Skip to main content

Hepatitis C Virus-Genotype 3: Update on Current and Emergent Therapeutic Interventions

Abstract

Purpose of Review

Direct-acting antiviral agents (DAAs) have markedly improved the prognosis of hepatitis C virus (HCV)-genotype 3 (GT3), a highly prevalent infection worldwide. However, in patients with hepatic fibrosis, cirrhosis, or hepatocellular carcinoma (HCC), GT3 infection presents a treatment challenge compared with other genotypes. The dependence of the HCV life cycle on host lipid metabolism suggests the possible utility of targeting host cellular factors for combination anti-HCV therapy. We discuss current and emergent DAA regimens for HCV-GT3 treatment. We then summarize recent research findings on the reliance of HCV entry, replication, and virion assembly on host lipid metabolism.

Recent Findings

Current HCV treatment guidelines recommend the use of daclatasvir plus sofosbuvir (DCV/SOF) or sofosbuvir plus velpatasvir (SOF/VEL) for the management of GT3 based upon clinical efficacy [≥88% overall sustained virological response (SVR)] and tolerability. Potential future DAA options, such as SOF/VEL co-formulated with GS-9857, also look promising in treating cirrhotic GT3 patients. However, HCV resistance to DAAs will likely continue to impact the therapeutic efficacy of interferon-free treatment regimens. Disruption of HCV entry by targeting required host cellular receptors shows potential in minimizing HCV resistance and broadening therapeutic options for certain subpopulations of GT3 patients. The use of cholesterol biosynthesis and transport inhibitors may also improve health outcomes for GT3 patients when used synergistically with DAAs.

Summary

Due to the morbidity and mortality associated with HCV-GT3 infection compared to other genotypes, efforts should be made to address current limitations in the therapeutic prevention and management of HCV-GT3 infection.

This is a preview of subscription content, access via your institution.

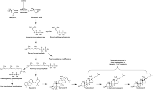
Fig. 1

References

Papers of particular interest, published recently, have been highlighted as: • Of importance •• Of major importance

  1. Mohd Hanafiah K, Groeger J, Flaxman AD, Wiersma ST. Global epidemiology of hepatitis C virus infection: new estimates of age-specific antibody to HCV seroprevalence. Hepatology. 2013;57(4):1333–42. doi:10.1002/hep.26141.

    PubMed  Article  Google Scholar 

  2. Edlin BR, Eckhardt BJ, Shu MA, Holmberg SD, Swan T. Toward a more accurate estimate of the prevalence of hepatitis C in the United States. Hepatology. 2015;62(5):1353–63. doi:10.1002/hep.27978.

    CAS  PubMed  PubMed Central  Article  Google Scholar 

  3. CDC. Hepatitis C FAQs for health professionals. http://www.cdc.gov/hepatitis/hcv/index.htm. Accessed May 4 2016

  4. Rein DB, Wittenborn JS, Weinbaum CM, Sabin M, Smith BD, Lesesne SB. Forecasting the morbidity and mortality associated with prevalent cases of pre-cirrhotic chronic hepatitis C in the United States. Dig Liver Dis. 2011;43(1):66–72. doi:10.1016/j.dld.2010.05.006.

    PubMed  Article  Google Scholar 

  5. Lee MH, Yang HI, Lu SN, Jen CL, You SL, Wang LY, et al. Chronic hepatitis C virus infection increases mortality from hepatic and extrahepatic diseases: a community-based long-term prospective study. J Infect Dis. 2012;206(4):469–77. doi:10.1093/infdis/jis385.

    PubMed  Article  CAS  Google Scholar 

  6. Lozano R, Naghavi M, Foreman K, Lim S, Shibuya K, Aboyans V, et al. Global and regional mortality from 235 causes of death for 20 age groups in 1990 and 2010: a systematic analysis for the Global Burden of Disease Study 2010. Lancet. 2012;380(9859):2095–128. doi:10.1016/S0140-6736(12)61728-0.

    PubMed  Article  Google Scholar 

  7. Messina JP, Humphreys I, Flaxman A, Brown A, Cooke GS, Pybus OG, et al. Global distribution and prevalence of hepatitis C virus genotypes. Hepatology. 2015;61(1):77–87. doi:10.1002/hep.27259.

    PubMed  Article  Google Scholar 

  8. Goossens N, Negro F. Is genotype 3 of the hepatitis C virus the new villain? Hepatology. 2014;59(6):2403–12. doi:10.1002/hep.26905.

    CAS  PubMed  Article  Google Scholar 

  9. Kanwal F, Kramer JR, Ilyas J, Duan Z, El-Serag HB. HCV genotype 3 is associated with an increased risk of cirrhosis and hepatocellular cancer in a national sample of U.S. Veterans with HCV. Hepatology. 2014;60(1):98–105. doi:10.1002/hep.27095.

    CAS  PubMed  PubMed Central  Article  Google Scholar 

  10. Probst A, Dang T, Bochud M, Egger M, Negro F, Bochud PY. Role of hepatitis C virus genotype 3 in liver fibrosis progression–a systematic review and meta-analysis. J Viral Hepat. 2011;18(11):745–59. doi:10.1111/j.1365-2893.2011.01481.x.

    CAS  PubMed  Article  Google Scholar 

  11. Nkontchou G, Ziol M, Aout M, Lhabadie M, Baazia Y, Mahmoudi A, et al. HCV genotype 3 is associated with a higher hepatocellular carcinoma incidence in patients with ongoing viral C cirrhosis. J Viral Hepat. 2011;18(10):e516–22. doi:10.1111/j.1365-2893.2011.01441.x.

    CAS  PubMed  Article  Google Scholar 

  12. McCombs J, Matsuda T, Tonnu-Mihara I, Saab S, Hines P, L’Italien G, et al. The risk of long-term morbidity and mortality in patients with chronic hepatitis C: results from an analysis of data from a Department of Veterans Affairs Clinical Registry. JAMA Intern Med. 2014;174(2):204–12. doi:10.1001/jamainternmed.2013.12505.

    PubMed  Article  Google Scholar 

  13. • European Association for Study of L. EASL recommendations on treatment of hepatitis C 2015. J Hepatol. 2015;63(1):199–236. doi:10.1016/j.jhep.2015.03.025. Important current guidelines from EASL on the manangement of chronic HCV.

    Article  Google Scholar 

  14. •• AALSD I, IAS-USA. In: HCV guidance: recommendation for testing, managing and treating hepatitis C. http://www.hcvguideline.org. Accessed September 30 2016. Important current guidelines from AASLD and IDSA on the management of chronic HCV.

  15. Buti M, Llaneras J, Riveiro-Barciela M, Esteban R. Therapy for hepatitis C genotype 3: moving forward. J Viral Hepat. 2015;22(9):683–90. doi:10.1111/jvh.12419.

    CAS  PubMed  Article  Google Scholar 

  16. Marcellin P, Cheinquer H, Curescu M, Dusheiko GM, Ferenci P, Horban A, et al. High sustained virologic response rates in rapid virologic response patients in the large real-world PROPHESYS cohort confirm results from randomized clinical trials. Hepatology. 2012;56(6):2039–50. doi:10.1002/hep.25892.

    CAS  PubMed  Article  Google Scholar 

  17. Fraser CS, Doudna JA. Structural and mechanistic insights into hepatitis C viral translation initiation. Nat Rev Microbiol. 2007;5(1):29–38. doi:10.1038/nrmicro1558.

    CAS  PubMed  Article  Google Scholar 

  18. Dubuisson J, Cosset FL. Virology and cell biology of the hepatitis C virus life cycle: an update. J Hepatol. 2014;61(1 Suppl):S3–S13. doi:10.1016/j.jhep.2014.06.031.

    CAS  PubMed  Article  Google Scholar 

  19. Ashfaq UA, Javed T, Rehman S, Nawaz Z, Riazuddin S. An overview of HCV molecular biology, replication and immune responses. Virol J. 2011;8:161. doi:10.1186/1743-422X-8-161.

    CAS  PubMed  PubMed Central  Article  Google Scholar 

  20. Lawitz E, Gane EJ. Sofosbuvir for previously untreated chronic hepatitis C infection. N Engl J Med. 2013;369(7):678–9. doi:10.1056/NEJMc1307641.

    CAS  PubMed  Article  Google Scholar 

  21. Jacobson IM, Gordon SC, Kowdley KV, Yoshida EM, Rodriguez-Torres M, Sulkowski MS, et al. Sofosbuvir for hepatitis C genotype 2 or 3 in patients without treatment options. N Engl J Med. 2013;368(20):1867–77. doi:10.1056/NEJMoa1214854.

    CAS  PubMed  Article  Google Scholar 

  22. Zeuzem S, Dusheiko GM, Salupere R, Mangia A, Flisiak R, Hyland RH, et al. Sofosbuvir and ribavirin in HCV genotypes 2 and 3. N Engl J Med. 2014;370(21):1993–2001. doi:10.1056/NEJMoa1316145.

    PubMed  Article  CAS  Google Scholar 

  23. Foster GR, Pianko S, Brown A, Forton D, Nahass RG, George J, et al. Efficacy of sofosbuvir plus ribavirin with or without peginterferon-alfa in patients with hepatitis C virus genotype 3 infection and treatment-experienced patients with cirrhosis and hepatitis C virus genotype 2 infection. Gastroenterology. 2015;149(6):1462–70. doi:10.1053/j.gastro.2015.07.043.

    CAS  PubMed  Article  Google Scholar 

  24. Sulkowski MS, Naggie S, Lalezari J, Fessel WJ, Mounzer K, Shuhart M, et al. Sofosbuvir and ribavirin for hepatitis C in patients with HIV coinfection. JAMA. 2014;312(4):353–61. doi:10.1001/jama.2014.7734.

    PubMed  PubMed Central  Article  CAS  Google Scholar 

  25. Molina JM, Orkin C, Iser DM, Zamora FX, Nelson M, Stephan C, et al. Sofosbuvir plus ribavirin for treatment of hepatitis C virus in patients co-infected with HIV (PHOTON-2): a multicentre, open-label, non-randomised, phase 3 study. Lancet. 2015;385(9973):1098–106. doi:10.1016/S0140-6736(14)62483-1.

    CAS  PubMed  Article  Google Scholar 

  26. Lawitz E, Poordad F, Brainard DM, Hyland RH, An D, Dvory-Sobol H, et al. Sofosbuvir with peginterferon-ribavirin for 12 weeks in previously treated patients with hepatitis C genotype 2 or 3 and cirrhosis. Hepatology. 2015;61(3):769–75. doi:10.1002/hep.27567.

    CAS  PubMed  PubMed Central  Article  Google Scholar 

  27. Nelson DR, Cooper JN, Lalezari JP, Lawitz E, Pockros PJ, Gitlin N, et al. All-oral 12-week treatment with daclatasvir plus sofosbuvir in patients with hepatitis C virus genotype 3 infection: ALLY-3 phase III study. Hepatology. 2015;61(4):1127–35. doi:10.1002/hep.27726.

    CAS  PubMed  PubMed Central  Article  Google Scholar 

  28. Leroy V, Angus P, Bronowicki JP, Dore GJ, Hezode C, Pianko S, et al. Daclatasvir, sofosbuvir, and ribavirin for hepatitis C virus genotype 3 and advanced liver disease: a randomized phase III study (ALLY-3+). Hepatology. 2016;63(5):1430–41. doi:10.1002/hep.28473.

    CAS  PubMed  PubMed Central  Article  Google Scholar 

  29. Foster GR, Afdhal N, Roberts SK, Brau N, Gane EJ, Pianko S, et al. Sofosbuvir and Velpatasvir for HCV genotype 2 and 3 infection. N Engl J Med. 2015;373(27):2608–17. doi:10.1056/NEJMoa1512612.

    CAS  PubMed  Article  Google Scholar 

  30. Wyles D Brau N, Kottilil S, et al. Sofosbuvir/velpatasvir fixed dose combination for 12 weeks in patients co-infected with HCV and HIV-1: the phase ASTRAL-5 study. [Abstract PS104]. Program and abstracts of the 51st annual meeting of the European Association for the Study of the Liver; April 13–17, 2016; Barcelona, Spain 2016

  31. Hezode C, Hirschfield GM, Ghesquiere W, Sievert W, Rodriguez-Torres M, Shafran SD, et al. Daclatasvir plus peginterferon alfa and ribavirin for treatment-naive chronic hepatitis C genotype 1 or 4 infection: a randomised study. Gut. 2015;64(6):948–56. doi:10.1136/gutjnl-2014-307498.

    CAS  PubMed  Article  Google Scholar 

  32. Gondeau C, Pageaux GP, Larrey D. Hepatitis C virus infection: are there still specific problems with genotype 3? World J Gastroenterol. 2015;21(42):12101–13. doi:10.3748/wjg.v21.i42.12101.

    CAS  PubMed  PubMed Central  Article  Google Scholar 

  33. Kohler JJ, Nettles JH, Amblard F, Hurwitz SJ, Bassit L, Stanton RA, et al. Approaches to hepatitis C treatment and cure using NS5A inhibitors. Infect Drug Resist. 2014;7:41–56. doi:10.2147/IDR.S36247.

    PubMed  PubMed Central  Google Scholar 

  34. Wong KA, Worth A, Martin R, Svarovskaia E, Brainard DM, Lawitz E, et al. Characterization of hepatitis C virus resistance from a multiple-dose clinical trial of the novel NS5A inhibitor GS-5885. Antimicrob Agents Chemother. 2013;57(12):6333–40. doi:10.1128/AAC.02193-12.

    CAS  PubMed  PubMed Central  Article  Google Scholar 

  35. Lawitz E, Kowdley K, Curry M, et al. High efficacy of sofosbuvir/velpatasvir plus GS-9857 for 12 weeks in treatment-experienced genotype 1-6. HCV-infected patients, including those previously treated with direct-acting antivirals. [Abstract PS008]. Program and abstracts of the 51st annual meeting of the European Associaton for the Study of the Liver; April 13–17, 2016; Barcelona, Spain2016

  36. Kwo PY Wyles DL, Wang S, et al. 100% SVR12 with ABT-493 and ABT-530 with or without ribavirin in treatment-naive HCV genotype 3-infected patients with cirrhosis. [Abstract LBO1]. Program and abstracts of the 51st annual meeting of the European Association for the Study of the Liver; April 13–17, 2016; Barcelona, Spain2016

  37. Ng T Pilot-Matias T, Lu L, Reisch T, Dekhtyar T, Krishnan P, Beyer J, Tripathi R, Pithawalla R, Asatryan A, Cambell A, Kort J, Collins C. A next generation HCV DAA combination: potent, pangenotypic inhibitors ABT - 493 and ABT - 530 with high barriers to resistance. [Abstract 1946] 65th annual meeting of the American Association for the Study of Liver Diseases (AASLD); November 7–11 2014; Boston, MA, 2014

  38. Ng T, Krishnan P, Kati W, et al. ABT-530, an HCV NS5A inhibitor with potent pangenotypic activity and high genetic barrier to resistance. [Abstract 639]. Program and abstracts of the 21st Conference on Retroviruses and Opportunistic Infections; March 3–6, 2014; Boston, MA, 2014

  39. Poordad F, Lawitz E, Gutierrez J, et al. C-SWIFT: Grazoprevir/elbasvir + sofosbuvir in cirrhotic and noncirrhotic, treatment-naive patients with hepatitis C virus genotype 1 infection, for durations of 4, 6, or 8 weeks and genotype 3 infection for durations of 8 or 12 weeks. [Abstract O006] Program and abstracts of the 50th annual meeting of the European Association for the Study of the Liver; April 22–26, 2015; Vienna, Austria, 2015

  40. Pawlotsky JM, Hepatitis C. Virus resistance to direct-acting antiviral drugs in interferon-free regimens. Gastroenterology. 2016;151(1):70–86. doi:10.1053/j.gastro.2016.04.003.

    CAS  PubMed  Article  Google Scholar 

  41. Fukuhara T, Ono C, Puig-Basagoiti F, Matsuura Y. Roles of lipoproteins and apolipoproteins in particle formation of hepatitis C virus. Trends Microbiol. 2015;23(10):618–29. doi:10.1016/j.tim.2015.07.007.

    CAS  PubMed  Article  Google Scholar 

  42. • Grassi G, Di Caprio G, Fimia GM, Ippolito G, Tripodi M, Alonzi T. Hepatitis C virus relies on lipoproteins for its life cycle. World J Gastroenterol. 2016;22(6):1953–65. doi:10.3748/wjg.v22.i6.1953. An informative recent review of the intimate connection between HCV life cycle and host lipid metabolism.

    CAS  PubMed  PubMed Central  Article  Google Scholar 

  43. Andre P, Komurian-Pradel F, Deforges S, Perret M, Berland JL, Sodoyer M, et al. Characterization of low- and very-low-density hepatitis C virus RNA-containing particles. J Virol. 2002;76(14):6919–28.

    CAS  PubMed  PubMed Central  Article  Google Scholar 

  44. Nielsen SU, Bassendine MF, Burt AD, Martin C, Pumeechockchai W, Toms GL. Association between hepatitis C virus and very-low-density lipoprotein (VLDL)/LDL analyzed in iodixanol density gradients. J Virol. 2006;80(5):2418–28. doi:10.1128/JVI.80.5.2418-2428.2006.

    CAS  PubMed  PubMed Central  Article  Google Scholar 

  45. Thomssen R, Bonk S, Propfe C, Heermann KH, Kochel HG, Uy A. Association of hepatitis C virus in human sera with beta-lipoprotein. Med Microbiol Immunol. 1992;181(5):293–300.

    CAS  PubMed  Article  Google Scholar 

  46. Merz A, Long G, Hiet MS, Brugger B, Chlanda P, Andre P, et al. Biochemical and morphological properties of hepatitis C virus particles and determination of their lipidome. J Biol Chem. 2011;286(4):3018–32. doi:10.1074/jbc.M110.175018.

    CAS  PubMed  Article  Google Scholar 

  47. Catanese MT, Uryu K, Kopp M, Edwards TJ, Andrus L, Rice WJ, et al. Ultrastructural analysis of hepatitis C virus particles. Proc Natl Acad Sci U S A. 2013;110(23):9505–10. doi:10.1073/pnas.1307527110.

    CAS  PubMed  PubMed Central  Article  Google Scholar 

  48. Chang KS, Jiang J, Cai Z, Luo G. Human apolipoprotein e is required for infectivity and production of hepatitis C virus in cell culture. J Virol. 2007;81(24):13783–93. doi:10.1128/JVI.01091-07.

    CAS  PubMed  PubMed Central  Article  Google Scholar 

  49. Gastaminza P, Cheng G, Wieland S, Zhong J, Liao W, Chisari FV. Cellular determinants of hepatitis C virus assembly, maturation, degradation, and secretion. J Virol. 2008;82(5):2120–9. doi:10.1128/JVI.02053-07.

    CAS  PubMed  Article  Google Scholar 

  50. Meunier JC, Russell RS, Engle RE, Faulk KN, Purcell RH, Emerson SU. Apolipoprotein c1 association with hepatitis C virus. J Virol. 2008;82(19):9647–56. doi:10.1128/JVI.00914-08.

    CAS  PubMed  PubMed Central  Article  Google Scholar 

  51. Sun HY, Lin CC, Lee JC, Wang SW, Cheng PN, Wu IC, et al. Very low-density lipoprotein/lipo-viro particles reverse lipoprotein lipase-mediated inhibition of hepatitis C virus infection via apolipoprotein C-III. Gut. 2013;62(8):1193–203. doi:10.1136/gutjnl-2011-301798.

    CAS  PubMed  Article  Google Scholar 

  52. Benga WJ, Krieger SE, Dimitrova M, Zeisel MB, Parnot M, Lupberger J, et al. Apolipoprotein E interacts with hepatitis C virus nonstructural protein 5A and determines assembly of infectious particles. Hepatology. 2010;51(1):43–53. doi:10.1002/hep.23278.

    CAS  PubMed  Article  Google Scholar 

  53. Jiang J, Luo G. Apolipoprotein E but not B is required for the formation of infectious hepatitis C virus particles. J Virol. 2009;83(24):12680–91. doi:10.1128/JVI.01476-09.

    CAS  PubMed  PubMed Central  Article  Google Scholar 

  54. Hishiki T, Shimizu Y, Tobita R, Sugiyama K, Ogawa K, Funami K, et al. Infectivity of hepatitis C virus is influenced by association with apolipoprotein E isoforms. J Virol. 2010;84(22):12048–57. doi:10.1128/JVI.01063-10.

    CAS  PubMed  PubMed Central  Article  Google Scholar 

  55. Masson D, Koseki M, Ishibashi M, Larson CJ, Miller SG, King BD, et al. Increased HDL cholesterol and apoA-I in humans and mice treated with a novel SR-BI inhibitor. Arterioscler Thromb Vasc Biol. 2009;29(12):2054–60. doi:10.1161/ATVBAHA.109.191320.

    CAS  PubMed  PubMed Central  Article  Google Scholar 

  56. •• Sainz Jr B, Barretto N, Martin DN, Hiraga N, Imamura M, Hussain S, et al. Identification of the Niemann-Pick C1-like 1 cholesterol absorption receptor as a new hepatitis C virus entry factor. Nat Med. 2012;18(2):281–5. doi:10.1038/nm.2581. An important paper demonstrating that the NPC1L1 cholesterol uptake receptor is a host cellular factor for HCV entry and is amenable to therapeutic intervention by the NPC1L1 antagonist ezetimibe.

    CAS  PubMed  PubMed Central  Article  Google Scholar 

  57. Lefevre M, Felmlee DJ, Parnot M, Baumert TF, Schuster C. Syndecan 4 is involved in mediating HCV entry through interaction with lipoviral particle-associated apolipoprotein E. PLoS One. 2014;9(4):e95550. doi:10.1371/journal.pone.0095550.

    PubMed  PubMed Central  Article  Google Scholar 

  58. Shi Q, Jiang J, Luo G. Syndecan-1 serves as the major receptor for attachment of hepatitis C virus to the surfaces of hepatocytes. J Virol. 2013;87(12):6866–75. doi:10.1128/JVI.03475-12.

    CAS  PubMed  PubMed Central  Article  Google Scholar 

  59. Jiang J, Wu X, Tang H, Luo G. Apolipoprotein E mediates attachment of clinical hepatitis C virus to hepatocytes by binding to cell surface heparan sulfate proteoglycan receptors. PLoS One. 2013;8(7):e67982. doi:10.1371/journal.pone.0067982.

    CAS  PubMed  PubMed Central  Article  Google Scholar 

  60. Xu Y, Martinez P, Seron K, Luo G, Allain F, Dubuisson J, et al. Characterization of hepatitis C virus interaction with heparan sulfate proteoglycans. J Virol. 2015;89(7):3846–58. doi:10.1128/JVI.03647-14.

    CAS  PubMed  PubMed Central  Article  Google Scholar 

  61. Scarselli E, Ansuini H, Cerino R, Roccasecca RM, Acali S, Filocamo G, et al. The human scavenger receptor class B type I is a novel candidate receptor for the hepatitis C virus. EMBO J. 2002;21(19):5017–25.

    CAS  PubMed  PubMed Central  Article  Google Scholar 

  62. Pileri P, Uematsu Y, Campagnoli S, Galli G, Falugi F, Petracca R, et al. Binding of hepatitis C virus to CD81. Science. 1998;282(5390):938–41.

    CAS  PubMed  Article  Google Scholar 

  63. Evans MJ, von Hahn T, Tscherne DM, Syder AJ, Panis M, Wolk B, et al. Claudin-1 is a hepatitis C virus co-receptor required for a late step in entry. Nature. 2007;446(7137):801–5. doi:10.1038/nature05654.

    CAS  PubMed  Article  Google Scholar 

  64. Ploss A, Evans MJ, Gaysinskaya VA, Panis M, You H, de Jong YP, et al. Human occludin is a hepatitis C virus entry factor required for infection of mouse cells. Nature. 2009;457(7231):882–6. doi:10.1038/nature07684.

    CAS  PubMed  PubMed Central  Article  Google Scholar 

  65. Shen WJ, Hu J, Hu Z, Kraemer FB, Azhar S. Scavenger receptor class B type I (SR-BI): a versatile receptor with multiple functions and actions. Metabolism. 2014;63(7):875–86. doi:10.1016/j.metabol.2014.03.011.

    CAS  PubMed  Article  Google Scholar 

  66. Dao Thi VL, Granier C, Zeisel MB, Guerin M, Mancip J, Granio O, et al. Characterization of hepatitis C virus particle subpopulations reveals multiple usage of the scavenger receptor BI for entry steps. J Biol Chem. 2012;287(37):31242–57. doi:10.1074/jbc.M112.365924.

    CAS  PubMed  PubMed Central  Article  Google Scholar 

  67. Zahid MN, Turek M, Xiao F, Thi VL, Guerin M, Fofana I, et al. The postbinding activity of scavenger receptor class B type I mediates initiation of hepatitis C virus infection and viral dissemination. Hepatology. 2013;57(2):492–504. doi:10.1002/hep.26097.

    CAS  PubMed  Article  Google Scholar 

  68. Cheng JJ, Li JR, Huang MH, Ma LL, Wu ZY, Jiang CC, et al. CD36 is a co-receptor for hepatitis C virus E1 protein attachment. Sci Rep. 2016;6:21808. doi:10.1038/srep21808.

    CAS  PubMed  PubMed Central  Article  Google Scholar 

  69. Martin C, Chevrot M, Poirier H, Passilly-Degrace P, Niot I, Besnard P. CD36 as a lipid sensor. Physiol Behav. 2011;105(1):36–42. doi:10.1016/j.physbeh.2011.02.029.

    CAS  PubMed  Article  Google Scholar 

  70. Harris HJ, Clerte C, Farquhar MJ, Goodall M, Hu K, Rassam P, et al. Hepatoma polarization limits CD81 and hepatitis C virus dynamics. Cell Microbiol. 2013;15(3):430–45. doi:10.1111/cmi.12047.

    CAS  PubMed  Article  Google Scholar 

  71. Potel J, Rassam P, Montpellier C, Kaestner L, Werkmeister E, Tews BA, et al. EWI-2wint promotes CD81 clustering that abrogates hepatitis C virus entry. Cell Microbiol. 2013;15(7):1234–52. doi:10.1111/cmi.12112.

    CAS  PubMed  Article  Google Scholar 

  72. Popescu CI, Riva L, Vlaicu O, Farhat R, Rouille Y, Dubuisson J. Hepatitis C virus life cycle and lipid metabolism. Biology (Basel). 2014;3(4):892–921. doi:10.3390/biology3040892.

    CAS  Google Scholar 

  73. Harris HJ, Davis C, Mullins JG, Hu K, Goodall M, Farquhar MJ, et al. Claudin association with CD81 defines hepatitis C virus entry. J Biol Chem. 2010;285(27):21092–102. doi:10.1074/jbc.M110.104836.

    CAS  PubMed  PubMed Central  Article  Google Scholar 

  74. Harris HJ, Farquhar MJ, Mee CJ, Davis C, Reynolds GM, Jennings A, et al. CD81 and claudin 1 coreceptor association: role in hepatitis C virus entry. J Virol. 2008;82(10):5007–20. doi:10.1128/JVI.02286-07.

    CAS  PubMed  PubMed Central  Article  Google Scholar 

  75. Blanchard E, Belouzard S, Goueslain L, Wakita T, Dubuisson J, Wychowski C, et al. Hepatitis C virus entry depends on clathrin-mediated endocytosis. J Virol. 2006;80(14):6964–72. doi:10.1128/JVI.00024-06.

    CAS  PubMed  PubMed Central  Article  Google Scholar 

  76. Lupberger J, Zeisel MB, Xiao F, Thumann C, Fofana I, Zona L, et al. EGFR and EphA2 are host factors for hepatitis C virus entry and possible targets for antiviral therapy. Nat Med. 2011;17(5):589–95. doi:10.1038/nm.2341.

    CAS  PubMed  PubMed Central  Article  Google Scholar 

  77. Martin DN, Uprichard SL. Identification of transferrin receptor 1 as a hepatitis C virus entry factor. Proc Natl Acad Sci U S A. 2013;110(26):10777–82. doi:10.1073/pnas.1301764110.

    CAS  PubMed  PubMed Central  Article  Google Scholar 

  78. Eyre NS, Drummer HE, Beard MR. The SR-BI partner PDZK1 facilitates hepatitis C virus entry. PLoS Pathog. 2010;6(10):e1001130. doi:10.1371/journal.ppat.1001130.

    PubMed  PubMed Central  Article  CAS  Google Scholar 

  79. Jia L, Betters JL, Yu L. Niemann-pick C1-like 1 (NPC1L1) protein in intestinal and hepatic cholesterol transport. Annu Rev Physiol. 2011;73:239–59. doi:10.1146/annurev-physiol-012110-142233.

    CAS  PubMed  PubMed Central  Article  Google Scholar 

  80. Egger D, Wolk B, Gosert R, Bianchi L, Blum HE, Moradpour D, et al. Expression of hepatitis C virus proteins induces distinct membrane alterations including a candidate viral replication complex. J Virol. 2002;76(12):5974–84.

    CAS  PubMed  PubMed Central  Article  Google Scholar 

  81. Gosert R, Egger D, Lohmann V, Bartenschlager R, Blum HE, Bienz K, et al. Identification of the hepatitis C virus RNA replication complex in Huh-7 cells harboring subgenomic replicons. J Virol. 2003;77(9):5487–92.

    CAS  PubMed  PubMed Central  Article  Google Scholar 

  82. Romero-Brey I, Merz A, Chiramel A, Lee JY, Chlanda P, Haselman U, et al. Three-dimensional architecture and biogenesis of membrane structures associated with hepatitis C virus replication. PLoS Pathog. 2012;8(12):e1003056. doi:10.1371/journal.ppat.1003056.

    CAS  PubMed  PubMed Central  Article  Google Scholar 

  83. Shi ST, Lee KJ, Aizaki H, Hwang SB, Lai MM. Hepatitis C virus RNA replication occurs on a detergent-resistant membrane that cofractionates with caveolin-2. J Virol. 2003;77(7):4160–8.

    CAS  PubMed  PubMed Central  Article  Google Scholar 

  84. Lohmann V, Korner F, Koch J, Herian U, Theilmann L, Bartenschlager R. Replication of subgenomic hepatitis C virus RNAs in a hepatoma cell line. Science. 1999;285(5424):110–3.

    CAS  PubMed  Article  Google Scholar 

  85. Gao L, Aizaki H, He JW, Lai MM. Interactions between viral nonstructural proteins and host protein hVAP-33 mediate the formation of hepatitis C virus RNA replication complex on lipid raft. J Virol. 2004;78(7):3480–8.

    CAS  PubMed  PubMed Central  Article  Google Scholar 

  86. Nguyen LN, Lim YS, Pham LV, Shin HY, Kim YS, Hwang SB. Stearoyl coenzyme A desaturase 1 is associated with hepatitis C virus replication complex and regulates viral replication. J Virol. 2014;88(21):12311–25. doi:10.1128/JVI.01678-14.

    PubMed  PubMed Central  Article  CAS  Google Scholar 

  87. Behrens SE, Tomei L, De Francesco R. Identification and properties of the RNA-dependent RNA polymerase of hepatitis C virus. EMBO J. 1996;15(1):12–22.

    CAS  PubMed  PubMed Central  Google Scholar 

  88. Herker E, Ott M. Unique ties between hepatitis C virus replication and intracellular lipids. Trends Endocrinol Metab. 2011;22(6):241–8. doi:10.1016/j.tem.2011.03.004.

    CAS  PubMed  PubMed Central  Article  Google Scholar 

  89. Reiss S, Rebhan I, Backes P, Romero-Brey I, Erfle H, Matula P, et al. Recruitment and activation of a lipid kinase by hepatitis C virus NS5A is essential for integrity of the membranous replication compartment. Cell Host Microbe. 2011;9(1):32–45. doi:10.1016/j.chom.2010.12.002.

    CAS  PubMed  PubMed Central  Article  Google Scholar 

  90. Bianco A, Reghellin V, Donnici L, Fenu S, Alvarez R, Baruffa C, et al. Metabolism of phosphatidylinositol 4-kinase IIIα-dependent PI4P is subverted by HCV and is targeted by a 4-anilino quinazoline with antiviral activity. PLoS Pathog. 2012;8(3):e1002576. doi:10.1371/journal.ppat.1002576.

    CAS  PubMed  PubMed Central  Article  Google Scholar 

  91. Wang H, Perry JW, Lauring AS, Neddermann P, De Francesco R, Tai AW. Oxysterol-binding protein is a phosphatidylinositol 4-kinase effector required for HCV replication membrane integrity and cholesterol trafficking. Gastroenterology. 2014;146(5):1373–85. doi:10.1053/j.gastro.2014.02.002. e1-11

    CAS  PubMed  PubMed Central  Article  Google Scholar 

  92. Khan I, Katikaneni DS, Han Q, Sanchez-Felipe L, Hanada K, Ambrose RL, et al. Modulation of hepatitis C virus genome replication by glycosphingolipids and four-phosphate adaptor protein 2. J Virol. 2014;88(21):12276–95. doi:10.1128/JVI.00970-14.

    PubMed  PubMed Central  Article  CAS  Google Scholar 

  93. Waris G, Felmlee DJ, Negro F, Siddiqui A. Hepatitis C virus induces proteolytic cleavage of sterol regulatory element binding proteins and stimulates their phosphorylation via oxidative stress. J Virol. 2007;81(15):8122–30. doi:10.1128/JVI.00125-07.

    CAS  PubMed  PubMed Central  Article  Google Scholar 

  94. Oem JK, Jackel-Cram C, Li YP, Zhou Y, Zhong J, Shimano H, et al. Activation of sterol regulatory element-binding protein 1c and fatty acid synthase transcription by hepatitis C virus non-structural protein 2. J Gen Virol. 2008;89(Pt 5):1225–30. doi:10.1099/vir.0.83491-0.

    CAS  PubMed  Article  Google Scholar 

  95. Xiang Z, Qiao L, Zhou Y, Babiuk LA, Liu Q. Hepatitis C virus nonstructural protein-5A activates sterol regulatory element-binding protein-1c through transcription factor Sp1. Biochem Biophys Res Commun. 2010;402(3):549–53. doi:10.1016/j.bbrc.2010.10.081.

    CAS  PubMed  Article  Google Scholar 

  96. Jackel-Cram C, Qiao L, Xiang Z, Brownlie R, Zhou Y, Babiuk L, et al. Hepatitis C virus genotype-3a core protein enhances sterol regulatory element-binding protein-1 activity through the phosphoinositide 3-kinase-Akt-2 pathway. J Gen Virol. 2010;91(Pt 6):1388–95. doi:10.1099/vir.0.017418-0.

    CAS  PubMed  Article  Google Scholar 

  97. Jeon TI, Osborne TF. SREBPs: metabolic integrators in physiology and metabolism. Trends Endocrinol Metab. 2012;23(2):65–72. doi:10.1016/j.tem.2011.10.004.

    CAS  PubMed  Article  Google Scholar 

  98. Wang Y, Viscarra J, Kim SJ, Sul HS. Transcriptional regulation of hepatic lipogenesis. Nat Rev Mol Cell Biol. 2015;16(11):678–89. doi:10.1038/nrm4074.

    CAS  PubMed  PubMed Central  Article  Google Scholar 

  99. Jackel-Cram C, Babiuk LA, Liu Q. Up-regulation of fatty acid synthase promoter by hepatitis C virus core protein: genotype-3a core has a stronger effect than genotype-1b core. J Hepatol. 2007;46(6):999–1008. doi:10.1016/j.jhep.2006.10.019.

    CAS  PubMed  Article  Google Scholar 

  100. Leavens KF, Easton RM, Shulman GI, Previs SF, Birnbaum MJ. Akt2 is required for hepatic lipid accumulation in models of insulin resistance. Cell Metab. 2009;10(5):405–18. doi:10.1016/j.cmet.2009.10.004.

    CAS  PubMed  PubMed Central  Article  Google Scholar 

  101. Moradpour D, Englert C, Wakita T, Wands JR. Characterization of cell lines allowing tightly regulated expression of hepatitis C virus core protein. Virology. 1996;222(1):51–63. doi:10.1006/viro.1996.0397.

    CAS  PubMed  Article  Google Scholar 

  102. Liefhebber JM, Hague CV, Zhang Q, Wakelam MJ, McLauchlan J. Modulation of triglyceride and cholesterol ester synthesis impairs assembly of infectious hepatitis C virus. J Biol Chem. 2014;289(31):21276–88. doi:10.1074/jbc.M114.582999.

    PubMed  PubMed Central  Article  CAS  Google Scholar 

  103. • Filipe A, McLauchlan J. Hepatitis C virus and lipid droplets: finding a niche. Trends Mol Med. 2015;21(1):34–42. doi:10.1016/j.molmed.2014.11.003. A recent review highlighting changes in lipid homeostastis due to HCV infection and the formation of lipid droplets in the host cell.

    CAS  PubMed  Article  Google Scholar 

  104. Pol A, Gross SP, Parton RG. Review: biogenesis of the multifunctional lipid droplet: lipids, proteins, and sites. J Cell Biol. 2014;204(5):635–46. doi:10.1083/jcb.201311051.

    CAS  PubMed  PubMed Central  Article  Google Scholar 

  105. Miyanari Y, Atsuzawa K, Usuda N, Watashi K, Hishiki T, Zayas M, et al. The lipid droplet is an important organelle for hepatitis C virus production. Nat Cell Biol. 2007;9(9):1089–97. doi:10.1038/ncb1631.

    CAS  PubMed  Article  Google Scholar 

  106. Appel N, Zayas M, Miller S, Krijnse-Locker J, Schaller T, Friebe P, et al. Essential role of domain III of nonstructural protein 5A for hepatitis C virus infectious particle assembly. PLoS Pathog. 2008;4(3):e1000035. doi:10.1371/journal.ppat.1000035.

    PubMed  PubMed Central  Article  CAS  Google Scholar 

  107. Herker E, Harris C, Hernandez C, Carpentier A, Kaehlcke K, Rosenberg AR, et al. Efficient hepatitis C virus particle formation requires diacylglycerol acyltransferase-1. Nat Med. 2010;16(11):1295–8. doi:10.1038/nm.2238.

    CAS  PubMed  PubMed Central  Article  Google Scholar 

  108. Harris C, Herker E, Farese Jr RV, Ott M. Hepatitis C virus core protein decreases lipid droplet turnover: a mechanism for core-induced steatosis. J Biol Chem. 2011;286(49):42615–25. doi:10.1074/jbc.M111.285148.

    CAS  PubMed  PubMed Central  Article  Google Scholar 

  109. Abid K, Pazienza V, de Gottardi A, Rubbia-Brandt L, Conne B, Pugnale P, et al. An in vitro model of hepatitis C virus genotype 3a-associated triglycerides accumulation. J Hepatol. 2005;42(5):744–51. doi:10.1016/j.jhep.2004.12.034.

    CAS  PubMed  Article  Google Scholar 

  110. Clement S, Peyrou M, Sanchez-Pareja A, Bourgoin L, Ramadori P, Suter D, et al. Down-regulation of phosphatase and tensin homolog by hepatitis C virus core 3a in hepatocytes triggers the formation of large lipid droplets. Hepatology. 2011;54(1):38–49. doi:10.1002/hep.24340.

    CAS  PubMed  Article  Google Scholar 

  111. Peyrou M, Clement S, Maier C, Bourgoin L, Branche E, Conzelmann S, et al. PTEN protein phosphatase activity regulates hepatitis C virus secretion through modulation of cholesterol metabolism. J Hepatol. 2013;59(3):420–6. doi:10.1016/j.jhep.2013.04.012.

    CAS  PubMed  Article  Google Scholar 

  112. Zhang H, Neimanis S, Lopez-Garcia LA, Arencibia JM, Amon S, Stroba A, et al. Molecular mechanism of regulation of the atypical protein kinase C by N-terminal domains and an allosteric small compound. Chem Biol. 2014;21(6):754–65. doi:10.1016/j.chembiol.2014.04.007.

    CAS  PubMed  Article  Google Scholar 

  113. Masaki T, Suzuki R, Murakami K, Aizaki H, Ishii K, Murayama A, et al. Interaction of hepatitis C virus nonstructural protein 5A with core protein is critical for the production of infectious virus particles. J Virol. 2008;82(16):7964–76. doi:10.1128/JVI.00826-08.

    CAS  PubMed  PubMed Central  Article  Google Scholar 

  114. Masaki T, Matsunaga S, Takahashi H, Nakashima K, Kimura Y, Ito M, et al. Involvement of hepatitis C virus NS5A hyperphosphorylation mediated by casein kinase I-alpha in infectious virus production. J Virol. 2014;88(13):7541–55. doi:10.1128/JVI.03170-13.

    PubMed  PubMed Central  Article  CAS  Google Scholar 

  115. Evans MJ, Rice CM, Goff SP. Phosphorylation of hepatitis C virus nonstructural protein 5A modulates its protein interactions and viral RNA replication. Proc Natl Acad Sci U S A. 2004;101(35):13038–43. doi:10.1073/pnas.0405152101.

    CAS  PubMed  PubMed Central  Article  Google Scholar 

  116. Qian XJ, Zhu YZ, Zhao P, Qi ZT. Entry inhibitors: new advances in HCV treatment. Emerg Microbes Infect. 2016;5:e3. doi:10.1038/emi.2016.3.

    CAS  PubMed  PubMed Central  Article  Google Scholar 

  117. Sulkowski MS, Kang M, Matining R, Wyles D, Johnson VA, Morse GD, et al. Safety and antiviral activity of the HCV entry inhibitor ITX5061 in treatment-naive HCV-infected adults: a randomized, double-blind, phase 1b study. J Infect Dis. 2014;209(5):658–67. doi:10.1093/infdis/jit503.

    CAS  PubMed  Article  Google Scholar 

  118. Syder AJ, Lee H, Zeisel MB, Grove J, Soulier E, Macdonald J, et al. Small molecule scavenger receptor BI antagonists are potent HCV entry inhibitors. J Hepatol. 2011;54(1):48–55. doi:10.1016/j.jhep.2010.06.024.

    CAS  PubMed  Article  Google Scholar 

  119. Loizides-Mangold U, Clement S, Alfonso-Garcia A, Branche E, Conzelmann S, Parisot C, et al. HCV 3a core protein increases lipid droplet cholesteryl ester content via a mechanism dependent on sphingolipid biosynthesis. PLoS One. 2014;9(12):e115309. doi:10.1371/journal.pone.0115309.

    PubMed  PubMed Central  Article  CAS  Google Scholar 

  120. Amemiya T, Yokoyama Y, Oda K, Nishio H, Ebata T, Abe T, et al. A patient with gallbladder cancer with paraaortic lymph node and hepatic metastases who has survived for more than 13 years after the primary extended radical operation. J Hepato-Biliary-Pancreat Surg. 2008;15(6):648–51. doi:10.1007/s00534-007-1316-4.

    Article  Google Scholar 

  121. Zhang FL, Casey PJ. Protein prenylation: molecular mechanisms and functional consequences. Annu Rev Biochem. 1996;65:241–69. doi:10.1146/annurev.bi.65.070196.001325.

    CAS  PubMed  Article  Google Scholar 

  122. Kapadia SB, Chisari FV. Hepatitis C virus RNA replication is regulated by host geranylgeranylation and fatty acids. Proc Natl Acad Sci U S A. 2005;102(7):2561–6. doi:10.1073/pnas.0409834102.

    CAS  PubMed  PubMed Central  Article  Google Scholar 

  123. •• Clark PJ, Thompson AJ, Vock DM, Kratz LE, Tolun AA, Muir AJ, et al. Hepatitis C virus selectively perturbs the distal cholesterol synthesis pathway in a genotype-specific manner. Hepatology. 2012;56(1):49–56. doi:10.1002/hep.25631. An important report on alterations in the in vivo distribution of cholesterol metabolites during HCV GT3 infection.

    CAS  PubMed  Article  Google Scholar 

  124. Younossi ZM, Stepanova M, Estep M, Negro F, Clark PJ, Hunt S, et al. Dysregulation of distal cholesterol biosynthesis in association with relapse and advanced disease in CHC genotype 2 and 3 treated with sofosbuvir and ribavirin. J Hepatol. 2016;64(1):29–36. doi:10.1016/j.jhep.2015.08.027.

    CAS  PubMed  Article  Google Scholar 

  125. O’Leary JG, Chan JL, McMahon CM, Chung RT. Atorvastatin does not exhibit antiviral activity against HCV at conventional doses: a pilot clinical trial. Hepatology. 2007;45(4):895–8. doi:10.1002/hep.21554.

    PubMed  Article  CAS  Google Scholar 

  126. Forde KA, Law C, O’Flynn R, Kaplan DE. Do statins reduce hepatitis C RNA titers during routine clinical use? World J Gastroenterol. 2009;15(40):5020–7.

    CAS  PubMed  PubMed Central  Article  Google Scholar 

  127. Patel K, Jhaveri R, George J, Qiang G, Kenedi C, Brown K, et al. Open-label, ascending dose, prospective cohort study evaluating the antiviral efficacy of Rosuvastatin therapy in serum and lipid fractions in patients with chronic hepatitis C. J Viral Hepat. 2011;18(5):331–7. doi:10.1111/j.1365-2893.2010.01310.x.

    CAS  PubMed  Article  Google Scholar 

  128. Milazzo L, Meroni L, Galazzi M, Cesari M, Caramma I, Marchetti G, et al. Does fluvastatin favour HCV replication in vivo? A pilot study on HIV-HCV coinfected patients. J Viral Hepat. 2009;16(7):479–84. doi:10.1111/j.1365-2893.2009.01104.x.

    CAS  PubMed  Article  Google Scholar 

  129. Milazzo L, Antinori S. In vivo effects of fluvastatin on HCV replication in HIV-1 coinfected subjects. J Viral Hepat. 2010;17(3):228. doi:10.1111/j.1365-2893.2009.01187.x.

    CAS  PubMed  Article  Google Scholar 

  130. Sezaki H, Suzuki F, Akuta N, Yatsuji H, Hosaka T, Kobayashi M, et al. An open pilot study exploring the efficacy of fluvastatin, pegylated interferon and ribavirin in patients with hepatitis C virus genotype 1b in high viral loads. Intervirology. 2009;52(1):43–8. doi:10.1159/000213504.

    CAS  PubMed  Article  Google Scholar 

  131. Kondo C, Atsukawa M, Tsubota A, Itokawa N, Fukuda T, Matsushita Y, et al. An open-label randomized controlled study of pegylated interferon/ribavirin combination therapy for chronic hepatitis C with versus without fluvastatin. J Viral Hepat. 2012;19(9):615–22. doi:10.1111/j.1365-2893.2011.01584.x.

    CAS  PubMed  Article  Google Scholar 

  132. Verpaalen B, Neyts J, Delang L. Are statins a viable option for the treatment of infections with the hepatitis C virus? Antivir Res. 2014;105:92–9. doi:10.1016/j.antiviral.2014.02.020.

    CAS  PubMed  Article  Google Scholar 

  133. Butt AA, Yan P, Bonilla H, Abou-Samra AB, Shaikh OS, Simon TG, et al. Effect of addition of statins to antiviral therapy in hepatitis C virus-infected persons: results from ERCHIVES. Hepatology. 2015;62(2):365–74. doi:10.1002/hep.27835.

    CAS  PubMed  Article  Google Scholar 

  134. Sirtori CR, Mombelli G, Triolo M, Laaksonen R. Clinical response to statins: mechanism(s) of variable activity and adverse effects. Ann Med. 2012;44(5):419–32. doi:10.3109/07853890.2011.582135.

    CAS  PubMed  Article  Google Scholar 

Download references

Author information

Affiliations

Authors

Corresponding author

Correspondence to Brianne Raccor.

Ethics declarations

Conflict of Interest

Drs. Johnson, Thompson, and Raccor declare no conflicts of interests.

Human and Animal Rights and Informed Consent

This article does not contain any studies with human or animal subjects performed by any of the authors.

Additional information

This article is part of the Topical Collection on Intra-abdominal Infections, Hepatitis, and Gastroenteritis

Rights and permissions

Reprints and Permissions

About this article

Verify currency and authenticity via CrossMark

Cite this article

Johnson, S.W., Thompson, D.K. & Raccor, B. Hepatitis C Virus-Genotype 3: Update on Current and Emergent Therapeutic Interventions. Curr Infect Dis Rep 19, 22 (2017). https://doi.org/10.1007/s11908-017-0578-5

Download citation

  • Published:

  • DOI: https://doi.org/10.1007/s11908-017-0578-5

Keywords

  • Hepatitis C virus
  • Genotype 3
  • Direct-acting antiviral agents
  • HCV life cycle
  • Steatosis
  • Cholesterol biosynthesis