Abstract
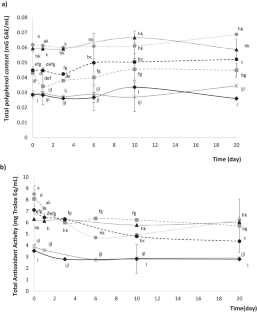
An orange-tangerine juice processed by pilot-scale UV-C light (390 mJ/cm2) assisted by mild heat (UV-C/H,50 °C) and enriched with yerba mate (YM) extract (UV-C/H + E) or encapsulated YM extract (UV-C/H + EE) is proposed. The inactivation of Escherichia coli, Lactiplantibacillus plantarum, and Saccharamyces cerevisiae was assessed. Juice samples were analysed for polyphenol content (TPC), total antioxidant activity (TAA), colour, turbidity, and °Brix along refrigerated storage (4 °C; 20 days). For the UV-C/H + E and UV-C/H + EE juices, dynamic consumer profiling studies were performed. According to the challenge study, UV-C/H induced high microbial inactivation (4.9–5.8 log-reductions). TPC (0.059 ± 0.002 mg GAE/mL) and TAA (6.3 ± 0.2 mg TroloxEq/mL) in the UV-C/H + EE juice were 2.1 and 1.6 times greater than the untreated ones, respectively. The UV-C/H + E juice displayed a slightly lower increase in TPC (0.045 ± 0.020 mgGAE/mL), but similar TAA (7.1 ± 0.3 mgTroloxEq/mL), compared to the UV-C/H + EE juice. Therefore, the encapsulation procedure prevented YM extract from TPC degradation. UV-C/H did not alter juice colour while YM addition increased its turbidity. Frequent consumers of YM tea showed a high willingness to try the juice. A cluster sensory analysis revealed that one group of consumers was interested in the sour and herbal aroma of the UV-C/H + E and UV-C/H + EE juices. The T-CATA question showed that the sweetness and herbal aroma of the UV-C/H + E juice were better perceived with sips; whereas, UV-C/H + EE juice perception shifted from fruity, herbal aroma, and sweet to intense taste, bitterness, and pleasant aroma. Thus, YM extract encapsulation also contributed to mask juice bitterness in the first sip while highlighting its sweetness. However, as juice intake proceeded, the panelists perceived juice bitterness more intensely.





Similar content being viewed by others
Data Availability
The data and material presented in this study will be made available on reasonable request.
References
Aghajanpour, M., Nazer, M. R., Obeidavi, Z., Akbari, M., Ezati, P., & Kor, N. M. (2017). Functional foods and their role in cancer prevention and health promotion: A comprehensive review. American Journal of Cancer Research, 7(4), 740.
Antonio-Gutiérrez, O., López-Díaz, A., Palou, E., López-Malo, A., & Ramírez-Corona, N. (2019). Characterization and effectiveness of short-wave ultraviolet irradiation reactors operating in continuous recirculation mode to inactivate Saccharomyces cerevisiae in grape juice. Journal of Food Engineering, 241, 88–96.
Ares, G., Giménez, A., & Gámbaro, A. (2009). Consumer perceived healthiness and willingness to try functional milk desserts Influence of ingredient ingredient name and health claim. Food Quality and Preference, 20(1), 50–56.
Baeza, G., Sarriá, B., Bravo, L., & Mateos, R. (2018). Polyphenol content in vitro bioaccessibility and antioxidant capacity of widely consumed beverages. Journal of the Science of Food and Agriculture, 98(4), 1397–1406.
Ballesteros, L. F., Ramirez, M. J., Orrego, C. E., Texeira, J. A., & Mussatto, S. I. (2017). Encapsulation of antioxidant phenolic compounds extracted from spent coffee grounds by freeze-drying and spray drying using different coating materials. Food Chemistry, 237, 623–631. https://doi.org/10.1016/j.foodchem.2017.05.142
Berté, K. A. S., Izidoro, D. R., Dutra, F. L. G., & Hoffmann-Ribani, R. (2011). Desenvolvimento de gelatina funcional de erva-mate. Ciência Rural, 41, 354–360.
Biancaniello, M., Popović, V., Fernandez-Avila, C., Ros-Polski, V., & Koutchma, T. (2018). Feasibility of a novel industrial-scale treatment of green cold-pressed juices by UV-C light exposure. Beverages, 4(2), 29.
Burris, K. P., Harte, F. M., Davidson, P. M., Stewart, C. N., Jr., & Zivanovic, S. (2012). Composition and bioactive properties of yerba mate (Ilex paraguariensis A St-Hil): A review. Chilean Journal of Agricultural Research, 72(2), 268.
Burris, K., Higginbotham, K., Neal Stewart, C., & Jr,. (2015). Aqueous extracts of yerba mate as bactericidal agents against methicillin-resistant Staphylococcus aureus in a microbiological medium and ground beef mixtures. Food Control, 50, 748–753.
Char, C. D., Guerrero, S. N., & Alzamora, S. M. (2010). Mild thermal process combined with vanillin plus citral to help shorten the inactivation time for Listeria innocua in orange juice. Food and Bioprocess Technology, 3(5), 752–761.
Emamifar, A., Kadivar, M., Shahedi, M., & Soleimanian-Zad, S. (2011). Effect of nanocomposite packaging containing Ag and ZnO on inactivation of Lactobacillus plantarum in orange juice. Food Control, 22, 408–413.
Everitt, B., & Hothorn, T. (2011). An introduction to applied multivariate analysis with R. Springer Science & Business Media.
FAO. (2018). Juice and beverage blends. In: R.P. Bates, J.R. Morris, & P.G. Crandall (Eds.), Principles and practices of small-medium scale fruit juice processing. Rome: FAO Agricultural Services, bulletin 146. http://www.fao.org/tempref/docrep/fao/004/y2515e/Y2515E03.pdf
Fayad, E., El-Sawalhi, S., Azizi, L., Beyrouthy, M., & Abdel-Massih, R. M. (2020). Yerba Mate (Ilex paraguariensis) a potential food antibacterial agent and combination assays with different classes of antibiotics. LWT-Food Science and Technology, 125, 109267.
Fenoglio, D., Ferrario, M., Schenk, M., & Guerrero, S. (2020). Effect of pilot-scale UV-C light treatment assisted by mild heat on E. coli, L. plantarum, and S. cerevisiae inactivation in clear and turbid fruit juices. Storage study of surviving populations. International Journal of Food Microbiology, 332, 108767.
Fenoglio, D., Madrid, D. S., Moyano, J. A., Ferrario, M., Guerrero, S., & Matiacevich, S. (2021). Active food additive based on encapsulated yerba mate (Ilex paraguariensis) extract: Effect of drying methods on the oxidative stability of a real food matrix (mayonnaise). Journal of Food Science and Technology, 58(4), 1574–1584.
Ferrari Pereira Lima, I., et al. (2012). Development of an innovative nutraceutical fermented beverage from herbal mate (Ilex paraguariensis A St-Hil) extract. International Journal of Molecular Sciences, 13(1), 788–800.
Ferrario, M., Schenk, M., García Carrillo, M., & Guerrero, S. (2018). Development and quality assessment of a turbid carrot-orange juice blend processed by UV-C light assisted by mild heat and addition of Yerba Mate (Ilex paraguariensis) extract. Food Chemistry, 269, 567–576.
Frizon, C. N. T., Perussello, C. A., Sturion, J. A., & Hoffmann-Ribani, R. (2018). Novel beverages of yerba-mate and soy: Bioactive compounds and functional properties. Beverages, 4(1), 21.
García Carrillo, M., Ferrario, M., Schenk, M., & Guerrero, S. (2020). Effect of an UV-C light-based hurdle strategy for carrot-orange juice processing on Candida parapsilosis inactivation and physiological state Impact on juice sensory and physicochemical quality parameters. Food and Bioprocess Technology, 13(11), 1954–1967.
Gayán, E., Serrano, M. J., Monfort, S., Álvarez, I., & Condón, S. (2013). Pasteurization of apple juice contaminated with Escherichia coli by a combined UV–mild temperature treatment. Food and Bioprocess Technology, 6(11), 3006–3016.
Gök, S. B. (2021). UV-C treatment of apple and grape juices by modified UV-C reactor based on Dean vortex technology: Microbial physicochemical and sensorial parameters evaluation. Food and Bioprocess Technology, 14(6), 1055–1066.
Gómez-Mascaraque, L. G., Hernández-Rojas, M., Tarancón, P., Tenon, M., Feuillère, N., Ruiz, J. F. V., & López-Rubio, A. (2017). Impact of microencapsulation within electro sprayed proteins on the formulation of green tea extract-enriched biscuits. LWT-Food Science and Technology, 81, 77–86.
Gouma, M., Álvarez, I., Condón, S., & Gayán, E. (2020). Pasteurization of carrot juice by combining UV-C and mild heat: Impact on shelf-life and quality compared to conventional thermal treatment. Innovative Food Science & Emerging Technologies, 64, 102362.
Green, E. (2018). Food discovery: The adventurous consumer tipped as top trend in 2019 by Innova Market Insight. Food Ingredients First (Nov 2018). https://www.foodingredientsfirst.com/news/food-discovery-the-adventurous-consumer-tipped-top-trend-for-2019-by-innova-market-insights.html. Accessed on February 2022.
Guerrero S., Ferrario M., Schenk M., Fenoglio D., & Andreone A. (2022). Use of short-wave ultraviolet light in a hurdle approach for food preservation design. In V. Gómez López, & R. Bhat (Eds.), Electromagnetic Technologies in Food Science (in press). UK: John Wiley & Sons Inc. https://www.amazon.es/Electromagnetic-Technologies-Science-Vicente-Gomez-Lopez/dp/111975951X
Gutiérrez, D., Char, C., Escalona, V., Chaves, A., & Rodrıguez, S. (2015). Application of UV-C radiation in the conservation of minimally processed rocket (Eruca sativa Mill). Journal of Food Processing and Preservation, 39, 3117–3127.
Innova Market Insight. (2018). Catering to “the adventurous consumer” is key for 2019. Innova Market Insights publication, July, 2018. https://www.innovamarketinsights.com
ISO. (1988). Sensory analysis: General guidance for the design of test rooms ISO 8589. Geneva, Switzerland: International Organization for standardization.
Kaya, Z., Yıldız, S., & Ünlütürk, S. (2015). Effect of UV-C irradiation and heat treatment on the shelf life stability of a lemon–melon juice blend: Multivariate statistical approach. Innovative Food Science & Emerging Technologies, 29, 230-239.
Kim, J. K., & Harrison, M. A. (2009). Surrogate selection for Escherichia coli O157:H7 based on cryotolerance and attachment to romaine lettuce. Journal of Food Protection, 72(7), 1385–1391.
Koutchma, T. (2009). Principles and Applications of UV Technology. In T. Koutchma, L. J., Forney, & C. I. Moraru (Eds.), Ultraviolet light in food technology: principles and applications (pp. 25–26). Boca Raton: CRC Press. ISBN: 978–1–4200–5950–2.
La Cava, E., & Sgroppo, S. (2019). Combined effect of UV-C light and mild heat on microbial quality and antioxidant capacity of grapefruit juice by flow continuous reactor. Food and Bioprocess Technology, 12(4), 645–653.
Lawless, H., & Heymann, H. (2010). Consumer field tests and questionnaire design. In D. R. Heldman (Ed.), Sensory evaluation of food Principles and practices (pp. 349–378). Springer.
Lawless, H. T. (2013). Frequency Count Data Situations: Open ends CATA. In H. T. Lawless (Ed.), Quantitative Sensory Analysis: Psychophysics Models and Intelligent Design (p. 416). Oxford.
Lemoine, M., Chaves, A., & Martínez, G. (2010). Influence of combined hot air and UV-C treatment on the antioxidant system of minimally processed broccoli (Brassica oleracea L var Itálica). LWT, 43(9), 1313–1319.
McLeod, A., Hovde Liland, K., Haugen, J. E., Sørheim, O., Myhrer, K. S., & Holck, A. L. (2018). Chicken fillets subjected to UV‐C and pulsed UV light: Reduction of pathogenic and spoilage bacteria and changes in sensory quality. Journal of food safety, 38(1), e12421.
Orjuela-Palacio, J., Zamora, M., & Lanari, M. (2014). Consumers’ acceptance of a high-polyphenol yerba mate/black currant beverage: Effect of repeated tasting. Food Research International, 57, 26–33.
Oteiza, J. M., Giannuzzi, L., & Zaritzky, N. (2010). Ultraviolet treatment of orange juice to inactivate E. coli O157: H7 as affected by native microflora. Food and Bioprocess Technology, 3(4), 603–614.
Paniagua-Martínez, I., Ramírez-Martínez, A., Serment-Moreno, V., Rodrigues, S., & Ozuna, C. (2018). Non-thermal technologies as alternative methods for Saccharomyces cerevisiae inactivation in liquid media: A review. Food Bioprocess Technology., 11, 487–510.
Pasrija, D., Ezhilarasi, P. N., Indrani, D., & Anandharamakrishnan, C. (2015). Microencapsulation of green tea polyphenols and its effect on incorporated bread quality. LWT-Food Science and Technology, 64(1), 289–296.
Pourashouri, P., Shabanpour, B., Razavi, S. H., Jafari, S. M., Shabani, A., & Aubourg, S. P. (2014). Oxidative stability of spray-dried microencapsulated fish oils with different wall materials. Journal of Aquatic Food Product Technology, 23(6), 567–578.
Rahn, R. O. (1997). Potassium iodide as a chemical actinometer for 254 nm radiation: Use of iodate as an electron scavenger. Photochemistry and Photobiology, 66(4), 450–455.
Riganakos, K. A., Karabagias, I. K., Gertzou, I., & Stahl, M. (2017). Comparison of UV-C and thermal treatments for the preservation of carrot juice. Innovative Food Science & Emerging Technologies, 42, 165–172.
Rodino, S., & Butu, M. (2019). Herbal extracts-new trends in functional and medicinal beverages. In A. M. Grumezescu & A. M. Holban (Eds.), Functional and medicinal beverages (pp. 73–108). Academic Press.
Sauer, A., & Moraru, C. I. (2009). Inactivation of Escherichia coli ATCC 25922 and Escherichia coli O157:H7 in apple juice and apple cider, using pulsed light treatment. Journal of Food Protection, 72, 937–944.
Saraiva, B. R., Vital, A. C. P., Anjo, F. A., Ribas, J. C. R., & Pintro, P. T. M. (2019). Effect of yerba mate (Ilex paraguariensis A St-Hil) addition on the functional and technological characteristics of fresh cheese. Journal of Food Science and Technology, 56(3), 1256–1265.
Savaghebi, D., Ghaderi-Ghahfarokhi, M., & Barzegar, M. (2021). Encapsulation of sargassum boveanum algae extract in nano-liposomes: Application in functional mayonnaise production. Food and Bioprocess Technology, 14, 1311–1325.
Schenk, M., Ferrario, M., Schmalko, M., Rivero, R., Taravini, I., & Guerrero, S. (2021). Development of extracts obtained from yerba mate leaves with different industrial processing steps: Antimicrobial capacity antioxidant properties and induced damage. Journal of Food Processing and Preservation, 45(6), e15482.
Sew, C. C., Mohd Ghazali, H., Martín-Belloso, O., & Noranizan, M. A. (2014). Effects of combining ultraviolet and mild heat treatments on enzymatic activities and total phenolic contents in pineapple juice. Innovative Food Science and Emerging Technologies, 26, 511–516.
Singleton, V., Orthofer, R., Lamuela-Raventós, R., & Lester, P. (1999). Analysis of total phenols and other oxidation substrates and antioxidants by means of Folin-Ciocalteu reagent. Methods in Enzymology, 299, 152–178.
Sinkinson, C. (2017). Triangle test. In L. Rogers (Ed.), Discrimination Testing in Sensory Science (pp. 153–170). UK: Sawston.
Spartano, S., & Grasso, S. (2021). UK consumers’ willingness to try and pay for eggs from insect-fed hens. Future Foods, 3, 100026.
Tsaltaki, C., Katsouli, M., Kekes, T., Chanioti, S., & Tzia, C. (2019). Comparison study for the recovery of bioactive compounds from Tribulus terrestris Panax ginseng Gingko biloba Lepidium meyenii Turnera diffusa and Withania somnifera by using microwave-assisted ultrasound-assisted and conventional extraction methods. Industrial Crops and Products, 142, 111875.
U.S. FDA. (2019). Ultraviolet radiation for the processing and treatment of food. https://www.accessdata.fda.gov/scripts/cdrh/cfdocs/cfcfr/cfrsearch.cfm?fr=179.39. Accessed on February 2022.
Vinceković, M., Viskić, M., Jurić, S., Giacometti, J., Kovačević, D. B., Putnik, P., & Jambrak, A. R. (2017). Innovative technologies for encapsulation of mediterranean plants extracts. Trends in Food Science & Technology, 69, 1–12.
Vásquez-Mazo, P., Loredo, A. G., Ferrario, M., & Guerrero, S. (2019). Development of a Novel Milk Processing to Produce Yogurt with Improved Quality. Food and Bioprocess Technology, 12(6), 964-975. https://doi.org/10.1007/s11947-019-02269-z
Acknowledgements
The authors thank Tradecos S.A. and ECA S.A. companies for the special elaboration and donation of the juices and blends used in this study.
Funding
For this study, the authors obtained financial support from Universidad de Buenos Aires [UBACYT 2017–2020 Project], Instituto Nacional de la Yerba Mate (N° 69, 310/2017), and Agencia Nacional de Promoción Científica y Tecnológica de la República Argentina (ANPCyT) together with Banco Inter Americano de Desarrollo (BID) [2019–0365 Project] and Instituto Nacional de Yerba Mate (INYM 133/2021).
Author information
Authors and Affiliations
Corresponding author
Additional information
Publisher's Note
Springer Nature remains neutral with regard to jurisdictional claims in published maps and institutional affiliations.
Rights and permissions
About this article
Cite this article
Fenoglio, D., Ferrario, M., Andreone, A. et al. Development of an Orange-Tangerine Juice Treated by Assisted Pilot-Scale UV-C Light and Loaded with Yerba Mate: Microbiological, Physicochemical, and Dynamic Sensory Studies. Food Bioprocess Technol 15, 915–932 (2022). https://doi.org/10.1007/s11947-022-02775-7
Accepted:
Published:
Issue Date:
DOI: https://doi.org/10.1007/s11947-022-02775-7


