Abstract
Purpose of Review
This review outlines the recent findings regarding the impact of bariatric surgery on bone. It explores potential mechanisms for skeletal changes following bariatric surgery and strategies for management.
Recent Findings
Bone loss following bariatric surgery is multifactorial. Probable mechanisms include skeletal unloading, abnormalities in calciotropic hormones, and changes in gut hormones. Skeletal changes that occur after bariatric surgery are specific to procedure type and persist for several years post-operatively. Studies suggest that while bone loss begins early, fracture risk may be increased later in the post-operative course, particularly after Roux-en-Y gastric bypass (RYGB).
Summary
Further research is needed to assess the extent to which skeletal changes following bariatric surgery result in fragility. Current management should be geared toward prevention of bone loss, correction of nutritional deficiencies, and incorporation of weight bearing exercise. Pharmacologic treatment should be considered for high-risk patients.



References
Papers of particular interest, published recently, have been highlighted as: • Of importance •• Of major importance
Mechanick JI, Youdim A, Jones DB, Garvey WT, Hurley DL, McMahon MM, et al. Clinical practice guidelines for the perioperative nutritional, metabolic, and nonsurgical support of the bariatric surgery patient--2013 update: cosponsored by American Association of Clinical Endocrinologists, the Obesity Society, and American Society for Metabolic & Bariatric Surgery. Endocr Pract. 2013;19(2):337–72. https://doi.org/10.4158/EP12437.GL.
Buchwald H, Estok R, Fahrbach K, Banel D, Jensen MD, Pories WJ, et al. Weight and type 2 diabetes after bariatric surgery: systematic review and meta-analysis. Am J Med. 2009;122(3):248–56 e5. https://doi.org/10.1016/j.amjmed.2008.09.041.
Angrisani L, Santonicola A, Iovino P, Vitiello A, Zundel N, Buchwald H, et al. Bariatric surgery and endoluminal procedures: IFSO worldwide survey 2014. Obes Surg. 2017;27(9):2279–89. https://doi.org/10.1007/s11695-017-2666-x.
Maciejewski ML, Arterburn DE, Van Scoyoc L, Smith VA, Yancy WS Jr, Weidenbacher HJ, et al. Bariatric surgery and long-term durability of weight loss. JAMA Surg. 2016;151(11):1046–55. https://doi.org/10.1001/jamasurg.2016.2317.
Schauer PR, Kashyap SR, Wolski K, Brethauer SA, Kirwan JP, Pothier CE, et al. Bariatric surgery versus intensive medical therapy in obese patients with diabetes. N Engl J Med. 2012;366(17):1567–76. https://doi.org/10.1056/NEJMoa1200225.
Mingrone G, Panunzi S, De Gaetano A, Guidone C, Iaconelli A, Leccesi L, et al. Bariatric surgery versus conventional medical therapy for type 2 diabetes. N Engl J Med. 2012;366(17):1577–85. https://doi.org/10.1056/NEJMoa1200111.
Chang SH, Stoll CR, Song J, Varela JE, Eagon CJ, Colditz GA. The effectiveness and risks of bariatric surgery: an updated systematic review and meta-analysis, 2003-2012. JAMA Surg. 2014;149(3):275–87. https://doi.org/10.1001/jamasurg.2013.3654.
Sjostrom L, Peltonen M, Jacobson P, Sjostrom CD, Karason K, Wedel H, et al. Bariatric surgery and long-term cardiovascular events. JAMA. 2012;307(1):56–65. https://doi.org/10.1001/jama.2011.1914.
Adams TD, Gress RE, Smith SC, Halverson RC, Simper SC, Rosamond WD, et al. Long-term mortality after gastric bypass surgery. N Engl J Med. 2007;357(8):753–61. https://doi.org/10.1056/NEJMoa066603.
Sjostrom L, Narbro K, Sjostrom CD, Karason K, Larsson B, Wedel H, et al. Effects of bariatric surgery on mortality in Swedish obese subjects. N Engl J Med. 2007;357(8):741–52. https://doi.org/10.1056/NEJMoa066254.
Gagnon C, Schafer AL. Bone health after bariatric surgery. JBMR Plus. 2018;2(3):121–33. https://doi.org/10.1002/jbm4.10048.
Stein EM, Strain G, Sinha N, Ortiz D, Pomp A, Dakin G, et al. Vitamin D insufficiency prior to bariatric surgery: risk factors and a pilot treatment study. Clin Endocrinol. 2009;71(2):176–83. https://doi.org/10.1111/j.1365-2265.2008.03470.x.
Censani M, Stein EM, Shane E, Oberfield SE, McMahon DJ, Lerner S, et al. Vitamin D deficiency is prevalent in morbidly obese adolescents prior to bariatric surgery. ISRN Obes. 2013;2013. https://doi.org/10.1155/2013/284516.
Pereira-Santos M, Costa PR, Assis AM, Santos CA, Santos DB. Obesity and vitamin D deficiency: a systematic review and meta-analysis. Obes Rev. 2015;16(4):341–9. https://doi.org/10.1111/obr.12239.
Hypponen E, Power C. Hypovitaminosis D in British adults at age 45 y: nationwide cohort study of dietary and lifestyle predictors. Am J Clin Nutr. 2007;85(3):860–8. https://doi.org/10.1093/ajcn/85.3.860.
Compston JE, Vedi S, Ledger JE, Webb A, Gazet JC, Pilkington TR. Vitamin D status and bone histomorphometry in gross obesity. Am J Clin Nutr. 1981;34(11):2359–63. https://doi.org/10.1093/ajcn/34.11.2359.
Wortsman J, Matsuoka LY, Chen TC, Lu Z, Holick MF. Decreased bioavailability of vitamin D in obesity. Am J Clin Nutr. 2000;72(3):690–3. https://doi.org/10.1093/ajcn/72.3.690.
Drincic AT, Armas LA, Van Diest EE, Heaney RP. Volumetric dilution, rather than sequestration best explains the low vitamin D status of obesity. Obesity (Silver Spring). 2012;20(7):1444–8. https://doi.org/10.1038/oby.2011.404.
Carrelli A, Bucovsky M, Horst R, Cremers S, Zhang C, Bessler M, et al. Vitamin D storage in adipose tissue of obese and normal weight women. J Bone Miner Res. 2017;32(2):237–42. https://doi.org/10.1002/jbmr.2979.
Roizen JD, Long C, Casella A, O'Lear L, Caplan I, Lai M, et al. Obesity decreases hepatic 25-hydroxylase activity causing low serum 25-hydroxyvitamin D. J Bone Miner Res. 2019;34(6):1068–73. https://doi.org/10.1002/jbmr.3686.
Wang Y, Buckendahl P, Sharma K, Miller JW, Shapses SA. Expression of vitamin D hydroxylases and bone quality in obese mice consuming saturated or monounsaturated enriched high-fat diets. Nutr Res. 2018;60:106–15. https://doi.org/10.1016/j.nutres.2018.08.006.
Borges JLC, Miranda ISM, Sarquis MMS, Borba V, Maeda SS, Lazaretti-Castro M, et al. Obesity, bariatric surgery, and vitamin D. J Clin Densitom. 2018;21(2):157–62. https://doi.org/10.1016/j.jocd.2017.03.001.
Grethen E, Hill KM, Jones R, Cacucci BM, Gupta CE, Acton A, et al. Serum leptin, parathyroid hormone, 1,25-dihydroxyvitamin D, fibroblast growth factor 23, bone alkaline phosphatase, and sclerostin relationships in obesity. J Clin Endocrinol Metab. 2012;97(5):1655–62. https://doi.org/10.1210/jc.2011-2280.
Flores L, Osaba MJ, Andreu A, Moize V, Rodriguez L, Vidal J. Calcium and vitamin D supplementation after gastric bypass should be individualized to improve or avoid hyperparathyroidism. Obes Surg. 2010;20(6):738–43. https://doi.org/10.1007/s11695-010-0138-7.
Reid IR. Relationships between fat and bone. Osteoporos Int. 2008;19(5):595–606. https://doi.org/10.1007/s00198-007-0492-z.
Nielson CM, Srikanth P, Orwoll ES. Obesity and fracture in men and women: an epidemiologic perspective. J Bone Miner Res. 2012;27(1):1–10. https://doi.org/10.1002/jbmr.1486.
Salamat MR, Salamat AH, Janghorbani M. Association between obesity and bone mineral density by gender and menopausal status. Endocrinol Metab (Seoul). 2016;31(4):547–58. https://doi.org/10.3803/EnM.2016.31.4.547.
Schellinger D, Lin CS, Lim J, Hatipoglu HG, Pezzullo JC, Singer AJ. Bone marrow fat and bone mineral density on proton MR spectroscopy and dual-energy X-ray absorptiometry: their ratio as a new indicator of bone weakening. AJR Am J Roentgenol. 2004;183(6):1761–5. https://doi.org/10.2214/ajr.183.6.01831761.
Gilsanz V, Chalfant J, Mo AO, Lee DC, Dorey FJ, Mittelman SD. Reciprocal relations of subcutaneous and visceral fat to bone structure and strength. J Clin Endocrinol Metab. 2009;94(9):3387–93. https://doi.org/10.1210/jc.2008-2422.
Cohen A, Dempster DW, Recker RR, Lappe JM, Zhou H, Zwahlen A, et al. Abdominal fat is associated with lower bone formation and inferior bone quality in healthy premenopausal women: a transiliac bone biopsy study. J Clin Endocrinol Metab. 2013;98(6):2562–72. https://doi.org/10.1210/jc.2013-1047.
Cartier A, Lemieux I, Almeras N, Tremblay A, Bergeron J, Despres JP. Visceral obesity and plasma glucose-insulin homeostasis: contributions of interleukin-6 and tumor necrosis factor-alpha in men. J Clin Endocrinol Metab. 2008;93(5):1931–8. https://doi.org/10.1210/jc.2007-2191.
Pou KM, Massaro JM, Hoffmann U, Vasan RS, Maurovich-Horvat P, Larson MG, et al. Visceral and subcutaneous adipose tissue volumes are cross-sectionally related to markers of inflammation and oxidative stress: the Framingham Heart Study. Circulation. 2007;116(11):1234–41. https://doi.org/10.1161/CIRCULATIONAHA.107.710509.
Wood IS, Wang B, Jenkins JR, Trayhurn P. The pro-inflammatory cytokine IL-18 is expressed in human adipose tissue and strongly upregulated by TNFalpha in human adipocytes. Biochem Biophys Res Commun. 2005;337(2):422–9. https://doi.org/10.1016/j.bbrc.2005.09.068.
Billington EO, Murphy R, Gamble GD, Callon K, Davies N, Plank LD, et al. Fibroblast growth factor 23 levels decline following sleeve gastrectomy. Clin Endocrinol. 2019;91(1):87–93. https://doi.org/10.1111/cen.13981.
Johansson H, Kanis JA, Oden A, McCloskey E, Chapurlat RD, Christiansen C, et al. A meta-analysis of the association of fracture risk and body mass index in women. J Bone Miner Res. 2014;29(1):223–33. https://doi.org/10.1002/jbmr.2017.
Compston JE, Watts NB, Chapurlat R, Cooper C, Boonen S, Greenspan S, et al. Obesity is not protective against fracture in postmenopausal women: GLOW. Am J Med. 2011;124(11):1043–50. https://doi.org/10.1016/j.amjmed.2011.06.013.
Goulding A, Grant AM, Williams SM. Bone and body composition of children and adolescents with repeated forearm fractures. J Bone Miner Res. 2005;20(12):2090–6. https://doi.org/10.1359/JBMR.050820.
Premaor MO, Pilbrow L, Tonkin C, Parker RA, Compston J. Obesity and fractures in postmenopausal women. J Bone Miner Res. 2010;25(2):292–7. https://doi.org/10.1359/jbmr.091004.
Compston JE, Flahive J, Hosmer DW, Watts NB, Siris ES, Silverman S, et al. Relationship of weight, height, and body mass index with fracture risk at different sites in postmenopausal women: the Global Longitudinal study of Osteoporosis in Women (GLOW). J Bone Miner Res. 2014;29(2):487–93. https://doi.org/10.1002/jbmr.2051.
Premaor MO, Compston JE, Fina Aviles F, Pages-Castella A, Nogues X, Diez-Perez A, et al. The association between fracture site and obesity in men: a population-based cohort study. J Bone Miner Res. 2013;28(8):1771–7. https://doi.org/10.1002/jbmr.1878.
Marcus RL, Addison O, Dibble LE, Foreman KB, Morrell G, Lastayo P. Intramuscular adipose tissue, sarcopenia, and mobility function in older individuals. J Aging Res. 2012;2012:629637. https://doi.org/10.1155/2012/629637.
Jordan S, Lim L, Berecki-Gisolf J, Bain C, Seubsman SA, Sleigh A, et al. Body mass index, physical activity, and fracture among young adults: longitudinal results from the Thai cohort study. J Epidemiol. 2013;23(6):435–42. https://doi.org/10.2188/jea.je20120215.
English WJ, DeMaria EJ, Brethauer SA, Mattar SG, Rosenthal RJ, Morton JM. American Society for Metabolic and Bariatric Surgery estimation of metabolic and bariatric procedures performed in the United States in 2016. Surg Obes Relat Dis. 2018;14(3):259–63. https://doi.org/10.1016/j.soard.2017.12.013.
Crawford C, Gibbens K, Lomelin D, Krause C, Simorov A, Oleynikov D. Sleeve gastrectomy and anti-reflux procedures. Surg Endosc. 2017;31(3):1012–21. https://doi.org/10.1007/s00464-016-5092-6.
Dixon JB, Straznicky NE, Lambert EA, Schlaich MP, Lambert GW. Surgical approaches to the treatment of obesity. Nat Rev Gastroenterol Hepatol. 2011;8(8):429–37. https://doi.org/10.1038/nrgastro.2011.112.
Buchwald H, Avidor Y, Braunwald E, Jensen MD, Pories W, Fahrbach K, et al. Bariatric surgery: a systematic review and meta-analysis. JAMA. 2004;292(14):1724–37. https://doi.org/10.1001/jama.292.14.1724.
Romy S, Donadini A, Giusti V, Suter M. Roux-en-Y gastric bypass vs gastric banding for morbid obesity: a case-matched study of 442 patients. Arch Surg. 2012;147(5):460–6. https://doi.org/10.1001/archsurg.2011.1708.
Suter M, Calmes JM, Paroz A, Giusti V. A 10-year experience with laparoscopic gastric banding for morbid obesity: high long-term complication and failure rates. Obes Surg. 2006;16(7):829–35. https://doi.org/10.1381/096089206777822359.
Yu EW, Wewalka M, Ding SA, Simonson DC, Foster K, Holst JJ, et al. Effects of gastric bypass and gastric banding on bone remodeling in obese patients with type 2 diabetes. J Clin Endocrinol Metab. 2016;101(2):714–22. https://doi.org/10.1210/jc.2015-3437.
Riedl M, Vila G, Maier C, Handisurya A, Shakeri-Manesch S, Prager G, et al. Plasma osteopontin increases after bariatric surgery and correlates with markers of bone turnover but not with insulin resistance. J Clin Endocrinol Metab. 2008;93(6):2307–12. https://doi.org/10.1210/jc.2007-2383.
Giusti V, Gasteyger C, Suter M, Heraief E, Gaillard RC, Burckhardt P. Gastric banding induces negative bone remodelling in the absence of secondary hyperparathyroidism: potential role of serum C telopeptides for follow-up. Int J Obes. 2005;29(12):1429–35. https://doi.org/10.1038/sj.ijo.0803040.
Hsin MC, Huang CK, Tai CM, Yeh LR, Kuo HC, Garg A. A case-matched study of the differences in bone mineral density 1 year after 3 different bariatric procedures. Surg Obes Relat Dis. 2015;11(1):181–5. https://doi.org/10.1016/j.soard.2014.07.008.
Diamantis T, Apostolou KG, Alexandrou A, Griniatsos J, Felekouras E, Tsigris C. Review of long-term weight loss results after laparoscopic sleeve gastrectomy. Surg Obes Relat Dis. 2014;10(1):177–83. https://doi.org/10.1016/j.soard.2013.11.007.
Jaruvongvanich V, Vantanasiri K, Upala S, Ungprasert P. Changes in bone mineral density and bone metabolism after sleeve gastrectomy: a systematic review and meta-analysis. Surg Obes Relat Dis. 2019;15(8):1252–60. https://doi.org/10.1016/j.soard.2019.06.006.
Bredella MA, Greenblatt LB, Eajazi A, Torriani M, Yu EW. Effects of roux-en-Y gastric bypass and sleeve gastrectomy on bone mineral density and marrow adipose tissue. Bone. 2017;95:85–90. https://doi.org/10.1016/j.bone.2016.11.014.
Crawford MR, Pham N, Khan L, Bena JF, Schauer PR, Kashyap SR. Increased bone turnover in type 2 diabetes patients randomized to bariatric surgery versus medical therapy at 5 years. Endocr Pract. 2018;24(3):256–64. https://doi.org/10.4158/EP-2017-0072.
Brzozowska MM, Sainsbury A, Eisman JA, Baldock PA, Center JR. Bariatric surgery, bone loss, obesity and possible mechanisms. Obes Rev. 2013;14(1):52–67. https://doi.org/10.1111/j.1467-789X.2012.01050.x.
Stein EM, Carrelli A, Young P, Bucovsky M, Zhang C, Schrope B, et al. Bariatric surgery results in cortical bone loss. J Clin Endocrinol Metab. 2013;98(2):541–9. https://doi.org/10.1210/jc.2012-2394.
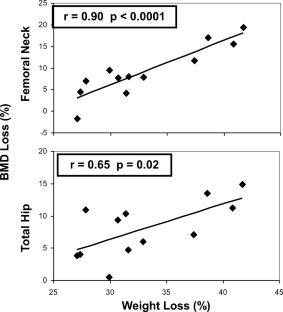
Fleischer J, Stein EM, Bessler M, Della Badia M, Restuccia N, Olivero-Rivera L, et al. The decline in hip bone density after gastric bypass surgery is associated with extent of weight loss. J Clin Endocrinol Metab. 2008;93(10):3735–40. https://doi.org/10.1210/jc.2008-0481.
Coates PS, Fernstrom JD, Fernstrom MH, Schauer PR, Greenspan SL. Gastric bypass surgery for morbid obesity leads to an increase in bone turnover and a decrease in bone mass. J Clin Endocrinol Metab. 2004;89(3):1061–5. https://doi.org/10.1210/jc.2003-031756.
Monaco-Ferreira DV, Leandro-Merhi VA, Aranha NC, Brandalise A, Brandalise NA. Metabolic changes up to 10 years after gastric bypass. Obes Surg. 2018;28(6):1636–42. https://doi.org/10.1007/s11695-017-3064-0.
Blom-Hogestol IK, Mala T, Kristinsson JA, Brunborg C, Gulseth HL, Eriksen EF. Changes in bone quality after roux-en-Y gastric bypass: a prospective cohort study in subjects with and without type 2 diabetes. Bone. 2019;115069. https://doi.org/10.1016/j.bone.2019.115069.
Goode LR, Brolin RE, Chowdhury HA, Shapses SA. Bone and gastric bypass surgery: effects of dietary calcium and vitamin D. Obes Res. 2004;12(1):40–7. https://doi.org/10.1038/oby.2004.7.
Yu EW, Bouxsein ML, Roy AE, Baldwin C, Cange A, Neer RM, et al. Bone loss after bariatric surgery: discordant results between DXA and QCT bone density. J Bone Miner Res. 2014;29(3):542–50. https://doi.org/10.1002/jbmr.2063.
Yu EW, Bouxsein ML, Putman MS, Monis EL, Roy AE, Pratt JS, et al. Two-year changes in bone density after Roux-en-Y gastric bypass surgery. J Clin Endocrinol Metab. 2015;100(4):1452–9. https://doi.org/10.1210/jc.2014-4341.
Shanbhogue VV, Stoving RK, Frederiksen KH, Hanson S, Brixen K, Gram J, et al. Bone structural changes after gastric bypass surgery evaluated by HR-pQCT: a two-year longitudinal study. Eur J Endocrinol. 2017;176(6):685–93. https://doi.org/10.1530/EJE-17-0014.
Bruno C, Fulford AD, Potts JR, McClintock R, Jones R, Cacucci BM, et al. Serum markers of bone turnover are increased at six and 18 months after roux-en-Y bariatric surgery: correlation with the reduction in leptin. J Clin Endocrinol Metab. 2010;95(1):159–66. https://doi.org/10.1210/jc.2009-0265.
•• Lindeman KG, Greenblatt LB, Rourke C, Bouxsein ML, Finkelstein JS, Yu EW. Longitudinal 5-year evaluation of bone density and microarchitecture after Roux-en-Y gastric bypass surgery. J Clin Endocrinol Metab. 2018;103(11):4104–12. https://doi.org/10.1210/jc.2018-01496This is the longest prospective study to observe bone density and microarchitecture following bariatric surgery. Bone loss and bone microarchitectural deterioration persisted during the 5 years following RYGB.
Liu C, Wu D, Zhang JF, Xu D, Xu WF, Chen Y, et al. Changes in bone metabolism in morbidly obese patients after bariatric surgery: a meta-analysis. Obes Surg. 2016;26(1):91–7. https://doi.org/10.1007/s11695-015-1724-5.
• Muschitz C, Kocijan R, Haschka J, Zendeli A, Pirker T, Geiger C, et al. The impact of vitamin D, calcium, protein supplementation, and physical exercise on bone metabolism after bariatric surgery: the BABS study. J Bone Miner Res. 2016;31(3):672–82. https://doi.org/10.1002/jbmr.2707This study suggested that supplementation and exercise led to smaller increases of sclerostin and CTX levels, and normal intact PTH levels as well as a mitigated decline in lumbar spine, total hip and total body aBMD.
Vilarrasa N, San Jose P, Garcia I, Gomez-Vaquero C, Miras PM, de Gordejuela AG, et al. Evaluation of bone mineral density loss in morbidly obese women after gastric bypass: 3-year follow-up. Obes Surg. 2011;21(4):465–72. https://doi.org/10.1007/s11695-010-0338-1.
Vilarrasa N, Gomez JM, Elio I, Gomez-Vaquero C, Masdevall C, Pujol J, et al. Evaluation of bone disease in morbidly obese women after gastric bypass and risk factors implicated in bone loss. Obes Surg. 2009;19(7):860–6. https://doi.org/10.1007/s11695-009-9843-5.
Jones D, Schneider BE, Olbers T. Atlas of metabolic and weight loss surgery. Woodbury: Cine_Med; 2010.
Tsiftsis DD, Mylonas P, Mead N, Kalfarentzos F, Alexandrides TK. Bone mass decreases in morbidly obese women after long limb-biliopancreatic diversion and marked weight loss without secondary hyperparathyroidism. A physiological adaptation to weight loss? Obes Surg. 2009;19(11):1497–503. https://doi.org/10.1007/s11695-009-9938-z.
Hewitt S, Sovik TT, Aasheim ET, Kristinsson J, Jahnsen J, Birketvedt GS, et al. Secondary hyperparathyroidism, vitamin D sufficiency, and serum calcium 5 years after gastric bypass and duodenal switch. Obes Surg. 2013;23(3):384–90. https://doi.org/10.1007/s11695-012-0772-3.
Feng JJ, Gagner M. Laparoscopic biliopancreatic diversion with duodenal switch. Semin Laparosc Surg. 2002;9(2):125–9.
Marceau P, Biron S, Lebel S, Marceau S, Hould FS, Simard S, et al. Does bone change after biliopancreatic diversion? J Gastrointest Surg. 2002;6(5):690–8.
Turcotte AF, Grenier-Larouche T, Ung RV, Simonyan D, Carreau AM, Carpentier AC, et al. Effects of biliopancreatic diversion on bone turnover markers and association with hormonal factors in patients with severe obesity. Obes Surg. 2019;29(3):990–8. https://doi.org/10.1007/s11695-018-3617-x.
Binkley N, Krueger D, Vallarta-Ast N. An overlying fat panniculus affects femur bone mass measurement. J Clin Densitom. 2003;6(3):199–204.
Yu EW, Thomas BJ, Brown JK, Finkelstein JS. Simulated increases in body fat and errors in bone mineral density measurements by DXA and QCT. J Bone Miner Res. 2012;27(1):119–24. https://doi.org/10.1002/jbmr.506.
Knapp KM, Welsman JR, Hopkins SJ, Fogelman I, Blake GM. Obesity increases precision errors in dual-energy X-ray absorptiometry measurements. J Clin Densitom. 2012;15(3):315–9. https://doi.org/10.1016/j.jocd.2012.01.002.
Rothney MP, Brychta RJ, Schaefer EV, Chen KY, Skarulis MC. Body composition measured by dual-energy X-ray absorptiometry half-body scans in obese adults. Obesity (Silver Spring). 2009;17(6):1281–6. https://doi.org/10.1038/oby.2009.14.
Colt E, Akram M, Pi Sunyer FX. Comparison of high-resolution peripheral quantitative computerized tomography with dual-energy X-ray absorptiometry for measuring bone mineral density. Eur J Clin Nutr. 2017;71(6):778–81. https://doi.org/10.1038/ejcn.2016.178.
Cheung AM, Detsky AS. Osteoporosis and fractures: missing the bridge? JAMA. 2008;299(12):1468–70. https://doi.org/10.1001/jama.299.12.1468.
Frost HM. Bone “mass” and the “mechanostat”: a proposal. Anat Rec. 1987;219(1):1–9. https://doi.org/10.1002/ar.1092190104.
Maimoun L, Fattal C, Micallef JP, Peruchon E, Rabischong P. Bone loss in spinal cord-injured patients: from physiopathology to therapy. Spinal Cord. 2006;44(4):203–10. https://doi.org/10.1038/sj.sc.3101832.
Kazakia GJ, Tjong W, Nirody JA, Burghardt AJ, Carballido-Gamio J, Patsch JM, et al. The influence of disuse on bone microstructure and mechanics assessed by HR-pQCT. Bone. 2014;63:132–40. https://doi.org/10.1016/j.bone.2014.02.014.
Zerwekh JE, Ruml LA, Gottschalk F, Pak CY. The effects of twelve weeks of bed rest on bone histology, biochemical markers of bone turnover, and calcium homeostasis in eleven normal subjects. J Bone Miner Res. 1998;13(10):1594–601. https://doi.org/10.1359/jbmr.1998.13.10.1594.
Riedt CS, Cifuentes M, Stahl T, Chowdhury HA, Schlussel Y, Shapses SA. Overweight postmenopausal women lose bone with moderate weight reduction and 1 g/day calcium intake. J Bone Miner Res. 2005;20(3):455–63. https://doi.org/10.1359/JBMR.041132.
Schwartz AV, Johnson KC, Kahn SE, Shepherd JA, Nevitt MC, Peters AL, et al. Effect of 1 year of an intentional weight loss intervention on bone mineral density in type 2 diabetes: results from the look AHEAD randomized trial. J Bone Miner Res. 2012;27(3):619–27. https://doi.org/10.1002/jbmr.1483.
Bergmann G, Deuretzbacher G, Heller M, Graichen F, Rohlmann A, Strauss J, et al. Hip contact forces and gait patterns from routine activities. J Biomech. 2001;34(7):859–71. https://doi.org/10.1016/s0021-9290(01)00040-9.
Pluskiewicz W, Buzga M, Holeczy P, Bortlik L, Smajstrla V, Adamczyk P. Bone mineral changes in spine and proximal femur in individual obese women after laparoscopic sleeve gastrectomy: a short-term study. Obes Surg. 2012;22(7):1068–76. https://doi.org/10.1007/s11695-012-0654-8.
Chakhtoura MT, Nakhoul NN, Shawwa K, Mantzoros C, El Hajj Fuleihan GA. Hypovitaminosis D in bariatric surgery: a systematic review of observational studies. Metabolism. 2016;65(4):574–85. https://doi.org/10.1016/j.metabol.2015.12.004.
Riedt CS, Brolin RE, Sherrell RM, Field MP, Shapses SA. True fractional calcium absorption is decreased after roux-en-Y gastric bypass surgery. Obesity (Silver Spring). 2006;14(11):1940–8. https://doi.org/10.1038/oby.2006.226.
Shaker JL, Norton AJ, Woods MF, Fallon MD, Findling JW. Secondary hyperparathyroidism and osteopenia in women following gastric exclusion surgery for obesity. Osteoporos Int. 1991;1(3):177–81.
Folli F, Sabowitz BN, Schwesinger W, Fanti P, Guardado-Mendoza R, Muscogiuri G. Bariatric surgery and bone disease: from clinical perspective to molecular insights. Int J Obes. 2012;36(11):1373–9. https://doi.org/10.1038/ijo.2012.115.
Schafer AL, Weaver CM, Black DM, Wheeler AL, Chang H, Szefc GV, et al. Intestinal calcium absorption decreases dramatically after gastric bypass surgery despite optimization of vitamin D status. J Bone Miner Res. 2015;30(8):1377–85. https://doi.org/10.1002/jbmr.2467.
Carlin AM, Rao DS, Yager KM, Parikh NJ, Kapke A. Treatment of vitamin D depletion after Roux-en-Y gastric bypass: a randomized prospective clinical trial. Surg Obes Relat Dis. 2009;5(4):444–9. https://doi.org/10.1016/j.soard.2008.08.004.
Ruiz-Tovar J, Oller I, Priego P, Arroyo A, Calero A, Diez M, et al. Short- and mid-term changes in bone mineral density after laparoscopic sleeve gastrectomy. Obes Surg. 2013;23(7):861–6. https://doi.org/10.1007/s11695-013-0866-6.
Fleischer J, McMahon DJ, Hembree W, Addesso V, Longcope C, Shane E. Serum testosterone levels after cardiac transplantation. Transplantation. 2008;85(6):834–9. https://doi.org/10.1097/TP.0b013e318166ac10.
Lalmohamed A, de Vries F, Bazelier MT, Cooper A, van Staa TP, Cooper C, et al. Risk of fracture after bariatric surgery in the United Kingdom: population based, retrospective cohort study. BMJ. 2012;345:e5085. https://doi.org/10.1136/bmj.e5085.
Yu EW, Lee MP, Landon JE, Lindeman KG, Kim SC. Fracture risk after bariatric surgery: Roux-en-Y gastric bypass versus adjustable gastric banding. J Bone Miner Res. 2017;32(6):1229–36. https://doi.org/10.1002/jbmr.3101.
Rousseau C, Jean S, Gamache P, Lebel S, Mac-Way F, Biertho L, et al. Change in fracture risk and fracture pattern after bariatric surgery: nested case-control study. BMJ. 2016;354:i3794. https://doi.org/10.1136/bmj.i3794.
Nakamura KM, Haglind EG, Clowes JA, Achenbach SJ, Atkinson EJ, Melton LJ 3rd, et al. Fracture risk following bariatric surgery: a population-based study. Osteoporos Int. 2014;25(1):151–8. https://doi.org/10.1007/s00198-013-2463-x.
• Lu CW, Chang YK, Chang HH, Kuo CS, Huang CT, Hsu CC, et al. Fracture risk after bariatric surgery: a 12-Year Nationwide Cohort Study. Medicine (Baltimore). 2015;94(48):e2087. https://doi.org/10.1097/MD.0000000000002087This study reports that bariatric surgery, in particular malabsorptive procedures, was significantly associated with an increased risk of fractures, with a trend of an increased fracture risk 1 to 2 years following surgery.
Zhang Q, Chen Y, Li J, Chen D, Cheng Z, Xu S, et al. A meta-analysis of the effects of bariatric surgery on fracture risk. Obes Rev. 2018;19(5):728–36. https://doi.org/10.1111/obr.12665.
Isom KA, Andromalos L, Ariagno M, Hartman K, Mogensen KM, Stephanides K, et al. Nutrition and metabolic support recommendations for the bariatric patient. Nutr Clin Pract. 2014;29(6):718–39. https://doi.org/10.1177/0884533614552850.
Kim J, Brethauer S, Committee ACI, American Society for M, Bariatric Surgery Clinical Issues Committee PS. Metabolic bone changes after bariatric surgery. Surg Obes Relat Dis. 2015;11(2):406–11. https://doi.org/10.1016/j.soard.2014.03.010.
Parrott J, Frank L, Rabena R, Craggs-Dino L, Isom KA, Greiman L. American Society for Metabolic and Bariatric Surgery Integrated Health Nutritional Guidelines for the Surgical Weight Loss Patient 2016 Update: micronutrients. Surg Obes Relat Dis. 2017;13(5):727–41. https://doi.org/10.1016/j.soard.2016.12.018.
Murai IH, Roschel H, Dantas WS, Gil S, Merege-Filho C, de Cleva R, et al. Exercise mitigates bone loss in women with severe obesity after Roux-en-Y gastric bypass: a randomized controlled trial. J Clin Endocrinol Metab. 2019;104(10):4639–50. https://doi.org/10.1210/jc.2019-00074.
Author information
Authors and Affiliations
Corresponding author
Ethics declarations
Human and Animal Rights
All reported studies/experiments with human or animal subjects performed by the authors have been previously published and complied with all applicable ethical standards (including the Helsinki declaration and its amendments, institutional/national research committee standards, and international/national/institutional guidelines).
Additional information
Publisher’s Note
Springer Nature remains neutral with regard to jurisdictional claims in published maps and institutional affiliations.
This article is part of the Topical Collection on Nutrition Exercise and Lifestyle in Osteoporosis
Rights and permissions
About this article
Cite this article
Krez, A.N., Stein, E.M. The Skeletal Consequences of Bariatric Surgery. Curr Osteoporos Rep 18, 262–272 (2020). https://doi.org/10.1007/s11914-020-00579-2
Published:
Issue Date:
DOI: https://doi.org/10.1007/s11914-020-00579-2