Abstract
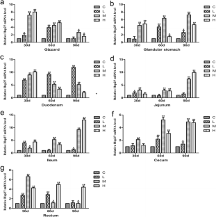
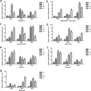
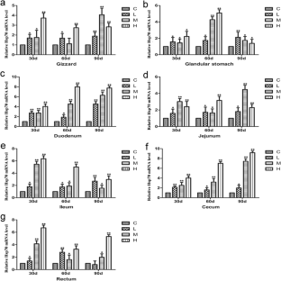
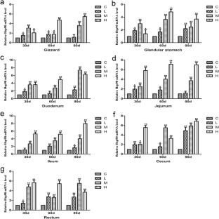
Arsenic (As) is widely distributed in our living environment and is useful for industry, agriculture, medical treatment, and other fields. Arsenic trioxide (As2O3) is an existing form of As. Exposure to As2O3 has a toxic effect on humans and animals. It not only leads to skin cancer, peripheral vascular disease, hyperkeratosis, etc. but also interferes with the functioning of the gastrointestinal tract. The gastrointestinal tract is an important organ for animals to transform the food they eat into the nutrients their body needs for maintenance and growth. Heat shock proteins (Hsps) exist in the non-stress normal cells and their expression increases under stimuli. Therefore, we wonder whether the “stimulus” of As2O3 could change the messenger RNA (mRNA) abundance and expression level of Hsps in the gastrointestinal tract of birds. To investigate the relation between arseniasis and Hsp alterations in the chicken’s gastrointestinal tract induced by an As2O3-supplemented diet, we selected 72 one-day-old male Hy-line chickens and randomly divided them into four groups. They were fed either a commercial diet or an As2O3-supplemented diet containing 7.5, 15, and 30 mg/kg As2O3. The experiment lasted for 90 days, and gastrointestinal tract tissue samples (gizzard, glandular stomach, duodenum, jejunum, ileum, cecum, and rectum) were collected at 30, 60, and 90 days. The mRNA contents of Hsps (including Hsp27, Hsp40, Hsp60, Hsp70, and Hsp90) were examined by real-time PCR (RT-PCR). The correlation between As2O3 and Hsp genes was assessed. In addition, the protein expression levels of Hsp60 and Hsp70 in the gastrointestinal tract tissue samples were measured by western blot. The results indicated that the mRNA expression levels and the Hsp expression levels in the gastrointestinal tract tissues of chickens with As2O3 supplementation increased at different time points in a dose-dependent manner (p < 0.05 or p < 0.01). These data suggested that arseniasis influenced the mRNA abundance of Hsp27, Hsp40, Hsp60, Hsp70, and Hsp90 and the protein expression levels of Hsp60 and Hsp70 in the chicken’s gastrointestinal tract tissues.








Similar content being viewed by others
References
Smith J D (1973) Arsenic, antimony and bismuth. In: Comprehensive inorganic chemistry, pp 547–684
Gochfeld M (1995) Chemical agents. In: Environmental medicine. St. Louis: Mosby, pp 592–614
Duker AA, Carranza EJM, Hale M (2005) Arsenic geochemistry and health. Environ Int 31:631–641
Dangleben NL, Skiblola CF, Smith MT (2013) Arsenic immunotoxicity: a review. Environ Heal 12:73
Cervantes C, Ji G, Ramirez JL, et al. (1994) Resistance to arsenic compounds in microorganisms. FEMS Microbiol Rev 15:355–367
Bell FG (1998) Environmental geology and health. Blackwell Science, London, pp. 487–500
Squibb KS, Fowler BA (1983) Biological and environmental effects of arsenic, Chap 7. In: Fowler BA (ed) The toxicity of arsenic and its compounds. Elsevier Science Publishers, Amsterdam, pp. 233–269
Al-Aqil A, Zulkifli I (2009) Changes in heat shock protein 70 expression and blood characteristics in transported broiler chickens as affected by housing and early age feed restriction. Poult Sci 88(7):1358–1364
Young RA (1990) Stress proteins and immunology. Annu Rev Immunol 8:401–420
Givisiez PEN, Mazzi CM, Ferro MIT, Ferro JA, et al. (2001) Heat or cold chronic stress affects organ weights and Hsp70 levels in chicken embryos. Can J Anim Sci 81:83–87
Iwama GK, Thomas PT, Forsyth RJB, Vijayan MM (1998) Heat shock protein expression in fish. Rev Fish Biol Fish 8:35–56
Feder ME, Hofmann GE (1999) Heat-shock proteins, molecular chaperones, and the stress response: evolutionary and ecological physiology. Annu Rev Physiol 61:243–282
Ang D, Liberek K, Skowyra D, Zylicz M, et al. (1991) Georgopoulos, biological role and regulation of the universally conserved heat shock proteins. J Biol Chem 266:24233–24236
Rijk AFV, Bloemendal H (2000) Alpha-B-crystallin in neuropathology. Ophthalmology 214:7–12
Li J, Qian X, Sha B (2009) Heat shock protein 40: structural studies and their functional implications. Protein Pept Lett 16(6):606–612
Razo LMD, Vega BQ, Colombres EB, Aranda ESC, et al. (2001) Stress proteins induced by arsenic. Toxicol Appl Pharmacol 177:132–148
Csermely P, Schnaider T, Soti C, Prohaszka Z, et al. (1998) The 90-kDa molecular chaperone family: structure, function, and clinical applications. Pharmacol Ther 79:129–168
Peirson SN, Butler JN, Foster RG (2003) Experimental validation of novel and conventional approaches to quantitative real-time PCR data analysis. Nucleic Acids Res 31(14):e73
Livak KJ, Schmittgen TD (2001) Analysis of relative gene expression data using real-time quantitative PCR and the 2 (−delta delta C (T)) method. Methods 25:402–408
Xu GL, Hong SY, Song HB, et al. (1985) Keshan disease and selenium deficiency. Nutr Res 1:187
Webb JL (1966) Enzymes and metabolic inhibitors. Academic Press, New York, pp. 595–793
Ritossa F (1996) Discovery of the heat shock response. Cell Stress Chaperones 1:97–98
Hendrick JP, Hartl FU (1993) Molecular chaperone functions of heat-shock proteins. Annu Rev Biochem 62:349–384
Hugh RB, Pelham (1986) Speculations on the functions of the major heat shock and glucose-regulated proteins. Cell 46:959–961
Rothman JE (1989) Polypeptide chain binding proteins: catalysts of proteins folding and related processes in cells. Cell 59:591–601
Howard KJ, Holley SJ, Yamamoto KR, Distelhorst CW (1990) Mapping the HSP90 binding region of the glucocorticoid receptor. J Biol Chem 265:11928–11935
Zhu YH, Liu XX, Wu LD, et al. (2013) The effect of manganese-induced cytotoxicity on mRNA expressions of HSP27, HSP40, HSP60, HSP70 and HSP90 in chicken spleen lymphocytes in vitro. Biol Trace Elem Res 156:144–152
Qiu XB, Shao YM, Miao S, Wang L (2006) The diversity of the DnaJ/Hsp40 family, the crucial partners for Hsp70 chaperones. Cell Mol Life Sci 63(22):2560–2570
Zhu YF, Zhu JB, Wan XY, Zhu YP, Zhang TB (2010) Gene expression of sHsps, Hsp40 and Hsp60 families in normal and abnormal embryonic development of mouse forelimbs. Toxicol Lett 193(3):242–251
Tsan MF, Gao B (2009) Heat shock proteins and immune system. J Leukoc Biol 85:905–910
Zhu XN, Chen LP, Bai Q, et al (2014) PP2A-AMPL alpha-HSF1 axis regulates the metal-inducible expression of HSPs and ROS clearance. Cell Signal 26(4):825–832
Zhao FQ, Zhang ZW, Qu JP (2014) Cold stress induces antioxidants and Hsps in chicken immune organs. Cell Stress Chaperones 19:635–648
Xing HJ, Li S, Wang X, Gao XJ (2013) Effects of atrazine and chlorpyrifos on the mRNA levels of HSP70 and HSC70 in the liver, brain, kidney and gill of common carp (Cyprinus carpio L.). Chemosphere 90:910–916
Cintron NS, Toft D (2006) Defining the requirements for Hsp40 and Hsp70 in the Hsp90 chaperone pathway. J Biol Chem 281:26235–26244
Zhao FQ, Zhang ZW, Wang C, Zhang B (2013) The role of heat shock proteins in inflammatory injury induced by cold stress in chicken hearts. Cell Stress Chaperones 18(6):773
Wheeler DS, Lahni P, Odoms K, Jacobs BR, et al. (2007) Extracellular heat shock protein 60 (Hsp60) levels in children with septic shock. Inflamm Res 56(5):216–219
Liu T, Zhang ZW, Chen DC, Wang LL, et al (2013) Effect of atrazine and chlorpyrifos exposure on heat shock protein response in the brain of common carp (Cyprinus carpio L.). Pestic Biochem Physiol 107:277–283
Acknowledgments
This study was supported by the Natural Science Foundation of Heilongjiang Province (Grant No. C2015061). We thank the American Journal Experts for assistance with this manuscript.
Conflict of Interest
The authors declare that they have no competing interests.
Author information
Authors and Affiliations
Corresponding authors
Additional information
Panpan Zhao and Kexin Zhang contributed equally to this work.
Rights and permissions
About this article
Cite this article
Zhao, P., Zhang, K., Guo, G. et al. Heat Shock Protein Alteration in the Gastrointestinal Tract Tissues of Chickens Exposed to Arsenic Trioxide. Biol Trace Elem Res 170, 224–236 (2016). https://doi.org/10.1007/s12011-015-0462-9
Received:
Accepted:
Published:
Issue Date:
DOI: https://doi.org/10.1007/s12011-015-0462-9

