1299 (2016). https://doi.org/10.2147/PPA.S106821
L. Guenette, M.-C. Breton, L. Guillaumie, S. Lauzier, J.-P. Gregoire, J. Moisan, Psychosocial factors associated with adherence to non-insulin antidiabetes treatments. J. Diabet. Complications 30(2), 335–342 (2016). https://doi.org/10.1016/j.jdiacomp.2015.10.016
K. Martinez, S. Lockhart, M. Davies, J.R. Lindsay, M. Dempster, Diabetes distress, illness perceptions and glycaemic control in adults with type 2 diabetes. Psychol. Health Med. 23(2), 171–177 (2018). https://doi.org/10.1080/13548506.2017.1339892
S.T. de Vries, J.C. Keers, R. Visser, D. de Zeeuw, F.M. Haaijer-Ruskamp, J. Voorham et al. Medication beliefs, treatment complexity, and non-adherence to different drug classes in patients with type 2 diabetes. J. Psychosom. Res. 76(2), 134–138 (2014). https://doi.org/10.1016/j.jpsychores.2013.11.003
N. Nanayakkara, A. Pease, S. Ranasinha, N. Wischer, S. Andrikopoulos, J. Speight et al. Depression and diabetes distress in adults with type 2 diabetes: results from the Australian National Diabetes Audit (ANDA) 2016. Sci. Rep. 8(1), 7846 (2018)
D. Stiffler, D. Cullen, G. Luna, Diabetes barriers and self-care management: the patient perspective. Clin. Nurs. Res. 23(6), 601–626 (2014). https://doi.org/10.1177/1054773813507948
Wens J., Vermeire E., Van Royen P., Sabbe B., Denekens J., Practitioners’ perspectives of type 2 diabetes patients’ adherence to treatment: a qualitative analysis of barriers and solutions. BMC Fam. Pract. 2005;6. https://doi.org/10.1186/1471-2296-6-20
A. Wollny, M. Pentzek, O.R. Herber, H.-H. Abholz, J. in der Schmitten, A. Icks et al. General practitioners’ attitudes towards patients with poorly controlled type 2 diabetes: a qualitative study. BMC Fam. Pract. 19(1), 49 (2018). https://doi.org/10.1186/s12875-018-0751-4
A. Ågård, V. Ranjbar, S. Strang, Diabetes in the shadow of daily life: factors that make diabetes a marginal problem. Pract. Diabetes 33(2), 49–53 (2016). https://doi.org/10.1002/pdi.2000
E.A. Beverly, L.A. Wray, C.L. LaCoe, R.A. Gabbay, Listening to older adults’ values and preferences for Type 2 diabetes care: a qualitative study. Diabetes Spectrum 27(1), 44–49 (2014). https://doi.org/10.2337/diaspect.27.1.4410.2337/diaspect.27.1.44
Cotugno J. D., Ferguson M., Harden H., Colquist S., Stack A. A., Zimmerman J. I., et al. “I wish they could be in my shoes”: patients’ insights into tertiary health care for type 2 diabetes mellitus. Patient Prefer Adherence.9:1647-1655. https://doi.org/10.2147/PPA.S91214.
F. Brundisini, M. Vanstone, D. Hulan, D. DeJean, M. Giacomini, Type 2 diabetes patients’ and providers’ differing perspectives on medication nonadherence: a qualitative meta-synthesis. BMC Health Serv. Res. 15, 516 (2015). https://doi.org/10.1186/s12913-015-1174-8
Ajzen I. From intentions to actions: a theory of planned behavior. In: Kuhl J., Beckmann J. (eds) Action Control. SSSP Springer Series in Social Psychology. Springer, Berlin, Heidelberg. https://doi.org/10.1007/978-3-642-69746-3_2
A. Rich, K. Brandes, B. Mullan, M.S. Hagger, Theory of planned behavior and adherence in chronic illness: a meta-analysis. J. Behav. Med. 38(4), 673–688 (2015). https://doi.org/10.1007/s10865-015-9644-3
M. Gao, X. Chen, X. Sun, F. Wang, L. Fan, X. Sun, Predicting stage of exercise among patients with Type 2 diabetes: a test of the extended theory of planned behavior. Patient Prefer Adherence 14, 277–285 (2020). https://doi.org/10.2147/PPA.S236813
F.F. Jannuzzi, R.C.M. Rodrigues, M.E. Cornélio, T.M. São-João, M.C.B.J. Gallani, Beliefs related to adherence to oral antidiabetic treatment according to the Theory of Planned Behavior. Rev. Lat. Am. Enfermagem. 22(4), 529–537 (2014). https://doi.org/10.1590/0104-1169.3578.2448
A. Kagee, M. Van der Merwe, Predicting treatment adherence among patients attending primary health care clinics: The utility of the Theory of Planned Behaviour. South African J. of Psychol. 36(4), 699–714 (2006). https://doi.org/10.1177/008124630603600404
Francis J., Eccles M. P., Johnston M., Walker A., Grimshaw J. M., Foy R., et al. Constructing questionnaires based on the theory of planned behaviour: A manual for health services researchers. Centre for Health Services Research, University of Newcastle upon Tyne; 2004. https://openaccess.city.ac.uk/id/eprint/1735
S. Zoungas, M. Woodward, Q. Li, M.E. Cooper, P. Hamet, S. Harrap et al. Impact of age, age at diagnosis and duration of diabetes on the risk of macrovascular and microvascular complications and death in type 2 diabetes. Diabetologia 57(12), 2465–2474 (2014). https://doi.org/10.1007/s00125-014-3369-7
S. Spenceley, B. Williams, Self care from the perspective of people living with diabetes. Can. J. Nurs. Res. 38(3), 124–145 (2006)
W.H. Polonsky, L. Fisher, J. Earles, R.J. Dudl, J. Lees, J. Mullan et al. Assessing psychosocial distress in diabetes: development of the diabetes distress scale. Diabetes Care 28(3), 626–631 (2005). https://doi.org/10.2337/diacare.28.3.626
N. Nanayakkara, A. Pease, S. Ranasinha, N. Wischer, S. Andrikopoulos, B. de Courten et al. Younger people with Type 2 diabetes have poorer self‐care practices compared with older people: results from the Australian National Diabetes Audit. Diabet. Med. 35(8), 1087–1095 (2018). https://doi.org/10.1111/dme.13660
Australian Institute of Health and Welfare. Diabetes. Web report. 2020 Available from https://www.aihw.gov.au/reports/diabetes/diabetes-snapshot/contents/how-many-australians-have-diabetes/type-2-diabetes
B. Rushforth, C. McCrorie, L. Glidewell, E. Midgley, R. Foy, Barriers to effective management of type 2 diabetes in primary care: qualitative systematic review. Brit. J. Gen. Pract. 66(643), e114 (2016). https://doi.org/10.3399/bjgp16X683509
Sainsbury E., Shi Y., Flack G., Colagiuri S. Burden of diabetes in Australia: its time for more action. Preliminary report. University of Sydney. 2018. Available from https://www.sydney.edu.au/content/dam/corporate/documents/faculty-of-medicine-and-health/research/centres-institutes-groups/burden-of-diabetes-its-time-for-more-action-report.pdf
MedCalc. MedCalc Easy to use statistical software: MedCalc Software Ltd; 2020 Available from: https://www.medcalc.org/calc/comparison_of_proportions.php.
Acknowledgements
We wish to acknowledge the practice nurses and general practitioners involved in implementing our study in all of our participating practices.
Author contributions
All authors contributed to the study conception and design. Material preparation and data collection were performed by C.K., E.K. and L.G. Analysis was performed by C.K., E.K. and M.J. The first draft of the manuscript was written by C.K. with critical appraisal from M.J., A.C. and E.K. All authors read and approved the final manuscript.
Funding
Partial funding for this study received as a donation from Amgen. AC was the recipient of this donation.
Author information
Authors and Affiliations
Corresponding author
Ethics declarations
Conflict of interest
The authors declare no competing interests.
Ethical
Ethics approval for this project was obtained from The University of Notre Dame Human Research Ethics Committee (HREC), approval number 018071 S. The procedures used in this study adhere to the tenets of the Declaration of Helsinki.
Consent to participate
Informed consent was obtained from all participants in this study.
Consent to publish
Informed consent was obtained from all participants for the publication of the results of this study.
Additional information
Publisher’s note Springer Nature remains neutral with regard to jurisdictional claims in published maps and institutional affiliations.
Supplementary information
Rights and permissions
About this article
Cite this article
Krejany, C., Kanjo, E., Gaedtke, L. et al. Patients’ attitudes and intentions towards taking medical advice for type 2 diabetes mellitus: a theory of planned behaviour analysis. Endocrine 74, 80–89 (2021). https://doi.org/10.1007/s12020-021-02771-5
Received:
Accepted:
Published:
Issue Date:
DOI: https://doi.org/10.1007/s12020-021-02771-5