Skip to main content

Scalp Hair Metal Analysis Concerning DNA Damage in Welders of Peshawar Khyber Pakhtunkhwa Pakistan

Abstract

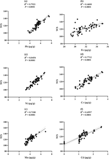
Welding is used throughout the world in refineries, thermal power plants, chemical facilities, and pressurized containers, and the welders are exposed to toxic heavy metals, electromagnetic fields, polycyclic aromatic hydrocarbon, and ultraviolet radiations. In the present study, 59 welders and an equal number of control subjects were assessed for DNA damage in the lymphocytes using the comet assay. Heavy metals such as lead (Pb), iron (Fe), nickel (Ni), chromium (Cr), manganese (Mn), and cadmium (Cd) levels in the scalp hair of the subjects were evaluated by using atomic absorption spectroscopy (AAS). The results of the current study showed that DNA damage in the lymphocytes of welders (121.8 ± 10.7) was significantly higher as compared with controls (56.5 ± 17.6) (P < 0.001). Besides, the levels of Pb, Fe, Ni, Cr, Mn, and Cd were remarkably higher in the scalp hair of workers as compared with the control group (P < 0.001). Regression analysis showed a prominent association between the heavy metals and total comet score (TCS) in the exposed subjects. Age and duration of occupational exposure had significant effects (P < 0.05) on TCS values. Our results concluded that occupational exposure to welding fumes may cause DNA damage and can lead to important health hazards in the workers.

This is a preview of subscription content, access via your institution.

Fig. 1
Fig. 2
Fig. 3
Fig. 4
Fig. 5

References

  1. Guha N, Loomis D, Guyton KZ, Grosse Y, El Ghissassi F, Bouvard V, Benbrahim-Tallaa L, Vilahur N, Muller K, Straif K (2017) Carcinogenicity of welding, molybdenum trioxide, and indium tin oxide. Lancet Oncol 18:581–582

    PubMed  Google Scholar 

  2. Zeidler-Erdely PC, Erdely A, Antonini JM (2019) Immunotoxicology of arc welding fume: worker and experimental animal studies. J Immunotoxicol 9:411–425

    Google Scholar 

  3. Antonini JM, Badding MA, Meighan TG, Keane M, Leonard SS, Roberts JR (2014) Evaluation of the pulmonary toxicity of a fume generated from a nickel-, copper-based electrode to be used as a substitute in stainless steel welding. Environ Health Insights 8:11–20

    PubMed  PubMed Central  Google Scholar 

  4. Leonard SS, Chen BT, Stone SG, Schwegler-Berry D, Kenyon AJ, Frazer D, Antonini JM (2010) Comparison of stainless and mild steel welding fumes in generation of reactive oxygen species. Toxicol 7:32

    Google Scholar 

  5. Jeong GN, Jo GJ, Jo UB, Yu IJ (2006) Effects of repeated welding fumes exposure on the histological structure and mucins of nasal respiratory mucosa in rats. Toxicol Let 167:19–26

    CAS  Google Scholar 

  6. Palmer KT, McNeill-Love R, Poole JR, Coggon D, Frew AJ, Linaker CH, Shute JK (2006) Inflammatory responses to the occupational inhalation of metal fume. Environ Health Insights 27:366–373

    CAS  Google Scholar 

  7. Chervona Y, Arita A, Costa M (2012) Carcinogenic metals and the epigenome: understanding the effect of nickel, arsenic, and chromium. Metallomics 4:619–627

    CAS  PubMed  PubMed Central  Google Scholar 

  8. Shoeb M, Mustafa GM, Kodali VK, Smith K, Roach KA, Boyce G, Meighan T, Roberts JR, Erdely A, Antonini JM (2019) A possible relationship between telomere length and markers of neurodegeneration in rat brain after welding fume inhalation exposure. Environ Res 108900

  9. Tamás MJ, Sharma SK, Ibstedt S, Jacobson T, Christen P (2014) Heavy metals and metalloids as a cause for protein misfolding and aggregation. Biomolecules 4:252–267

    PubMed  PubMed Central  Google Scholar 

  10. Mishra S, Bharagava RN, More N, Yadav A, Zainith S, Mani S, Chowdhary P (2019) Heavy metal contamination: an alarming threat to environment and human health. In: Environmental biotechnology: For sustainable future Springer. Singapore

  11. Flynn MR, Susi P (2010) Manganese, iron, and total particulate exposures to welders. J Occup Environ Hyg 7:115

    CAS  PubMed  Google Scholar 

  12. Davies KG, Asanga U, Nku CO, Osim EE (2007) Effect of chronic exposure to welding light on Calabar welders. Niger J Physiol Sci 22:55

    CAS  PubMed  Google Scholar 

  13. Michalek IM, Martinsen JI, Weiderpass E, Hansen J, Sparen P, Tryggvadottir L, Pukkala E (2019) Heavy metals, welding fumes, and other occupational exposures, and the risk of kidney cancer: a population-based nested case-control study in three Nordic countries. Environ Res 173:117–123

    CAS  PubMed  Google Scholar 

  14. Akram Z, Riaz S, Kayani MA, Jahan S, Ahmad MW, Ullah MA, Wazir H, Mahjabeen I (2019) Lead induces DNA damage and alteration of ALAD and antioxidant genes mRNA expression in construction site workers. Arch. Environ. Occup Health 74:171–178

    CAS  Google Scholar 

  15. Guo H, Liu H, Wu H, Cui H, Fang J, Zuo Z, Deng J, Li Y, Wang X, Zhao L (2019) Nickel carcinogenesis mechanism: DNA damage. Int J Mol Sci 20:4690

    CAS  PubMed Central  Google Scholar 

  16. Alimba CG, Laide AW (2019) Genotoxic and cytotoxic assessment of individual and composite mixture of cadmium, lead and manganese in Clarias gariepinus (Burchell 1822) using micronucleus assay. Nucleus 1–2

  17. Cetintepe SP, Iritas SB, Gunduzoz M, Alaguney ME, Wilson D, Bal C, Yilmaz OH, Tutkun L, Park EK (2019) Relation between lung dysfunction and blood cadmium and lead levels among welders. Expo Health 11:13–19

    CAS  Google Scholar 

  18. Iarmarcovai G, Sari-Minodier I, Chaspoull F, Botta C, De Me’o M, Orsie’re T, Berge-Lefranc JL, Gallice P, Botta A (2005) Risk assessment of welders using analysis of eight metals by ICP-MS in blood and urine and DNA damage evaluation by the comet and micronucleus assays; influence of XRCC1 and XRCC3 polymorphisms. Mutagenesis 20:425–432

    CAS  PubMed  Google Scholar 

  19. Mukherjee S, Palmer LJ, Kim JY, Aaeschliman DB, Houk RS, Woodin MA, Christiani DC (2004) Smoking status and occupational exposure affects oxidative DNA injury in boilermakers exposed to metal fume and residual oil fly ash. Cancer Epidemiol Biomark Prev 13:454–460

    CAS  Google Scholar 

  20. Desoize B (2003) Metals and metal compounds in carcinogenesis. In vivo 17:529–539

    CAS  PubMed  Google Scholar 

  21. Kasprzak KS (1995) Possible role of oxidative damage in metal induced carcinogenesis. Cancer Investig 13:411–430

    CAS  Google Scholar 

  22. Khalique A, Shah MH, Jaffar M, Shaheen N, Tariq SR, Manzoor S (2006) Scalp hair metal analysis in the assessment of the occupational exposure of arc welders. Toxicol Environ Chem 88:697–704

    CAS  Google Scholar 

  23. Mostoli R, Omidi T, Abbasalipourkabir R, Ziamajidi N (2019) Determination of lead, arsenic and nickel concentration in Iranian and foreign hair colors. J Health 10:302–311

    Google Scholar 

  24. Ogunfowokan AO, Adekunle AS, Oyebode BA, Oyekunle JA, Komolafe AO, Omoniyi-Esan GO (2019) Determination of heavy metals in urine of patients and tissue of corpses by atomic absorption spectroscopy. Chem Afr 1–4

  25. Aksu İ, Anlar HG, Taner G, Bacanlı M, İritaş S, Tutkun E, Basaran N (2019) Assessment of DNA damage in welders using comet and micronucleus assays. Mutat Res Genet Toxicol Environ Mutagen 843:40–45

    CAS  Google Scholar 

  26. Khisroon M, Gul A, Khan A, Ali N, Zaidi F, Rasheed SB, Ahmadullah, Akbar H (2015) Comet assay based DNA evaluation of fuel filling stations and automobile workshops workers from Khyber Pakhtunkhwa Province, Pakistan. J Occup Med Toxicol 10:1–6

    Google Scholar 

  27. Khisroon M, Khan A, Imran M, Zaidi F, Ahmadullah, Fatima SH (2018) Biomonitoring of DNA damage in individuals exposed to brick kiln pollution from Peshawar Khyber Pakhtunkhwa, Pakistan. Arch Environ Occup Heath 73:115–120

    CAS  Google Scholar 

  28. Khisroon M, Khan A, Naseem M, Ali N, Khan S, Rasheed SB (2015) Evaluation of DNA damage in lymphocytes of radiology personnel by comet assay. J Occup Health 57:268–274

    CAS  PubMed  Google Scholar 

  29. Sardas S, Omurtag GZ, Tozan A, Gul H, Beyoglu D (2010) Evaluation of DNA damage in construction-site workers occupationally exposed to welding fumes and solvent-based paints in Turkey. Toxicol Ind Health 26:601–608

    PubMed  Google Scholar 

  30. Peter OO, Eneji IS, Sha’Ato R (2012) Analysis of heavy metals in human hair using atomic absorption spectrometry (AAS). Am J Anal Chem 3:770–773

    Google Scholar 

  31. Akbar H, Khan A, Mohammadzai I, Khisroon M, Begum I (2018) The genotoxic effect of oxcarbazepine on mice blood lymphocytes. Drug Chem Toxicol 41:135–140

    CAS  PubMed  Google Scholar 

  32. Collins AR (2004) The comet assay for DNA damage and repair: principles, applications, and limitations. Mol Biotechnol 26:249–261

    CAS  PubMed  Google Scholar 

  33. Singh Z, Chadha P (2015) Assessment of DNA damage as an index of genetic toxicity in welding microenvironments among iron-based industries. Toxicol Ind Health 1–8

  34. Botta C, Iarmarcovai G, Chaspoul F, Sari-Minodier I, Pompili J, Orsie're T, Berge-Lefranc J, Botta A, Gallice P, De Meo M (2006) Assessment of occupational exposure to welding fumes by inductively coupled plasma-mass spectroscopy and by the alkaline comet assay. Environ Mol Mutagen 47:284–295

    CAS  PubMed  Google Scholar 

  35. Antonini JM, Leonard SS, Roberts JR, Solano-Lopez C, Young SH, Shi X, Taylor MD (2005) Effect of stainless steel manual metal arc welding fume on free radical production, DNA damage, and apoptosis induction. Mol Cell Biochem 279:17–23

    CAS  PubMed  Google Scholar 

  36. Danadevi K, Rozati R, Banu BS, Grover P (2004) Genotoxic evaluation of welders occupationally exposed to chromium and nickel using the comet and micronucleus assays. Mutagenesis 19:35–41

    CAS  PubMed  Google Scholar 

  37. Grover P, Danadevi K, Mahlbood M, Rozzati R, Saleha B, Rahman MF (2003) Evaluation of genetic damage in workers employed in pesticide production utilizing the comet assay. Mutagenesis 18:201–205

    CAS  PubMed  Google Scholar 

  38. Mateuca R, Aka PV, De Boeck M, Hauspie R, Kirsch-Volders M, Lison D (2005) Influence of hOGG1, XRCC1 and XRCC3 genotypes on biomarkers of genotoxicity in workers exposed to cobalt or hard metal dusts. Toxicol Lett 156:277–288

    CAS  PubMed  Google Scholar 

  39. Jara-Ettinger AC, López-Tavera JC, Zavala-Cerna MG, Torres-Bugarín O (2015) Genotoxic evaluation of Mexican welders occupationally exposed to welding-fumes using the micronucleus test on exfoliated oral mucosa cells: a cross-sectional, case-control study. Plos One 1–12

  40. Chuang CH, Huang CE, Chen HL (2009) DNA strand breakage and lipid peroxidation after exposure to welding fumes in vivo. Mutagenesis 25:71–76

    PubMed  Google Scholar 

  41. Sudha S, Kripa SK, Shibily P, Joseph S, Balachandar V (2011) Biomonitoring of genotoxic effects among shielded manual metal arc welders. Asian Pac J Cancer Prev 12:1041–1044

    PubMed  Google Scholar 

  42. Gube M, Ebel J, Brand P, Göen T, Holzinger K, Reisgen U, Kraus T (2010) Biological effect markers in exhaled breath condensate and biomonitoring in welders: impact of smoking and protection equipment. Int Arch Occup Environ Health 83:803–811

    CAS  PubMed  Google Scholar 

  43. Mierna R, Cynthia N, Afriyanti W, Ferry C, Nevita PT, Dorethea K, Marlisawati S, Indah R, Agus PT, Dina R (2015) Biomonitoring for iron, manganese, chromium, aluminum, nickel and cadmium in workers exposed to welding fume: a preliminary study. Russ Open Med J

  44. Mahmood Q, Wang J, Pervez A, Meryem SS, Waseem M, Ullah Z (2015) Health risk assessment and oxidative stress in workers exposed to welding fumes. Toxicol Environ Chem 97:634–639

    CAS  Google Scholar 

  45. Wultsch G, Nersesyan A, Kundi M, Jakse R, Beham A, Wagner K, Knasmueller S (2014) The sensitivity of biomarkers for genotoxicity and acute cytotoxicity in nasal and buccal cells of welders. Int J Hyg Environ Health 217:492–498

    CAS  PubMed  Google Scholar 

  46. Li GJ, Zhang L, Lu L, Wu P, Zheng W (2004) Occupational exposure to welding fume among welders: alterations of manganese, iron, zinc, copper, and lead in body fluids and the oxidative stress status. J Occup Environ Med 46:241–248

    CAS  PubMed  PubMed Central  Google Scholar 

  47. Noreen F, Sajjad A, Mahmood K, Anwar M, Zahra M, Waseem A (2020) Human biomonitoring of trace elements in scalp hair from healthy population of Pakistan. Biol Trace Elem Res 196:37–46

    CAS  PubMed  Google Scholar 

  48. Abdulrahman FI, Akan JC, Chellube ZM, Waziri M (2012) Levels of heavy metals in human hair and nail samples from Maiduguri Metropolis, Borno State, Nigeria. World Environ 2:81–89

    Google Scholar 

  49. Doherty MJ, Healy M, Richardson SG, Fisher NC (2004) Total body iron overload in welder’s siderosis. Occup Dis Environ Med 61:82–85

    CAS  Google Scholar 

  50. Silbergeld EK (2003) Facilitative mechanisms of lead as a carcinogen. Mutat Res 533:121–133

    CAS  PubMed  Google Scholar 

  51. De Boeck M, Kirsch-Volders M, Lison D (2003) Cobalt and antimony: Genotoxicity and carcinogenicity. Mutat Res 533:135–152

    PubMed  Google Scholar 

  52. Kasprzak KS, Sunderman FW Jr, Salnikow K (2003) Nickel carcinogenesis. Mutat Res 533:67–97

    CAS  PubMed  Google Scholar 

  53. Hengstler JG, Bolm-Audorff U, Faldum A, Janssen K, Reifenrath M, Gotte W, Jung D, Mayer-Popken O, Fuchs J, Gebhard S, Bienfait HG, Schlink K, Dietrich C, Faust D, Epe B, Oesch F (2003) Occupational exposure to heavy metals: DNA damage induction and DNA repair inhibition prove co-exposures to cadmium, cobalt and lead as more dangerous than hitherto expected. Carcinogenesis 24:63–73

    CAS  PubMed  Google Scholar 

  54. Galaris D, Evangelou A (2002) The role of oxidative stress in mechanisms of metal-induced carcinogenesis. Crit Rev Oncol Hematol 42:93–103

    PubMed  Google Scholar 

Download references

Acknowledgments

We acknowledge the volunteers who participated in this study.

Author information

Affiliations

Authors

Corresponding author

Correspondence to Ajmal Khan.

Ethics declarations

Conflict of Interests

The authors declare that they have no conflict of interest.

Additional information

Publisher’s Note

Springer Nature remains neutral with regard to jurisdictional claims in published maps and institutional affiliations.

Rights and permissions

Reprints and Permissions

About this article

Verify currency and authenticity via CrossMark

Cite this article

Khisroon, M., Khan, A., Shah, A.A. et al. Scalp Hair Metal Analysis Concerning DNA Damage in Welders of Peshawar Khyber Pakhtunkhwa Pakistan. Biol Trace Elem Res 199, 1649–1656 (2021). https://doi.org/10.1007/s12011-020-02281-x

Download citation

  • Received:

  • Accepted:

  • Published:

  • Issue Date:

  • DOI: https://doi.org/10.1007/s12011-020-02281-x

Keywords

  • Comet assay
  • DNA damage
  • Heavy metals
  • TCS
  • Welders