Skip to main content

Sugarcane Bagasse Mild Alkaline/Oxidative Pretreatment for Ethanol Production by Alkaline Recycle Process

Abstract

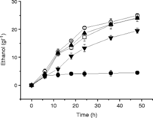
In order to decrease the alkali and water consumptions in the sugarcane bagasse alkaline/oxidative pretreatment for ethanol production, an alkaline recycle process was carried out. Two recycles of NaOH/H2O2 pretreatment did not decrease the pretreatment and enzymatic hydrolysis efficiencies and the consumptions of NaOH and water would be saved by 26% and 40%, respectively. A simultaneous saccharification and fermentation (SSF) culture with pretreated bagasse as substrate was developed giving 25 g ethanol l−1 with a yield of 0.2 g g−1 bagasse and productivity of 0.52 g l−1 h−1.

This is a preview of subscription content, access via your institution.

Fig. 1
Fig. 2
Fig. 3

References

  1. Duff, S. J. B., & Murray, W. D. (1996). Bioconversion of forest products industry waste cellulosics to fuel ethanol: a review. Bioresource Technology, 55, 1–33.

    Article  CAS  Google Scholar 

  2. Wyman, C. E. (1999). Biomass ethanol: technical progress, opportunities, and commercial challenges. Annual Review of Energy and the Environment, 24, 189–226.

    Article  Google Scholar 

  3. Grethlein, H. E. (1991). Common aspects of acid prehydrolysis and steam explosion for pretreating wood. Bioresource Technology, 36, 77–82.

    Article  CAS  Google Scholar 

  4. Kaar, W. E., Gutierrez, C. V., & Kinoshita, C. M. (1998). Steam explosion of sugarcane bagasse as a pretreatment for conversion to ethanol. Biomass & Bioenergy, 14, 277–287.

    Article  CAS  Google Scholar 

  5. Saha, B. C., Iten, L. B., Cotta, M. A., & Wu, Y. V. (2005). Dilute acid pretreatment, enzymatic saccharification, and fermentation of rice hulls to ethanol. Biotechnology Progress, 21, 816–822.

    Article  CAS  Google Scholar 

  6. Martín, C., Klinke, H. B., & Thomsen, A. B. (2007). Wet oxidation as a pretreatment method for enhancing the enzymatic convertibility of sugarcane bagasse. Enzyme and Microbial Technology, 40, 426–432.

    Article  Google Scholar 

  7. Playne, M. J. (1984). Increased digestibility of bagasse by pretreatment with alkalis and steam explosion. Biotechnology and Bioengineering, 26, 426–433.

    Article  CAS  Google Scholar 

  8. Gould, J. M. (1984). Alkaline peroxide delignification of agricultural residues to enhance enzymatic saccharification. Biotechnology and Bioengineering, 24, 46–52.

    Article  Google Scholar 

  9. Mishima, D., Tateda, M., Ike, M., & Fujita, M. (2006). Comparative study on chemical pretreatments to accelerate enzymatic hydrolysis of aquatic macrophyte biomass used in water purification processes. Bioresource Technology, 97, 2166–2172.

    Article  CAS  Google Scholar 

  10. Curreli, N., Fadda, M. B., Rescigno, A., Rinaldi, A. C., Soddu, G., Sollai, F., Vaccargiu, S., Sanjust, E., & Rinaldi, A. (1997). Mild alkaline/oxidative pretreatment of wheat straw. Process Biochemistry, 32, 665–670.

    Article  CAS  Google Scholar 

  11. Krishna, S. H., Prasanthi, K., Chowdary, G. V., & Ayyanna, C. (1988). Simultaneous saccharification and fermentation of pretreated sugar cane leaves to ethanol. Process Biochemistry, 33, 825–830.

    Article  Google Scholar 

  12. Varga, E., Klinke, H. B., Reczey, K., & Thomsen, A. B. (2004). High solid simultaneous saccharification and fermentation of wet oxidized corn stover to ethanol. Biotechnology and Bioengineering, 88(5), 567–574.

    Article  CAS  Google Scholar 

  13. Shi, S. L. (2003). Analysis and detection of pulping and papermaking (1st ed.). Beijing, China: Chinese Light Industry Press.

    Google Scholar 

  14. Ghose, T. K. (1987). Measurement of cellulase activities. Pure and Applied Chemistry, 59, 257–268.

    Article  CAS  Google Scholar 

Download references

Acknowledgement

This study was supported by the National Basic Research of China (2004CB719703), State 863 Program (2007AA100702) and Open Fund of Key Laboratory of Microbiology, College of Life Sciences, Heilongjiang University.

Author information

Affiliations

Authors

Corresponding author

Correspondence to Jian-An Zhang.

Rights and permissions

Reprints and Permissions

About this article

Cite this article

Cheng, KK., Zhang, JA., Ping, WX. et al. Sugarcane Bagasse Mild Alkaline/Oxidative Pretreatment for Ethanol Production by Alkaline Recycle Process. Appl Biochem Biotechnol 151, 43–50 (2008). https://doi.org/10.1007/s12010-008-8177-4

Download citation

  • Received:

  • Accepted:

  • Published:

  • Issue Date:

  • DOI: https://doi.org/10.1007/s12010-008-8177-4

Keywords

  • Bagasse
  • Cellulase
  • Enzymatic hydrolysis
  • Ethanol
  • Fermentation
  • Pretreatment