Skip to main content

Effects of Different Doses and Duration of Iron Supplementation on Curing Iron Deficiency Anemia: an Experimental Study

Abstract

Many controversies persist with respect to the dosage and therapeutic duration concerning iron deficiency anemia (IDA) treatment. To identify the most suitable cure, this study evaluated the effect of iron supplementation with different doses and for different time periods in rats with iron deficiency anemia. The rats were randomly divided into five groups [normal control (NC), low- iron diet control (LC), normal doses of iron group (NI), middle dose of iron group (MI), and high dose of iron group (HI)]. Each group was subdivided into two subgroups (2 and 4 weeks). The rats were maintained on low-iron diets and treated with oral iron dextran at different dosages. Finally, we investigated red blood cell parameters, iron absorption and metabolism, oxidative stress, and the antioxidant capacity. Our study indicated that through the administration of normal dose iron by gavage to IDA rats, the levels of the red blood cell parameters can be restored in only 2 weeks. In the HI group, iron absorption and transferrin receptor expressions were markedly reduced after 2 weeks. However, the iron content, ferritin and hepcidin expressions were notably increased, and the changes were more apparent after 4 weeks. With increasing doses of iron supplementation and durations of treatment, the liver malondialdehyde (MDA) content in the LC, MI, and HI groups was markedly increased, whereas the superoxide dismutase (SOD) and glutathione peroxidase (GSH-Px) activities were obviously reduced. This study demonstrated that the dose of iron treatment for IDA should be controlled in a safe range, and a reasonable duration is also critical for IDA therapeutics.

This is a preview of subscription content, access via your institution.

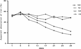
Fig. 1
Fig. 2
Fig. 3

References

  1. Liu K, Kaffes AJ (2012) Iron deficiency anaemia: a review of diagnosis, investigation and management. Eur J Gastroenterol Hepatol 24:109–116

    CAS  PubMed  Article  Google Scholar 

  2. Kumagai E, Nakazono T, Niidome Y, Teshima M, Higashida A, Onomichi M, Kumagai T (1995) Recovered state of iron in female blood donors—after taking an iron supplement. Rinsho Byori 43:1168–1172

    CAS  PubMed  Google Scholar 

  3. Collard KJ (2009) Iron homeostasis in the neonate. Pediatrics 123:1208–1216

    PubMed  Article  Google Scholar 

  4. Bayraktar UD, Bayraktar S (2010) Treatment of iron deficiency anemia associated with gastrointestinal tract diseases. World J Gastroenterol 16:2720–2725

    CAS  PubMed Central  PubMed  Article  Google Scholar 

  5. Qunibi WY (2010) The efficacy and safety of current intravenous iron preparations for the management of iron-deficiency anaemia: a review. Arzneimittelforschung 60:399–412

    CAS  PubMed  Google Scholar 

  6. Gray-Donald K (2013) Iron supplementation for children: safety in all settings is not clear. CMAJ 185:1477–1478

    PubMed Central  PubMed  Article  Google Scholar 

  7. Mendes JF, Arruda SF, Siqueira EM, Ito MK, Silva EF (2009) Iron status and oxidative stress biomarkers in adults: a preliminary study. Nutrition 25:379–384

    CAS  PubMed  Article  Google Scholar 

  8. Pena-Rosas JP, De-Regil LM, Dowswell T, Viteri FE (2012) Intermittent oral iron supplementation during pregnancy. Cochrane Database Syst Rev 7, CD009997

    PubMed Central  PubMed  Google Scholar 

  9. Shi Xin WG (2008) Animal models of human diseases. Beijing: People's Health Publishing House. 9

  10. Wang L, Wang W, Zhao M, Ma L, Li M (2008) Psychological stress induces dysregulation of iron metabolism in rat brain. Neuroscience 155:24–30

    CAS  PubMed  Article  Google Scholar 

  11. Zhao M, Chen J, Wang W, Wang L, Ma L, Shen H, Li M (2008) Psychological stress induces hypoferremia through the IL-6-hepcidin axis in rats. Biochem Biophys Res Commun 373:90–93

    CAS  PubMed  Article  Google Scholar 

  12. Morita A, Kimura M, Itokawa Y (1994) The effect of aging on the mineral status of female mice. Biol Trace Elem Res 42:165–177

    CAS  PubMed  Article  Google Scholar 

  13. Chen J, Shen H, Chen C, Wang W, Yu S, Zhao M, Li M (2009) The effect of psychological stress on iron absorption in rats. BMC Gastroenterol 9:83

    PubMed Central  PubMed  Article  Google Scholar 

  14. Ganz T (2013) Systemic iron homeostasis. Physiol Rev 93:1721–1741

    CAS  PubMed  Article  Google Scholar 

  15. Skikne BS, Flowers CH, Cook JD (1990) Serum transferrin receptor: a quantitative measure of tissue iron deficiency. Blood 75:1870–1876

    CAS  PubMed  Google Scholar 

  16. Meynard D, Babitt JL, Lin HY (2014) The liver: conductor of systemic iron balance. Blood 123:168–176

    CAS  PubMed  Article  Google Scholar 

  17. Fiorito V, Geninatti Crich S, Silengo L, Altruda F, Aime S, Tolosano E (2012) Assessment of iron absorption in mice by ICP-MS measurements of (57)Fe levels. Eur J Nutr 51:783–789

    CAS  PubMed  Article  Google Scholar 

  18. Weiss G (2002) Iron and immunity: a double-edged sword. Eur J Clin Invest 32(Suppl 1):70–78

    CAS  PubMed  Article  Google Scholar 

  19. Walker EM Jr, Walker SM (2000) Effects of iron overload on the immune system. Ann Clin Lab Sci 30:354–365

    CAS  PubMed  Google Scholar 

  20. Kurtoglu E, Ugur A, Baltaci AK, Undar L (2003) Effect of iron supplementation on oxidative stress and antioxidant status in iron-deficiency anemia. Biol Trace Elem Res 96:117–123

    CAS  PubMed  Article  Google Scholar 

  21. Ciok J, Leibschang J (1999) The report of UNICEF/WHO joint consultation on iron deficiency anemia, Geneva, February 3–5, 1999. Ginekol Pol 70:573–577

    CAS  PubMed  Google Scholar 

  22. Pena-Rosas, J. P. and Viteri, F. E. (2009) Effects and safety of preventive oral iron or iron + folic acid supplementation for women during pregnancy. Cochrane Database Syst Rev, CD004736

  23. Asare GA, Mossanda KS, Kew MC, Paterson AC, Kahler-Venter CP, Siziba K (2006) Hepatocellular carcinoma caused by iron overload: a possible mechanism of direct hepatocarcinogenicity. Toxicology 219:41–52

    CAS  PubMed  Article  Google Scholar 

  24. Niitsu Y, Kato J, Takimoto R (2004) Iron metabolism in iron deficiency anemia and anemia of chronic disease. Nihon Naika Gakkai Zasshi 93:445–450

    PubMed  Article  Google Scholar 

  25. Polin V, Coriat R, Perkins G, Dhooge M, Abitbol V, Leblanc S, Prat F, Chaussade S (2013) Iron deficiency: from diagnosis to treatment. Dig Liver Dis 45:803–809

    CAS  PubMed  Article  Google Scholar 

  26. Baynes RD (1996) Assessment of iron status. Clin Biochem 29:209–215

    CAS  PubMed  Article  Google Scholar 

  27. Huebers HA, Beguin Y, Pootrakul P, Einspahr D, Finch CA (1990) Intact transferrin receptors in human plasma and their relation to erythropoiesis. Blood 75:102–107

    CAS  PubMed  Google Scholar 

  28. Hentze MW, Muckenthaler MU, Andrews NC (2004) Balancing acts: molecular control of mammalian iron metabolism. Cell 117:285–297

    CAS  PubMed  Article  Google Scholar 

  29. Gkouvatsos K, Papanikolaou G, Pantopoulos K (2012) Regulation of iron transport and the role of transferrin. Biochim Biophys Acta 1820:188–202

    CAS  PubMed  Article  Google Scholar 

  30. Qian ZM, K. (2010) Iron metabolism and related diseases. Beijing: Science Press. 8

  31. Arija V, Ribot B, Aranda N (2013) Prevalence of iron deficiency states and risk of haemoconcentration during pregnancy according to initial iron stores and iron supplementation. Public Health Nutr 16:1371–1378

    PubMed  Article  Google Scholar 

  32. Fleming DJ, Tucker KL, Jacques PF, Dallal GE, Wilson PW, Wood RJ (2002) Dietary factors associated with the risk of high iron stores in the elderly Framingham Heart Study cohort. Am J Clin Nutr 76:1375–1384

    CAS  PubMed  Google Scholar 

  33. Brissot P, Ropert M, Le Lan C, Loreal O (2012) Non-transferrin bound iron: a key role in iron overload and iron toxicity. Biochim Biophys Acta 1820:403–410

    CAS  PubMed  Article  Google Scholar 

  34. Hogberg J, Orrenius S, Larson RE (1975) Lipid peroxidation in isolated hepatocytes. Eur J Biochem 50:595–602

    CAS  PubMed  Article  Google Scholar 

  35. Gehrke SG, Kulaksiz H, Herrmann T, Riedel HD, Bents K, Veltkamp C, Stremmel W (2003) Expression of hepcidin in hereditary hemochromatosis: evidence for a regulation in response to the serum transferrin saturation and to non-transferrin-bound iron. Blood 102:371–376

    CAS  PubMed  Article  Google Scholar 

Download references

Acknowledgments

This study was supported by The National Natural Science Fund (No. 81273053).

Conflict of Interest

None

Author information

Affiliations

Authors

Corresponding author

Correspondence to Min Li.

Additional information

Juan Ma and Xiaosha Wen contributed equally to this work.

Rights and permissions

Reprints and Permissions

About this article

Verify currency and authenticity via CrossMark

Cite this article

Ma, J., Wen, X., Mo, F. et al. Effects of Different Doses and Duration of Iron Supplementation on Curing Iron Deficiency Anemia: an Experimental Study. Biol Trace Elem Res 162, 242–251 (2014). https://doi.org/10.1007/s12011-014-0115-4

Download citation

  • Received:

  • Accepted:

  • Published:

  • Issue Date:

  • DOI: https://doi.org/10.1007/s12011-014-0115-4

Keywords

  • Iron deficiency anemia
  • Iron supplementation
  • Iron metabolism
  • Hepcidin
  • TfR-1
  • Oxidative stress