Skip to main content

Serum Copper and Zinc Levels in Healthy Greek Children and Their Parents

Abstract

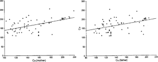
The aim of this study was to investigate whether there is a correlation between copper (Cu) and zinc (Zn) levels in children and their parents, considering their nutritional habits. Cu and Zn concentrations were measured by flame atomic absorption spectrophotometry in the serum of 66 healthy children, aged 3–14 years, and their parents, residing in a region of Greece (Thrace). Cu levels were higher in mothers than those in fathers, but they were lower in both parents than those in children. They also tended to decrease with age in both parents and children, whereas Zn levels significantly increased with age in children. There was a positive correlation between children's and mothers' Zn levels, as well as children's and both parents' Cu levels. Children used to eat meat, fish, vegetables, and legumes as frequently as their parents, but they were consuming more eggs, milk, and fruits than the latest. Regarding parents' diet, higher Zn levels were depended on the consumption of meat and milk, whereas higher Cu levels were depended on the consumption of milk. Consequently, children’s Cu and Zn levels are related to their parents’ levels, which can be influenced by their nutritional habits.

This is a preview of subscription content, access via your institution.

Fig. 1
Fig. 2

References

  1. Katzen-Luchenta J (2007) The declaration of nutrition, health and intelligence for the child-to-be. Nutr Health 19(1–2):85–102

    PubMed  Google Scholar 

  2. Cousins RJ (2006) Zinc. In: Bowman BA, Russel RM (eds) Present knowledge in nutrition, vol 1, 9th edn. ILSI, Washington, DC, pp 445–457

    Google Scholar 

  3. Food and Nutrition Board, Institute of Medicine (2001) Zinc. Dietary reference intakes for vitamin A, vitamin K, boron, chromium, copper, iodine, iron, manganese, molybdenum, nickel, silicon, vanadium and zinc. National Academy, Washington, DC, pp 442–501

    Google Scholar 

  4. King JC, Cousins RJ (2006) Zinc. In: Shills ME, Shike M, Ross AC, Cabalerro B, Cousins RJ (eds) Modern nutrition in health and Disease, 10th edn. Lippincott Williams & Wilkins, Baltimore, pp 271–285

    Google Scholar 

  5. O'Bell BL (2000) Role of zinc in plasma membrane function. J Nutr 130(5S Suppl):1432S–1436S Review

    Google Scholar 

  6. Truong-Tran AQ, Ho LH, Chai F, Zalewski PD (2000) Cellular zinc fluxes and the regulation of apoptosis/gene-directed cell health. J Nutr 130(5S Suppl):1459S–1466S

    CAS  PubMed  Google Scholar 

  7. Uauy R, Olivares M, Gonzalez M (1998) Essentiality of copper in humans. Am J Clin Nutr 67(5 Suppl):952S–959S

    CAS  PubMed  Google Scholar 

  8. Turnlund JR (2006) Copper. In: Shills ME, Shike M, Ross AC, Caballero B, Cousins RJ (eds) Modern nutrition in health and disease, 10th edn. Lippincott Williams & Wilkins, Philadelphia, pp 289–299

    Google Scholar 

  9. Harris ED (1997) Copper. In: O'Dell BL, Sunde RA (eds) Handbook of nutritionally essential minerals. Marcel Dekker, New York, pp 231–273

    Google Scholar 

  10. Food and Nutrition Board, Institute of Medicine (2001) Copper. Dietary reference intakes of vitamin A, vitamin K, boron, chromium, copper, iodine, iron, manganese, molybdenum, nickel, silicon, vanadium and zinc. National Academy, Washington, DC, pp 224–257

    Google Scholar 

  11. Johnson MA, Fischer JG, Kays SE (1992) Is copper an antioxidant nutrient? Crit Rev Food Sci Nutr 32(1):1–31

    Article  CAS  PubMed  Google Scholar 

  12. Larson CP, Roy SK, Khan AI, Rahman AS, Qadri F (2008) Zinc treatment to under five-children: applications to improve child survival and reduce burden of disease. J Health Popul Nutr 26(3):356–365

    PubMed  Google Scholar 

  13. Hambidge M (2000) Human zinc deficiency. J Nutr 130(5S Suppl):1344S–1349S

    CAS  PubMed  Google Scholar 

  14. Arvanitidou V, Voskaki I, Tripsianis G, Athanasopoulou H, Tsalkidis A, Filippidis S et al (2007) Serum copper and zinc concentrations in healthy children aged 3–14 years in Greece. Biol Trace Elem Res 115(1):1–12

    Article  CAS  PubMed  Google Scholar 

  15. Kouremenou-Dona E, Dona A, Papoutsis J, Spiliopoulou C (2006) Copper and zinc concentrations in serum of healthy Greek adults. Sci Total Environ 359(1–3):76–81

    CAS  PubMed  Google Scholar 

  16. Ahmed F, Barua S, Mohiduzzaman M, Shaheen N, Bhuyan MA, Margetts BM et al (1993) Interactions between growth and nutrient status in school-age children of urban Bangladesh. Am J Clin Nutr 58(3):334–338

    CAS  PubMed  Google Scholar 

  17. Alarcón OM, Reinosa Fuller J, Silva TM, Angarita C, Terán E, Navas M et al (1997) Serum level of Zn, Cu and Fe in healthy schoolchildren residing in Mérida, Venezuela. Arch Latinoam Nutr 47(2):118–122

    PubMed  Google Scholar 

  18. Ohtake M, Tamura T (1976) Serum zinc and copper levels in healthy Japanese children. Tohoku J Exp Med 120(2):99–103

    Article  CAS  PubMed  Google Scholar 

  19. Yakinci C, Paç A, Kuçukbay FZ, Tayfun M, Gul A (1997) Serum zinc, copper and magnesium levels in obese children. Acta Paediatr Jpn 39(3):339–341

    CAS  PubMed  Google Scholar 

  20. Hogberg L, Danielson L, Jarleman S, Sundqvist T, Stenhammar L (2008) Serum zinc in small children with coeliac disease. Acta Paediatr 98(2):343–345

    Article  PubMed  Google Scholar 

  21. McMaster D, McCrum E, Patterson CC, Kerr MM, O'Reilly D, Evans AE et al (1992) Serum copper and zinc in random samples of the population of Northern Ireland. Am J Clin Nutr 56(2):440–446

    CAS  PubMed  Google Scholar 

  22. Rukgauer M, Klein J, Kruse-Jarres JD (1997) Reference values for the trace elements copper, manganese, selenium and zinc in the serum/plasma of children, adolescents and adults. J Trace Elem Med Biol 11(2):92–98

    CAS  PubMed  Google Scholar 

  23. Gattás Zaror V, Fisberg M, Barrera Acevedo G, Dagagh-Imbarack RU (1987) Zinc nutrition in young Chilean adults. Arch Latinoam Nutr 37(2):239–249

    PubMed  Google Scholar 

  24. Diaz Romero C, Henriquez Sánchez P, López Blanco F, Rodriguez Rodriguez E, Serra Majem L (2002) Serum copper and zinc concentrations in a representative sample of the Cnarian population. J Trace Elem Med Biol 16(2):75–81

    Article  PubMed  Google Scholar 

  25. Farzin L, Moassesi ME, Sajadi F, Amiri M, Shams H (2008) Serum levels of antioxidants (Zn, Cu, Se) in healthy volunteers living in Tehran. Biol Trace Elem Res 129(1–3):36–45

    Google Scholar 

  26. Song WQ, Xu XW, Li QL, Cai YY (2008) Study on the distribution and correlation of trace elements in whole blood of children in Beijing. Zhonghua Liu Xing Bing Xue Za Zhi 29(6):564–568

    CAS  PubMed  Google Scholar 

  27. Lonnerdal (1996) Bioavailability of copper. Am J Clin Nutr 63:821S–829S

    CAS  PubMed  Google Scholar 

  28. Lonnerdal (2000) Dietary factors influencing zinc absorption. J Nutr 130:1378S–1383S

    CAS  PubMed  Google Scholar 

  29. Brown KA, Ogden J, Vogele C, Gibson EL (2008) The role of parental control practices in explaining children's diet and BMI. Appetite 50(2–3):252–259

    Article  PubMed  Google Scholar 

  30. Scaglioni S, Salvioni M, Galimberti C (2008) Influence of parental attitudes in the development of children eating behaviour. Br J Nutr 99(Suppl 1):S22–S25

    CAS  PubMed  Google Scholar 

Download references

Author information

Affiliations

Authors

Corresponding author

Correspondence to Irene Voskaki.

Rights and permissions

Reprints and Permissions

About this article

Cite this article

Voskaki, I., Arvanitidou, V., Athanasopoulou, H. et al. Serum Copper and Zinc Levels in Healthy Greek Children and Their Parents. Biol Trace Elem Res 134, 136–145 (2010). https://doi.org/10.1007/s12011-009-8462-2

Download citation

  • Received:

  • Accepted:

  • Published:

  • Issue Date:

  • DOI: https://doi.org/10.1007/s12011-009-8462-2

Keywords

  • Children
  • Copper
  • Nutrition
  • Parents
  • Zinc