Skip to main content

The visceral adiposity index is associated with insulin sensitivity and IGF-I levels in adults with growth hormone deficiency

Abstract

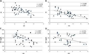
The visceral adiposity index, based on anthropometric and metabolic parameters, has been shown to be related to adipose tissue function and insulin sensitivity. We aimed to evaluate the performance of the visceral adiposity index in adult patients with growth hormone deficiency. We enrolled 52 patients(mean age 51 ± 13 years) with newly diagnosed growth hormone deficiency and 50 matched healthy subjects as controls at baseline. At baseline and after 12 and 24 months of treatment we evaluated anthropometric measures, lipid profile, glucose and insulin during an oral glucose tolerance test, hemoglobin A1c, homeostasis model assessment estimate of insulin resistance, quantitative insulin sensitivity check index, insulin sensitivity index Matsuda, insulin-like growth factor-I and visceral adiposity index. At baseline growth hormone deficiency patients showed higher waist circumference (p < 0.001), low-density lipoprotein cholesterol (p < 0.001) and visceral adiposity index (p = 0.003) with lower insulin sensitivity index (p = 0.007) and high-density lipoprotein cholesterol (p = 0.001) than controls. During growth hormone treatment we observed a significant increase in insulin-like growth factor-I (p < 0.001), high-density lipoprotein (p < 0.001) with a trend toward increase in insulin sensitivity index (p = 0.055) and a significant decrease in total cholesterol (p < 0.001) and visceral adiposity index (p < 0.001), while no significant changes were observed in other clinical and metabolic parameters. The visceral adiposity index was the only parameter that significantly correlated with growth hormone peak at diagnosis (p < 0.001) and with insulin-like growth factor-I and insulin sensitivity index both at diagnosis (p = 0.009 and p < 0.001) and after 12 (p = 0.026 and p = 0.001) and 24 months (p < 0.001 and p = 0.001) of treatment. The visceral adiposity index, which has shown to be associated with both insulin-like growth factor-I and insulin sensitivity, proved to be the most reliable index of metabolic perturbation, among the most common indexes of adiposity assessment and a marker of benefit during treatment in adult growth hormone deficiency patients.

This is a preview of subscription content, access via your institution.

Fig. 1
Fig. 2

References

  1. A. Vijayakumar, R. Novosyadlyy, Y. Wu, S. Yakar, D. LeRoith, Biological effects of growth hormone on carbohydrate and lipid metabolism. Growth Horm IGF Res. 20(1), 1–7 (2010)

    CAS  Article  PubMed  Google Scholar 

  2. V.E. Chaves, F.M. Júnior, G.L. Bertolini, The metabolic effects of growth hormone in adipose tissue. Endocrine 44(2), 293–302 (2013)

    CAS  Article  PubMed  Google Scholar 

  3. H. DeBoer, G.J. Blok, H.J. Voerman, P.M.J.M. DeVries, E.A. Van der Veen, Body composition in adult growth hormone deficient men, assessed by anthropometry and bioimpedance analysis. J. Clin. Endocrinol. Metab. 75, 833–837 (1992)

    CAS  Google Scholar 

  4. A. Colao, C. Di Somma, A. Cuocolo, M. Filippella, F. Rota, W. Acampa, S. Savastano, M. Salvatore, G. Lombardi, The severity of growth hormone deficiency correlates with the severity of cardiac impairment in 100 adult patients with hypopituitarism: an observational, case-control study. J. Clin. Endocrinol. Metab. 89, 5908–6004 (2004)

    Article  Google Scholar 

  5. J.O. Johansson, J. Fowelin, K. Landin, I. Lager, B.A. Bengtsson, Growth hormone deficient adults are insulin resistant. Metabolism 44, 1126–1129 (1995)

    CAS  Article  PubMed  Google Scholar 

  6. F. Salomon, R.C. Cuneo, R. Hesp, P.H. Sonksen, The effects of treatment with recombinant growth hormone on body composition and metabolism in adults with growth hormone deficiency. N. Engl. J. Med. 321, 1797–1803 (1989)

    CAS  Article  PubMed  Google Scholar 

  7. M.C. Amato, C. Giordano, M. Pitrone, A. Galluzzo, Cut-off points of the visceral adiposity index (VAI) identifying a visceral adipose dysfunction associated with cardiometabolic risk in a Caucasian Sicilian population. Lipids Health Dis. 10, 183 (2011)

    Article  PubMed  PubMed Central  Google Scholar 

  8. K.M. Knowles, L.L. Paiva, S.E. Sanchez, L. Revilla, T. Lopez, M.B. Yasuda, N.D. Yanez, B. Gelaye, M.A. Williams, Waist circumference, body mass index, and other measures of adiposity in predicting cardiovascular disease risk factors among Peruvian adults. Intern. J. Hypertens. 24, 931402 (2011)

    Google Scholar 

  9. M.C. Amato, C. Giordano, M. Galia, A. Criscimanna, S. Vitabile, M. Midiri, A. Galluzzo, AlkaMeSy Study Group: Visceral Adiposity Index: a reliable indicator of visceral fat function associated with cardiometabolic risk. Diabetes Care. 33(4), 920–922 (2010)

    Article  PubMed  PubMed Central  Google Scholar 

  10. C. Di Somma, A. Ciresi, M.C. Amato, S. Savastano, M.C. Savanelli, E. Scarano, A. Colao, C. Giordano, Alteration of the growth hormone axis, visceral fat dysfunction, and early cardiometabolic risk in adults: the role of the visceral adiposity index. Endocrine 49(2), 492–502 (2015)

    Article  PubMed  Google Scholar 

  11. S. Savastano, C. Di Somma, L. Barrea, A. Colao, The complex relationship between obesity and the somatotropic axis: the long end winding road. Growth Horm IGF Res. 24(6), 221–226 (2014)

    CAS  Article  PubMed  Google Scholar 

  12. A. Ciresi, M.C. Amato, G. Pizzolanti, C. Giordano Galluzzo, Visceral adiposity index is associated with insulin sensitivity and adipocytokine levels in newly diagnosed acromegalic patients. J. Clin. Endocrinol. Metab. 97(8), 2907–2915 (2012)

    CAS  Article  PubMed  Google Scholar 

  13. A. Ciresi, M.C. Amato, R. Pivonello, E. Nazzari, L.F. Grasso, F. Minuto, D. Ferone, A. Colao, C. Giordano, The metabolic profile in active acromegaly is gender-specific. J. Clin. Endocrinol. Metab. 98, E51–E59 (2013)

    CAS  Article  PubMed  Google Scholar 

  14. M.C. Amato, M. Verghi, A. Galluzzo, C. Giordano, The oligomenorrhoic phenotypes of polycystic ovary syndrome are characterized by a high visceral adiposity index: a likely condition of cardiometabolic risk. Hum. Reprod. 26(6), 1486–1494 (2011)

    Article  PubMed  Google Scholar 

  15. M. Bozorgmanesh, F. Hadaegh, F. Azizi, Predictive performance of the visceral adiposity index for a visceral adiposity-related risk: type 2 diabetes. Lipids Health Dis. 10, 88 (2011)

    Article  PubMed  PubMed Central  Google Scholar 

  16. A. Ciresi, M.C. Amato, V. Guarnotta, F. Lo Castro, C. Giordano, Higher doses of cabergoline further improve metabolic parameters in patients with prolactinoma regardless of the degree of reduction in prolactin levels. Clin. Endocrinol. (Oxf) 79(6), 845–852 (2013)

    CAS  Article  Google Scholar 

  17. M.C. Amato, C. Giordano, Visceral adiposity index: an indicator of adipose tissue dysfunction. Int J Endocrinol. 2014, 730827 (2014)

    Article  PubMed  PubMed Central  Google Scholar 

  18. M.E. Molitch, D.R. Clemmons, S. Malozowski, G.R. Merriam, M.L. Vance, Endocrine Society: Evaluation and treatment of adult growth hormone deficiency: an Endocrine Society clinical practice guideline. J Clin Endocrinol Metab. 96(6), 1587–1609 (2011)

    CAS  Article  PubMed  Google Scholar 

  19. G. Corneli, C. Di Somma, R. Baldelli, S. Rovere, V. Gasco, C.G. Croce, S. Grottoli, M. Maccario, A. Colao, G. Lombardi, E. Ghigo, F. Camanni, G. Aimaretti, The cut-off limits of the GH response to GH releasing hormone-arginine test related to body mass index. Eur. J. Endocrinol. 153, 257–264 (2005)

    CAS  Article  PubMed  Google Scholar 

  20. D.R. Matthews, J.P. Hosker, A.S. Rudenski, B.A. Naylor, D.F. Treacher, R.C. Turner, Homeostasis model assessment: insulin resistance and beta-cell function from fasting plasma glucose and insulin concentrations in man. Diabetologia 28, 412–419 (1985)

    CAS  Article  PubMed  Google Scholar 

  21. A. Katz, S.S. Nambi, K. Mather, A.D. Baron, D.A. Follmann, G. Sullivan, M.J. Quon, Quantitative insulin sensitivity check index: a simple, accurate method for assessing insulin sensitivity in humans. J Clin Endocrinol Metab. 85, 2402–2410 (2000)

    CAS  Article  PubMed  Google Scholar 

  22. M. Matsuda, R.A. DeFronzo, Insulin sensitivity indices obtained from oral glucose tolerance testing: comparison with the euglycemic insulin clamp. Diabetes Care 22, 1462–1470 (1999)

    CAS  Article  PubMed  Google Scholar 

  23. J.W. Tomlinson, N. Holden, R.K. Hills, K. Wheatley, R.N. Clayton, A.S. Bates, M.C. Sheppard, P.M. Stewart, Association between premature mortality and hypopituitarism. West Midlands Prospective Hypopituitary Study Group. Lancet 357(9254), 425–431 (2001)

    CAS  Article  PubMed  Google Scholar 

  24. M. Gola, A. Giustina, Growth hormone deficiency and cardiovascular risk: do we need additional markers?. Endocrine 42, 240–242 (2012)

    CAS  Article  PubMed  Google Scholar 

  25. J. Isgaard, M. Arcopinto, K. Karason, A. Cittadini, GH and the cardiovascular system: an update on a topic at heart. Endocrine 48(1), 25–35 (2015)

    CAS  Article  PubMed  Google Scholar 

  26. E. Gomes-Santos, R. Salvatori, T.O. Ferrão, C.R. Oliveira, R.D. Diniz, J.A. Santana, F.A. Pereira, R.A. Barbosa, A.H. Souza, E.V. Melo, C.C. Epitácio-Pereira, A.A. Oliveira-Santos, I.A. Oliveira, J.A. Machado, F.J. Santana-Júnior, J.A. Barreto-Filho, M.H. Aguiar-Oliveira, Increased visceral adiposity and cortisol to cortisone ratio in adults with congenital lifetime isolated GH deficiency. J Clin Endocrinol Metab. 99(9), 3285–3289 (2014)

    CAS  Article  PubMed  Google Scholar 

  27. C.R. Oliveira, R. Salvatori, J.A. Barreto-Filho, I.E. Rocha, A. Mari, R.M. Pereira, V.C. Campos, M. Menezes, E. Gomes, R.A. Meneguz-Moreno, V.P. Araújo, N.T. Leite, A.C. Nascimento-Junior, M.I. Farias, T.A. Viscente, R.D. Araújo, E.V. Melo, M.H. Aguiar-Oliveira, Insulin sensitivity and β-cell function in adults with lifetime, untreated isolated growth hormone deficiency. J Clin Endocrinol Metab. 97(3), 1013–1019 (2012)

    CAS  Article  PubMed  Google Scholar 

  28. A.H. Souza, M.I. Farias, R. Salvatori, G.M. Silva, J.A. Santana, F.A. Pereira, F.J. de Paula, E.H. Valença, E.V. Melo, R.A. Barbosa, R.M. Pereira, M.B. Gois-Junior, M.H. Aguiar-Oliveira, Lifetime, untreated isolated GH deficiency due to a GH-releasing hormone receptor mutation has beneficial consequences on bone status in older individuals, and does not influence their abdominal aorta calcification. Endocrine 47(1), 191–197 (2014)

    CAS  PubMed  Google Scholar 

  29. A. Hazem, M.B. Elamin, I. Bancos, G. Malaga, G. Prutsky, J.P. Domecq, T.A. Elraiyah, N.O. Abu Elnour, Y. Prevost, J.P. Almandoz, C. Zeballos-Palacios, E.R. Velasquez, P.J. Erwin, N. Natt, V.M. Montori, M.H. Murad, Body composition and quality of life in adults treated with GH therapy: a systematic review and meta-analysis. Eur J Endocrinol. 166(1), 13–20 (2012)

    CAS  Article  PubMed  Google Scholar 

  30. P. Maison, S. Griffin, M. Nicoue-Beglah, N. Haddad, B. Balkau, P. Chanson, Impact of growth hormone (GH) treatment on cardiovascular risk factors in GH-deficient adults: a Metaanalysis of Blinded, Randomized, Placebo-Controlled Trials. J Clin Endocrinol Metab. 89(5), 2192–2199 (2004)

    CAS  Article  PubMed  Google Scholar 

  31. L. Giovannini, G. Tirabassi, G. Muscogiuri, C. Di Somma, A. Colao, G. Balercia, Impact of adult growth hormone deficiency on metabolic profile and cardiovascular risk. Endocr J. 62(12), 1037–1048 (2015)

    CAS  Article  PubMed  Google Scholar 

  32. A.A. van der Klaauw, N.R. Biermasz, E.J. Feskens, M.B. Bos, J.W. Smit, F. Roelfsema, E.P. Corssmit, H. Pijl, J.A. Romijn, A.M. Pereira, The prevalence of the metabolic syndrome is increased in patients with GH deficiency, irrespective of long-term substitution with recombinant human GH. Eur J Endocrinol. 156(4), 455–462 (2007)

    Article  PubMed  Google Scholar 

  33. A.F. Attanasio, D. Mo, E.M. Erfurth, M. Tan, K.Y. Ho, D. Kleinberg, A.G. Zimmermann, P. Chanson, International Hypopituitary Control Complications Study Advisory Board: Prevalence of metabolic syndrome in adult hypopituitary growth hormone (GH)-deficient patients before and after GH replacement. J Clin Endocrinol Metab. 95(1), 74–81 (2010)

    CAS  Article  PubMed  Google Scholar 

  34. K.M. Claessen, N.M. Appelman-Dijkstra, D.M. Adoptie, F. Roelfsema, J.W. Smit, N.R. Biermasz, A.M. Pereira, Metabolic profile in growth hormone-deficient (GHD) adults after long-term recombinant human growth hormone (rhGH) therapy. J Clin Endocrinol Metab. 98(1), 352–361 (2013)

    CAS  Article  PubMed  Google Scholar 

  35. N.M. Appelman-Dijkstra, K.M. Claessen, F. Roelfsema, A.M. Pereira, N.R. Biermasz, Long-term effects of recombinant human GH replacement in adults with GH deficiency: a systematic review. Eur J Endocrinol. 169(1), R1–14 (2013)

    CAS  Article  PubMed  Google Scholar 

  36. S.A. Henche, R.R. Torres, L.G. Pellico, An evaluation of patterns of change in total and regional body fat mass in healthy Spanish subjects using dual-energy X-ray absorptiometry (DXA). Eur J Clin Nutr. 62, 1440–1448 (2008)

    Article  PubMed  Google Scholar 

  37. J. Moller, J.O. Jorgensen, N. Moller, K.W. Hansen, E.B. Pedersen, J.S. Christiansen, Expansion of extracellular volume and suppression of atrial natriuretic peptide after growth hormone administration in normal man. J Clin Endocrinol Metab. 72(4), 768 (1991)

    CAS  Article  PubMed  Google Scholar 

  38. S.E. Taksali, S. Caprio, J. Dziura, S. Dufour, A.M. Calí, T.R. Goodman, X. Papademetris, T.S. Burgert, B.M. Pierpont, M. Savoye, M. Shaw, A.A. Seyal, R. Weiss, High visceral and low abdominal subcutaneous fat stores in the obese adolescent: a determinant of an adverse metabolic phenotype. Diabetes 57, 367–371 (2008)

    CAS  Article  PubMed  Google Scholar 

  39. A. Colao, C. Di Somma, S. Savastano, F. Rota, M.C. Savanelli, G. Aimaretti, G. Lombardi, A reappraisal of diagnosing GH deficiency in adults: role of gender, age, waist circumference, and body mass index. J. Clin. Endocrinol. Metab. 94(11), 4414–4422 (2009)

    CAS  Article  PubMed  Google Scholar 

  40. A. Chrisoulidou, S.A. Beshyah, O. Rutherford, T.J. Spinks, J. Mayet, P. Kyd, V. Anyaoku, A. Haida, B. Ariff, M. Murphy, E. Thomas, S. Robinson, R. Foale, D.G. Johnston, Effects of 7 years of growth hormone replacement therapy in hypopituitary adults. J Clin Endocrinol Metab. 85(10), 3762–3769 (2000)

    CAS  PubMed  Google Scholar 

  41. M. Elbornsson, G. Götherström, I. Bosæus, B.Å. Bengtsson, G. Johannsson, J. Svensson, Fifteen years of GH replacement improves body composition and cardiovascular risk factors. Eur J Endocrinol. 168(5), 745–753 (2013)

    CAS  Article  PubMed  PubMed Central  Google Scholar 

  42. C. Spielhagen, C. Schwahn, K. Moller, N. Friedrich, T. Kohlmann, J. Moock, M. Kołtowska-Häggström, M. Nauck, M. Buchfelder, H. Wallaschofski, The benefit of long-term growth hormone (GH) replacement therapy in hypopituitary adults with GH deficiency: results of the German KIMS database. Growth Horm IGF Res. 21(1), 1–10 (2011)

    CAS  Article  PubMed  Google Scholar 

  43. J. Roemmler, M. Kuenkler, H.J. Schneider, C. Dieterle, J. Schopohl, Comparison of glucose and lipid metabolism and bone mineralization in patients with growth hormone deficiency with and without long-term growth hormone replacement. Metabolism 59(3), 350–358 (2010)

    CAS  Article  PubMed  Google Scholar 

  44. C. Di Somma, R. Pivonello, G. Pizza, A. De Rosa, G. Lombardi, A. Colao, S. Savastano, Prevalence of the metabolic syndrome in moderately-severely obese subjects with and without growth hormone deficiency. J Endocrinol Invest. 33(3), 171–177 (2010)

    Article  PubMed  Google Scholar 

  45. R. Abs, A.F. Mattsson, M. Thunander, J. Verhelst, M.I. Góth, P. Wilton, M. Kołtowska-Häggström, A. Luger, Prevalence of diabetes mellitus in 6050 hypopituitary patients with adult-onset GH deficiency before GH replacement: a KIMS analysis. Eur J Endocrinol. 168(3), 297–305 (2013)

    CAS  Article  PubMed  Google Scholar 

  46. C. Giavoli, S. Porretti, C.L. Ronchi, V. Cappiello, E. Ferrante, E. Orsi, M. Arosio, P. Beck-Peccoz, Long-term monitoring of insulin sensitivity in growth hormone-deficient adults on substitutive recombinant human growth hormone therapy. Metabolism 53(6), 740–743 (2004)

    CAS  Article  PubMed  Google Scholar 

  47. A.M. Arafat, M. Möhlig, M.O. Weickert, C. Schöfl, J. Spranger, A.F. Pfeiffer, Improved insulin sensitivity, preserved beta cell function and improved whole-body glucose metabolism after low-dose growth hormone replacement therapy in adults with severe growth hormone deficiency: a pilot study. Diabetologia 53(7), 1304–1313 (2010)

    CAS  Article  PubMed  Google Scholar 

Download references

Funding

This research did not receive any specific grant from any funding agency in the public, commercial or not-for-profit sector.

Author information

Affiliations

Authors

Corresponding author

Correspondence to Carla Giordano.

Ethics declarations

Conflict of interest

All authors declare that there is no conflict of interest that could be perceived as prejudicing the impartiality of the research reported.

Author statement

The authors hereby confirm that neither the manuscript nor any part of it has been published or is being considered for publication elsewhere. By signing this letter each of us acknowledges that he or she participated sufficiently in the work to take public responsibility for its content.

Ethical approval

All procedures performed were in accordance with the ethical standards of the institutional and/or national research committee and with the 1964 Helsinki declaration and its later amendments or comparable ethical standards.

Informed consent

Informed consent was obtained from all individual participants included in the study.

Rights and permissions

Reprints and Permissions

About this article

Verify currency and authenticity via CrossMark

Cite this article

Ciresi, A., Radellini, S., Guarnotta, V. et al. The visceral adiposity index is associated with insulin sensitivity and IGF-I levels in adults with growth hormone deficiency. Endocrine 56, 579–588 (2017). https://doi.org/10.1007/s12020-016-1076-5

Download citation

  • Received:

  • Accepted:

  • Published:

  • Issue Date:

  • DOI: https://doi.org/10.1007/s12020-016-1076-5

Keywords

  • Growth hormone
  • Insulin sensitivity
  • Visceral adiposity
  • GH treatment