Skip to main content

Succinic Acid Production from Cheese Whey using Actinobacillus succinogenes 130 Z

Abstract

Actinobacillus succinogenes 130 Z was used to produce succinic acid from cheese whey in this study. At the presence of external CO2 supply, the effects of initial cheese whey concentration, pH, and inoculum size on the succinic acid production were studied. The by-product formation during the fermentation process was also analyzed. The highest succinic acid yield of 0.57 was obtained at initial cheese whey concentration of 50 g/L, while the highest succinic acid productivity of 0.58 g h−1 L−1 was obtained at initial cheese whey concentration of 100 g/L. Increase in pH and inoculum size caused higher succinic acid yield and productivity. At the preferred fermentation condition of pH 6.8, inoculum size of 5% and initial cheese whey concentration of 50 g/L, succinic acid yield of 0.57, and productivity of 0.44 g h−1 L−1 were obtained. Acetic acid and formic acid were the main by-products throughout the fermentation run of 48 h. It is feasible to produce succinic acid using lactose from cheese whey as carbon resource by A. succinogenes 130 Z.

This is a preview of subscription content, access via your institution.

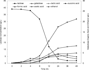
Fig. 1
Fig. 2
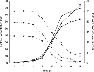
Fig. 3
Fig. 4
Fig. 5
Fig. 6
Fig. 7

References

  1. Gottoschalk, G. (1986). Bacterial Metabolism, 2nd ed. New York: Springer-Verlag, pp. 242–249.

    Google Scholar 

  2. Zeikus, J. G., Jain, M. K., & Elankovan, P. (1999). Applied Microbiology and Biotechnology, 51, 542–552.

    Article  Google Scholar 

  3. Song, H., & Lee, S. Y. ( 2006). Enzyme and Microbial Technology, 39, 352–361.

    Article  CAS  Google Scholar 

  4. Landucci, R., Goodman, B., & Wyman, C. (1994). Applied Biochemistry and Biotechnology, 45-46, 678–696.

    Article  Google Scholar 

  5. Zeikus, J. G. (1980). Annual Review of Microbiology, 34, 423–464.

    Article  CAS  Google Scholar 

  6. Lee, P. C., Lee, W. G., Lee, S., & Chang, H. N. (2001). Biotechnology and Bioengineering, 72, 41–48.

    Article  CAS  Google Scholar 

  7. Lee, P. C., Lee, S. Y., Hong, S. H., & Chang, H. N. (2002). Applied Microbiology and Biotechnology, 58, 663–668.

    Article  CAS  Google Scholar 

  8. Huh, Y. S., Jun, Y. S., Hong, K. H., Song, H., Lee, S. Y., & Hong, W. H. (2006). Process Biochemistry, 41, 1461–1465.

    Article  CAS  Google Scholar 

  9. McKinlay, J. B., Zeikus, J. G., & Vieille, C. ( 2005). Applied and Environmental Microbiology, 71, 6651–6656.

    Article  CAS  Google Scholar 

  10. Kim, D. Y., Yim, S. C., Lee, P. C., Lee, W. G., Lee, S. Y., & Chang, H. N. (2004) Enzyme and Microbial Technology, 35, 648–653.

    Article  CAS  Google Scholar 

  11. Samuelov, N. S., Datta, R., Mahendra, K. J., & Zeikus, J. G. (1999). Applied and Environmental Microbiology, 65, 2260–2263.

    CAS  Google Scholar 

  12. Guettler, M. V., Rumler, D., & Jain, M. K. (1999). International Journal of Systematic Bacteriology, 49, 207–216.

    CAS  Article  Google Scholar 

  13. Guettler, M. V., Jain, M. K., & Rumler D. (1996). US Patent 5,573,931.

  14. Guettler, M. V., Jain, M. K., & Soni, B. K. (1996) US Patent 5,504,004.

  15. Urbance, S. E., Pometto, A. L., DiSpirito, A. A., & Denli, Y. (2004). Applied Microbiology and Biotechnology, 65, 664–670.

    Article  CAS  Google Scholar 

  16. Van der Werf, M. J., Guettler, M. V., Jain, M. K., & Zeikus, J. G. (1997). Archives of Microbiology, 167, 332–342.

    Article  Google Scholar 

  17. Li, Y.B., Shahbazi, A., & Coulibaly, S. (2006). Transaction of the ASABE, 49, 1–5.

    Google Scholar 

  18. Gonzalez, S. M. I. (1996). Bioresource Technology, 57, 1–11.

    Article  Google Scholar 

  19. Lee, P. C., Lee, S. Y., Hong, S. H., & Chang, H. N. (2003). Bioprocess and Biosystems Engineering, 26, 63–67.

    Article  CAS  Google Scholar 

  20. Lee, P. C., Lee, W. G., Kwon, S., Lee, S. Y., & Chang, H. N. (1999). Enzyme and Microbial Technology, 24, 549–554.

    Article  CAS  Google Scholar 

  21. Isar, J., Agarwal, L., Saurabh, S., & Saxena, R. K. (2006). Anaerobe, 12, 231–237.

    Article  CAS  Google Scholar 

  22. Wee, Y. J., Yun, J. S., Kang, K. H., & Ryu, H. W. (2002). Applied Microbiology and Biotechnology, 98–100, 1093–1104.

    Google Scholar 

  23. Kim, P., Laivenieks, M., Vieille, C., & Zeikus, J.G. (2004). Applied and Environmental Microbiology, 70, 1238–1241.

    Article  CAS  Google Scholar 

Download references

Acknowledgements

The authors thank Michele R. Mims for the assistance in sample analysis. Financial support from USDA CSREES Evans-Allen Program is also greatly appreciated.

Author information

Affiliations

Authors

Corresponding author

Correspondence to Yebo Li.

Rights and permissions

Reprints and Permissions

About this article

Cite this article

Wan, C., Li, Y., Shahbazi, A. et al. Succinic Acid Production from Cheese Whey using Actinobacillus succinogenes 130 Z. Appl Biochem Biotechnol 145, 111–119 (2008). https://doi.org/10.1007/s12010-007-8031-0

Download citation

  • Received:

  • Accepted:

  • Published:

  • Issue Date:

  • DOI: https://doi.org/10.1007/s12010-007-8031-0

Keywords

  • Succinic acid
  • Cheese whey
  • Lactose
  • Fermentation
  • Actinobacillus succinogenes