Skip to main content

Aldehyde Oxidase Activity and Stability in Water-Miscible Organic Solvents

Abstract

In this study, the catalytic activity of aldehyde oxidase was investigated in various water-miscible organic solvents for the first time. The enzyme was partially purified from rabbit liver, and its activity was determined in the absence/presence of nine hydro-organic mixtures. The effects of pH and temperature on the enzyme activity were also investigated. The activity was reduced in the presence of all nine organic solvents. However, in some cases, the residual activity remained almost unchanged throughout the incubation of enzyme at 35 °C for 24 h. Considering potential advantages of doing reactions in the presence of organic solvents, these results could be of value. The enzyme showed different behavior in the reaction solutions making it difficult to formulate results in a single comprehensive model. The results indicated that binding and cleavage of the substrate are influenced in the presence of organic solvents.

This is a preview of subscription content, access via your institution.

Fig. 1
Fig. 2
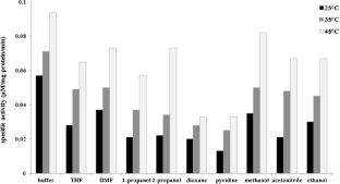
Fig. 3
Fig. 4
Fig. 5

References

  1. Simon, L. M., Kotorman, M., Szabo, A., Nemcsok, J., & Laczko, I. (2009). Process Biochemistry, 42, 909–912.

    Article  Google Scholar 

  2. Enrico Garattini, E., Ralf Mendel, R., Maria Joao Romao, M. J., Wright, R., & Terao, M. (2003). Biochemical Journal, 372, 15–32.

    Article  Google Scholar 

  3. Rashidi, M. R., & Nazemiyeh, H. (2010). Expert Opinion on Drug Metabolism & Toxicology, 6(2), 133–152.

    Article  CAS  Google Scholar 

  4. Pirouzpanah, S., Hanaee, J., Razavieh, S. V., & Rashidi, M. R. (2009). Journal of Enzyme Inhibition and Medicinal Chemistry, 24, 14–21.

    Article  CAS  Google Scholar 

  5. Amini, K., Sorouraddin, M. H., & Rashidi, M. R. (2010). Technology and Science, 34(2), 173–177.

    Google Scholar 

  6. Pryde, D. C., Dalvie, D., Hu, Q., Jones, P., Obach, R. S., & Tran, T. (2010). Journal of Medicinal Chemistry, 53, 8441–8460.

    Article  CAS  Google Scholar 

  7. Rashidi, M. R., Smith, J. A., Clarke, S. E., & Beedham, C. (1997). Drug Metabolism and Disposition, 25, 805–813.

    CAS  Google Scholar 

  8. Jordan, C. G., Rashidi, M. R., Laljee, H., Clarke, S. E., Brown, J. E., & Beedham, C. (1999). Journal of Pharmacy and Pharmacology, 51, 411–418.

    Article  CAS  Google Scholar 

  9. Chalmers, A. H., Knight, P. R., & Atkinson, M. R. (1969). Australian Journal of Experimental Biology and Medical Science, 47, 263–273.

    Article  CAS  Google Scholar 

  10. Rashidi, M. R., Beedham, C., Smith, J. S., & Davaran, S. (2007). Drug Metabolism and Pharmacokinetics, 22(4), 299–306.

    Article  CAS  Google Scholar 

  11. Panoutsopoulos, G. I., Kouretas, D., Gounaris, E. G., & Beedham, C. (2004). European Journal of Drug Metabolism and Pharmacokinetics, 29(2), 111–118.

    Article  CAS  Google Scholar 

  12. Garattini, E., Fratelli, M., & Terao, M. (2009). Human Genomics, 4(2), 119–130.

    CAS  Google Scholar 

  13. Berger, R., Mezey, E., Clancy, K. P., Harta, G., Wright, R. M., Repine, J. E., Brown, R. H., Brownstein, M., & Patterson, D. (1995). Somatic Cell and Molecular Genetics, 21(2), 121–131.

    Article  CAS  Google Scholar 

  14. Shaw, S., & Jayatilleke, E. (1990). Free Radical Biology and Medicine, 9(1), 11–17.

    Article  CAS  Google Scholar 

  15. Smolen, A., Smolen, T. N., & Collins, A. C. (1982). Pharmacology Biochemistry & Behavior, 17(1), 91–97.

    Article  CAS  Google Scholar 

  16. Johnson, C., Stubley-Beedham, C., Godfrey, J., & Stell, P. (1985). Biochemical Pharmacology, 34(24), 4251. doi:10.1016/0006-2952(85)90280-1.

    Article  CAS  Google Scholar 

  17. Ruth, D. M., Buckley, S. J., O'Connor, B. F., & O'Fagain, C. (2007). Enzyme and Microbial Technology, 41, 307–311.

    Article  CAS  Google Scholar 

  18. Guo, B. Y., Wen, B., Shan, X. Q., Zhang, S. Z., & Lin, J. M. (2005). Journal of Chromatography A, 1074, 205–213.

    Article  CAS  Google Scholar 

  19. D'Acunzo, F., Barreca, A. M., & Galli, C. (2004). Journal of Molecular Catalysis B: Enzymatic, 31, 25–30.

    Article  Google Scholar 

  20. Pazhang, M., Khajeh, K., Ranjbar, B., & Hosseinkhani, S. (2006). Journal of Biotechnology, 127, 45–53.

    Article  CAS  Google Scholar 

  21. Serebryakova, L. T., Zorin, N. A., & Karyakin, A. A. (2009). Enzyme and Microbial Technology, 5, 329–333.

    Article  Google Scholar 

  22. Faulds, C. B., Perez-Boada, M., & Martinez, A. T. (2011). Bioresource Technology, 8, 4962–4967.

    Article  Google Scholar 

  23. Yang, L., Dordick, J. S., & Garde, S. (2004). Biophysical Journal, 87, 812–821.

    Article  CAS  Google Scholar 

Download references

Author information

Affiliations

Authors

Corresponding author

Correspondence to Mohammad-Reza Rashidi.

Rights and permissions

Reprints and Permissions

About this article

Cite this article

Rashidi, MR., Dehghany, M., Dehghan, G. et al. Aldehyde Oxidase Activity and Stability in Water-Miscible Organic Solvents. Appl Biochem Biotechnol 169, 901–910 (2013). https://doi.org/10.1007/s12010-012-0036-7

Download citation

  • Received:

  • Accepted:

  • Published:

  • Issue Date:

  • DOI: https://doi.org/10.1007/s12010-012-0036-7

Keywords

  • Aldehyde oxidase
  • Water-miscible organic solvents
  • Enzyme activity
  • Thermal stability
  • Kinetic constants