Skip to main content

Total Soluble Solids from Banana: Evaluation and Optimization of Extraction Parameters

Abstract

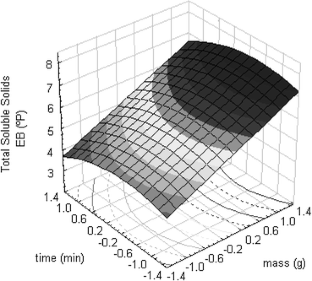
Banana, an important component in the diet of the global population, is one of the most consumed fruits in the world. This fruit is also very favorable to industry processes (e.g., fermented beverages) due to its rich content on soluble solids and minerals, with low acidity. The main objective of this work was to evaluate the influence of factors such as banana weight and extraction time during a hot aqueous extraction process on the total soluble solids content of banana. The extract is to be used by the food and beverage industries. The experiments were performed with 105 mL of water, considering the moisture of the ripe banana (65%). Total sugar concentrations were obtained in a beer analyzer and the result expressed in degrees Plato (°P, which is the weight of the extract or the sugar equivalent in 100 g solution at 20 °C), aiming at facilitating the use of these results by the beverage industries. After previous studies of characterization of the fruit and of ripening performance, a 22 full-factorial star design was carried out, and a model was developed to describe the behavior of the dependent variable (total soluble solids) as a function of the factors (banana weight and extraction time), indicating as optimum conditions for extraction 38.5 g of banana at 39.7 min.

This is a preview of subscription content, access via your institution.

Fig. 1
Fig. 2

References

  1. Serrat, M., Bermúdez, R. C., & Villa, T. G. (2004). Applied Biochemistry and Biotechnology, 17(1), 49–64. doi:10.1385/ABAB:117:1:49.

    Article  Google Scholar 

  2. Guémas, Y., Boujtita, M., & Murr, N. L. (2000). Applied Biochemistry and Biotechnology, 89(2–3), 171–182. doi:10.1385/ABAB:89:2-3:171.

    Article  Google Scholar 

  3. Harish, S., Kavino, M., Kumar, N., Saravanakumar, D., Soorianathasundaram, K., & Samiyappan, R. (2008). Applied Soil Ecology, 39, 187–200. doi:10.1016/j.apsoil.2007.12.006.

    Article  Google Scholar 

  4. Cano, M. P., Ancos, B., Matallana, M. C., Camara, M., Reglero, G., & Tabera, J. (1997). Food Chemistry, 59, 411–419. doi:10.1016/S0308-8146(96)00285-3.

    Article  CAS  Google Scholar 

  5. Hardisson, A., Rubio, C., Baez, A., Martin, M., Alvarez, R., & Diaz, E. (2001). Food Chemistry, 73, 153–161. doi:10.1016/S0308-8146(00)00252-1.

    Article  CAS  Google Scholar 

  6. FAO, Food and Agriculture Organization of the United Nations.(2008) FAOSTAT statistics database http://faostat.fao.org/site/567/DesktopDefault.aspx?PageID=567 (last updated 11 May 2008).

  7. Lundstedt, T., Seifert, E., Abramo, L., Thelin, B., Nystrom, A., Pettersena, J., et al. (1998). Chemometrics and Intelligent Laboratory Systems, 42, 3–40. doi:10.1016/S0169-7439(98)00065-3.

    Article  CAS  Google Scholar 

  8. Lee, K. M., & Gilmore, D. F. (2006). Applied Biochemistry and Biotechnology, 135(2), 101–116. doi:10.1385/ABAB:135:2:101.

    Article  CAS  Google Scholar 

  9. Box, G. E. P., Hunter, W., & Hunter, J. S. (1978). Statistics for experimenters. New York: Wiley.

    Google Scholar 

  10. Loeseck, H. W. (1950). Chemical changes during ripening. Bananas—chemistry, physiology and technology, v.4. New York: Interscience.

    Google Scholar 

  11. IAL—Normas Analíticas do Instituto Adolfo Lutz (1985). Métodos Químicos e Físicos para Análise de Alimentos v.1 3 a ed. São Paulo: Instituto Adolfo Lutz.

    Google Scholar 

  12. Somogy, M. A. (1945). The Journal of Biological Chemistry, 160(1), 601–668.

    Google Scholar 

  13. Nelson, N. A. (1944). The Journal of Biological Chemistry, 153, 375–380.

    CAS  Google Scholar 

  14. Silva, D. P., Brányik, T., Dragone, G., Vicente, A. A., Teixeira, J. A., & Almeida e Silva, J. B. (2008). Chem. Pap, 62(1), 34–41. doi:10.2478/s11696-007-0076-6.

    Article  CAS  Google Scholar 

  15. Adão, R. C., & Glória, M. B. A. (2005). Food Chemistry, 90, 705–711. doi:10.1016/j.foodchem.2004.05.020.

    Article  Google Scholar 

  16. Fernandes, K. M., Carvalho, V. D., & Cal-Vidal, J. (1979). Journal of Food Science, 44(4), 1254–1255. doi:10.1111/j.1365-2621.1979.tb03493.x.

    Article  CAS  Google Scholar 

  17. Zhang, P., Whistler, R. L., BeMiller, J. N., & Hamaker, B. R. (2005). Carbohydrate Polymers, 59, 443–458. doi:10.1016/j.carbpol.2004.10.014.

    Article  CAS  Google Scholar 

  18. Mota, R. V., Lajolo, F. M., & Cordenunsi, B. R. (1997). Ciência Tecnol de Alimentes, 17(2), 94–97.

    CAS  Google Scholar 

Download references

Acknowledgments

The authors would like to thank the Fundação de Amparo à Pesquisa do Estado de São Paulo (Fapesp) and Coordenação para Aperfeiçoamento do Ensino Superior (CAPES), Brazil, Fundação para a Ciência e Tecnologia (FCT) and Gabinete de Relações Internacionais da Ciência e do Ensino Superior (GRICES), Portugal, for their financial support in this work.

Author information

Affiliations

Authors

Corresponding author

Correspondence to Daniel P. Silva.

Rights and permissions

Reprints and Permissions

About this article

Cite this article

Carvalho, G.B.M., Silva, D.P., Santos, J.C. et al. Total Soluble Solids from Banana: Evaluation and Optimization of Extraction Parameters. Appl Biochem Biotechnol 153, 34–43 (2009). https://doi.org/10.1007/s12010-008-8462-2

Download citation

  • Received:

  • Accepted:

  • Published:

  • Issue Date:

  • DOI: https://doi.org/10.1007/s12010-008-8462-2

Keywords

  • Banana
  • Soluble sugars
  • Extraction process
  • Experimental design
  • Response surface