Skip to main content

Evaluation of Selected White-Rot Fungal Isolates for Improving the Sugar Yield from Wheat Straw

Abstract

Biological pretreatment of lignocellulosic biomass by fungi can represent a low-cost and eco-friendly alternative to physicochemical methods to facilitate enzymatic hydrolysis. However, fungal metabolism can cause cellulose loss and it is therefore necessary to use the appropriate fungal strain-biomass type combination. In this work, the effects of biological pretreatments carried out by five different fungi on enzymatic hydrolysis of wheat straw were investigated. The best results were obtained with a Ceriporiopsis subvermispora strain, which minimized weight and cellulose losses and gave the highest net sugar yield (calculated with respect to the holocellulose content of the untreated straw), up to 44 % after a 10-week pretreatment, more than doubling the yields obtained with the other isolates. Moreover, prolonging the pretreatment from 4 up to 10 weeks produced a 2-fold increase, up to 60 %, in digestibility (sugar yield, calculated considering the holocellulose content of the pretreated material). The hemicellulose content of the pretreated material resulted inversely correlated with digestibility, and it could thus be utilized as an index of the pretreatment efficacy. Finally, a correlation was also found between digestibility and the difference between the absorbance values at 290 and 320 nm of pretreated wheat straw extracts.

This is a preview of subscription content, access via your institution.

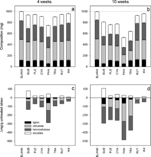
Fig. 1
Fig. 2
Fig. 3

References

  1. Sun, Y., & Cheng, J. (2002). Hydrolysis of lignocellulosic materials for ethanol production: a review. Bioresource Technology, 83, 1–11.

    CAS  Article  Google Scholar 

  2. Alvira, P., Tomás-Pejó, E., Ballesteros, M., & Negro, M. J. (2010). Pretreatment technologies for an efficient bioethanol production process based on enzymatic hydrolysis: a review. Bioresource Technology, 101, 4851–4861.

    CAS  Article  Google Scholar 

  3. Isroi, I., Miliati, R., Syamsiah, S., Niklasson, C., Cahyanto, M. N., Lundquist, K., et al. (2011). Biological pretreatment of lignocelluloses with white-rot fungi and its applications: a review. Bioresources, 6, 5224–5259.

    Google Scholar 

  4. Gupta, R., Mehta, G., Khasa, Y. P., & Kuhad, R. C. (2011). Fungal delignification of lignocellulosic biomass improves the saccharification of cellulosics. Biodegradation, 22, 797–804.

    CAS  Article  Google Scholar 

  5. Taniguchi, M., Suzuki, H., Watanabe, D., Sakai, K., Hoshino, K., & Tanaka, T. (2005). Evaluation of pretreatment with Pleurotus ostreatus for enzymatic hydrolysis of rice straw. Journal of Bioscience and Bioengineering, 100, 637–643.

    CAS  Article  Google Scholar 

  6. Keller, A. F., Hamilton, J. E., & Nguyen, Q. A. (2003). Microbial pretreatment of biomass. Applied Biochemistry and Biotechnology, 105–108, 27–41.

    Article  Google Scholar 

  7. Akin, D. E., Rigsby, L. L., Sethuraman, A., Morrison, W. H., III, Gamble, G. R., & Eriksson, K. E. L. (1995). Alterations in structure, chemistry, and biodegradability of grass lignocellulose treated with the white rot fungi Ceriporiopsis subvermispora and Cyathus stercoreus. Applied and Environmental Microbiology, 61, 1591–1598.

    CAS  Google Scholar 

  8. Salvachúa, D., Prieto, A., López-Abelairas, M., Lu-Chau, T., Martínez, A. T., & Martínez, M. J. (2011). Fungal pretreatment: an alternative in second-generation ethanol from wheat straw. Bioresource Technology, 102, 7500–7506.

    Article  Google Scholar 

  9. Kim, S., & Dale, B. E. (2004). Global potential bioethanol production from wasted crops and crop residues. Biomass and Bioenergy, 26, 361–375.

    Article  Google Scholar 

  10. Talebnia, F., Karakashev, D., & Angelidaki, I. (2010). Production of bioethanol from wheat straw: an overview on pretreatment, hydrolysis and fermentation. Bioresource Technology, 101, 4744–4753.

    CAS  Article  Google Scholar 

  11. Müller, H. W., & Trösch, W. (1986). Screening of white-rot fungi for biological pretreatment of wheat straw for biogas production. Applied Microbiology and Biotechnology, 24, 180–185.

    Article  Google Scholar 

  12. Cianchetta, S., Galletti, S., Burzi, P. L., & Cerato, C. (2012). Hydrolytic potential of Trichoderma sp. strains evaluated by microplate-based screening followed by switchgrass saccharification. Enzyme and Microbial Technology, 50, 304–310.

    CAS  Article  Google Scholar 

  13. Wan, C., & Li, Y. (2010). Microbial pretreatment of corn stover with Ceriporiopsis subvermispora for enzymatic hydrolysis and ethanol production. Bioresource Technology, 101, 6398–4603.

    CAS  Article  Google Scholar 

  14. Goering, H. K., & Van Soest, P. J. (1970). In Handbook no. 379: forage fiber analysis (apparatus, reagents, procedures, and some applications) (ARS/USDA, ed.) (pp. 1–12). Washington D. C: US Government Printing Office.

    Google Scholar 

  15. Miller, G. L. (1959). Use of dinitrosalicylic acid reagent for determination of reducing sugar. Analytical Chemistry, 31, 426–428.

    CAS  Article  Google Scholar 

  16. Cianchetta, S., Galletti, S., Burzi, P. L., & Cerato, C. (2010). A novel microplate-based screening strategy to assess the cellulolytic potential of Trichoderma strains. Biotechnology and Bioengineering, 107, 461–468.

    CAS  Article  Google Scholar 

  17. Bourbonnais, R., Paice, M. G., Reid, I. D., Lanthier, P., & Yaguchi, M. (1995). Lignin oxidation by laccase isozymes from Trametes versicolor and role of the mediator 2,29-azinobis(3-ethylbenzthiazoline-6-sulfonate) in kraft lignin depolymerization. Applied and Environmental Microbiology, 61, 1876–1880.

    CAS  Google Scholar 

  18. Archibald, F. S. (1992). A new assay for lignin-type peroxidases employing the dye AzureB. Applied and Environmental Microbiology, 58, 3110–3116.

    CAS  Google Scholar 

  19. Orth, A. B., Royse, D. J., & Tien, M. (1993). Ubiquity of lignin-degrading peroxidases among various wood-degrading fungi. Applied and Environmental Microbiology, 59, 4017–4023.

    CAS  Google Scholar 

  20. Wan, C., & Li, Y. (2010). Microbial delignification of corn stover by Ceriporiopsis subvermispora for improving cellulose digestibility. Enzyme Microbial Technology, 47, 31–36.

    CAS  Article  Google Scholar 

  21. Sun, F., Li, J., Yuan, Y., Yan, Z., & Liu, X. (2011). Effect of biological pretreatment with Trametes hirsuta yj9 on enzymatic hydrolysis of corn stover. International Biodeterioration and Biodegradation, 65, 931–938.

    CAS  Article  Google Scholar 

  22. Dorado, J., Almendros, G., Camarero, S., Martinez, A. T., Vares, T., & Hatakka, A. (1999). Transformation of wheat straw in the course of solid-state fermentation by four ligninolytic basidiomycetes. Enzyme Microbial Technology, 25, 605–612.

    CAS  Article  Google Scholar 

  23. Ferraz, A., Cordovam, A. M., & Machuca, A. (2003). Wood biodegradation and enzyme production by Ceriporiopsis subvermispora during solid state fermentation of Eucalyptus grandis. Enzyme Microbial Technology, 32, 59–65.

    CAS  Article  Google Scholar 

  24. Akin, D. E., Sethuraman, A., Morrison, V. H., III, Martin, S. A., & Eriksson, K. E. L. (1993). Microbial delignification with white-rot fungi improves forage digestibility. Applied and Environmental Microbiology, 59, 4274–4282.

    CAS  Google Scholar 

  25. Blanco, M. J., & Almendros, G. (1997). Chemical transformation, phytotoxicity and nutrient availability in progressive composting stages of wheat straw. Plant and Soil, 196, 15–25.

    CAS  Article  Google Scholar 

  26. López-Abelairas, M., Lu-Chau, T. A., & Lema, J. M. (2013). Fermentation of biologically pretreated wheat straw for ethanol production: comparison of fermentative microorganisms and process configurations. Applied Biochemistry and Biotechnology, 170(8), 1838–1852.

    Article  Google Scholar 

  27. Amirta, R., Tanabe, T., Watanabe, T., Honda, Y., Kuwahara, M., & Watanabe, T. (2006). Methane fermentation of Japanese cedar wood pretreated with a white rot fungus, Ceriporiopsis subvermispora. Journal of Biotechnology, 123, 71–77.

    CAS  Article  Google Scholar 

  28. Wan, C., & Li, Y. (2011). Effectiveness of microbial pretreatment by Ceriporiopsis subvermispora on different biomass feedstocks. Bioresource Technology, 102, 7507–7512.

    CAS  Article  Google Scholar 

  29. Hwang, S. S., Lee, S. J., Kim, H. K., Ka, J. O., Kim, K. J., & Song, H. G. (2008). Biodegradation and saccharification of wood chips of Pinus strobus and Liriodendron tulipifera by white rot fungi. Journal of Microbiology and Biotechnology, 18, 1819–1826.

    CAS  Google Scholar 

  30. Schmutzer, M., Schwanninger, M., Fackler, K., Messner, K., & Gradinger, C. (2008). Comparison of methods to evaluate the potential of fungal growth on decay of spruce wood after short-time treatment. International Biodeterioration and Biodegradation, 61, 319–324.

    CAS  Article  Google Scholar 

  31. Kubicek, C. P., & Harman, G. E. (1998). Trichoderma and Gliocladium, Basic biology, taxonomy and genetics (Vol. 1). London: Taylor & Francis.

    Google Scholar 

  32. Nilsson, I., Möller, A., Mattiasson, B., Rubindamayugi, M. S. T., & Welander, U. (2006). Decolorization of synthetic and real textile wastewater by the use of white-rot fungi. Enzyme Microbial Technology, 38, 94–100.

    CAS  Article  Google Scholar 

  33. Sadhasivam, S., Savitha, S., & Swaminathan, K. (2007). Exploitation of Trichoderma harzianum mycelial waste for the removal of rhodamine 6G from aqueous solution. Journal of Environmental Management, 85, 155–161.

    CAS  Article  Google Scholar 

  34. Arora, D. S., Chander, M., & Gill, P. K. (2002). Involvement of lignin peroxidase, manganese peroxidase and laccase in degradation and selective ligninolysis of wheat straw. International Biodeterioration and Biodegradation, 50, 115–120.

    CAS  Article  Google Scholar 

  35. Shrivastava, B., Thakur, S., Khasa, Y. P., Gupte, A., Puniya, A. K., & Kuhad, R. C. (2011). White rot fungal conversion of wheat straw to energy rich cattle feed. Biodegradation, 22, 823–831.

    CAS  Article  Google Scholar 

Download references

Acknowledgments

This research was carried out in the framework of the “BIOSEGEN Project” funded by the Italian Ministry of Agricultural, Food and Forestry Policies, D.M. 17532/7303/10.

Author information

Affiliations

Authors

Corresponding author

Correspondence to Stefano Cianchetta.

Rights and permissions

Reprints and Permissions

About this article

Cite this article

Cianchetta, S., Di Maggio, B., Burzi, P.L. et al. Evaluation of Selected White-Rot Fungal Isolates for Improving the Sugar Yield from Wheat Straw. Appl Biochem Biotechnol 173, 609–623 (2014). https://doi.org/10.1007/s12010-014-0869-3

Download citation

  • Received:

  • Accepted:

  • Published:

  • Issue Date:

  • DOI: https://doi.org/10.1007/s12010-014-0869-3

Keywords

  • Biological pretreatment
  • White-rot fungi
  • Ceriporiopsis subvermispora
  • Wheat straw
  • Enzymatic hydrolysis
  • UV absorbance