Skip to main content

How does reading performance modulate the impact of orthographic knowledge on speech processing? A comparison of normal readers and dyslexic adults

Abstract

Studies on proficient readers showed that speech processing is affected by knowledge of the orthographic code. Yet, the automaticity of the orthographic influence depends on task demand. Here, we addressed this automaticity issue in normal and dyslexic adult readers by comparing the orthographic effects obtained in two speech processing tasks that are or not sensitive to strategies developed by participants. Our finding showed that while participants’ performance in a metaphonological task, which is known to be strategy prone, was affected by their orthographic knowledge regardless of the childhood diagnosis of dyslexia or of their actual reading-related skills, this latter factor significantly modulated the orthographic influence found in a more natural speech recognition task. The finding supports the claim that while any individuals who know a reading code are able to resort to their orthographic knowledge when they process speech, a more profound modification of the speech processing system by the orthographic code takes place only in readers who have reached a certain level of reading expertise.

This is a preview of subscription content, access via your institution.

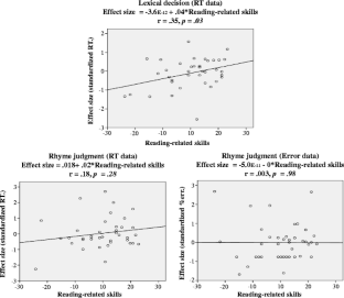
Fig. 1
Fig. 2

Notes

  1. For all subtests (except the memory tasks), the percentage of correct responses corresponded to the score obtained by the participant compared to the maximum score of the test. As regards the memory tasks, the maximum corresponded to the highest memory span obtained in the entire sample of participants.

  2. In lexical decision, the size of the orthographic effect corresponded to the difference between the performance obtained in the consistent and inconsistent condition, computed separately on words and pseudowords. In rhyme judgment, it corresponded to the difference between the performance obtained in the same and different spelling condition, computed separately on rhyming and non-rhyming trials.

  3. For both RTs and error rate, the same result pattern was obtained when group and its interactions with the other factors, which were nonsignificant predictors, were removed from the models.

  4. For RTs, the same result pattern was obtained when Group, Reading-related skills and their interactions with the other factors, which were non-significant predictors were removed from the models. For error rate, this model fitting procedure also led to a significant effect of phonology.

References

  • Baayen, R. H., Davidson, D. J., & Bates, D. M. (2008). Mixed-effects modeling with crossed random effects for subjects and items. Journal of Memory and Language, 59(4), 390–412.

    Article  Google Scholar 

  • Bates, D., & Maechler, M. (2009). lme4: Linear mixed-effects models using S4 classes (R package version 0.999375-31) [Software].

  • Booth, J. R., Burman, D. D., Meyer, J. R., Gitelman, D. R., Parrish, T. B., & Mesulam, M. M. (2002). Functional anatomy of intra- and cross-modal lexical tasks. NeuroImage, 16(1), 7–22.

    Article  Google Scholar 

  • Campbell, R., & Butterworth, B. (1985). Phonological dyslexia and dysgraphia in a highly literate subject: A developmental case with associated deficits of phonemic processing and awareness. Quarterly Journal of Experimental Psychology, 37, 435–475.

    Article  Google Scholar 

  • Cao, F., Peng, D., Liu, L., Jin, Z., Fan, N., Deng, Y., et al. (2009). Developmental differences of neurocognitive networks for phonological and semantic processing in Chinese word reading. Human Brain Mapping, 30, 797–809.

    Article  Google Scholar 

  • Castro-Caldas, A., Petersson, K. M., Reis, A., Stone-Elander, S., & Ingvar, M. (1998). The illiterate brain. Learning to read and write during childhood influences the functional organization of the adult brain. Brain, 121(6), 1053–1063.

    Article  Google Scholar 

  • Coltheart, M., Davelaar, E., Jonasson, T., & Besner, D. (1977). Access to the internal lexicon. In S. Dornic (Ed.), Attention and performance VI (pp. 535–555). New York: Academic.

    Google Scholar 

  • Cutler, A., Davis, C., & Kim, J. (2009). Non-automaticity of use of orthographic knowledge in phoneme evaluation. Paper presented at the 10th Annual Conference of the International Speech Communication Association, Brighton, United Kingdom.

  • Cutler, A., Treiman, R., & van Ooijen, B. (2010). Strategic deployment of orthographic knowledge in phoneme detection. Language and speech, 53(3), 307–320.

    Article  Google Scholar 

  • Damian, M. F., & Bowers, J. S. (2009). Orthographic effects in rhyme monitoring tasks: Are they automatic? European Journal of Cognitive Psychology, 22(1), 106–116.

    Article  Google Scholar 

  • Dehaene, S., Pegado, F., Braga, L. W., Ventura, P., Nunes Filho, G., Jobert, A., et al. (2010). How learning to read changes the cortical networks for vision and language. Science, 330(6009), 1359–1364.

    Article  Google Scholar 

  • Frith, U. (1998). Literally changing the brain. Brain, 121(6), 1011–1012.

    Article  Google Scholar 

  • Gola-Asmussen, C., Lequette, C., Pouget, G., Rouyer, C., & Zorman, M. (2010). Outil d’évaluation de compétences de lecture chez l’adulte de plus de 16 ans. Université de Provence Aix-Marseilles I–Cognisciences LES Université Pierre Mendès.

  • Grainger, J., & Ferrand, L. (1996). Masked orthographic and phonological priming in visual word recognition and naming: Cross-task comparisons. Journal of Memory and Language, 35(5), 623–647.

    Article  Google Scholar 

  • Grainger, J., & Jacobs, A. M. (1996). Orthographic processing in visual word recognition: a multiple read-out model. Psychological Review, 103(3), 518.

    Article  Google Scholar 

  • Harm, M. W., & Seidenberg, M. S. (1999). Phonology, reading acquisition, and dyslexia: insights from connectionist models. Psychological Review, 106, 491–528.

    Article  Google Scholar 

  • Hickok, G., & Poeppel, D. (2000). Towards a functional neuroanatomy of speech perception. Trends in Cognitive Sciences, 4(4), 131–138.

    Article  Google Scholar 

  • Hickok, G., & Poeppel, D. (2007). The cortical organization of speech processing. Nature Reviews Neuroscience, 8(5), 393–402.

    Article  Google Scholar 

  • Kolinsky, R. (1998). Spoken word recognition: A stage-processing approach to language differences. European Journal of Cognitive Psychology, 10(1), 1–40.

    Article  Google Scholar 

  • Lafontaine, H., Chetail, F., Colin, C., Kolinsky, R., & Pattamadilok, C. (2012). Role and activation time course of phonological and orthographic information during phoneme judgments. Neuropsychologia, 50(12), 2897–2906.

    Article  Google Scholar 

  • Landerl, K., Frith, U., & Wimmer, H. (1996). Intrusion of orthographic knowledge on phoneme awareness: Strong in normal readers, weak in dyslexic readers. Applied Psycholinguistics, 17(01), 1–14.

    Article  Google Scholar 

  • McPherson, W. B., Ackerman, P. T., & Dykman, R. A. (1997). Auditory and visual rhyme judgements reveal differences and similarities between normal and disabled adolescent readers. Dyslexia, 3, 63–77.

    Article  Google Scholar 

  • Morais, J., Bertelson, P., Cary, L., & Alegria, J. (1986). Literacy training and speech segmentation. Cognition, 24(1–2), 45–64.

    Article  Google Scholar 

  • Morais, J., & Kolinsky, R. (1997). Levels of processing in the phonological segmentation of speech. Language and Cognitive Processes, 12(5–6), 871–876.

    Article  Google Scholar 

  • New, B., Pallier, C., Brysbaert, M., & Ferrand, L. (2004). Lexique 2: A new French lexical database. Behavior Research Methods, 36(3), 516–524.

    Article  Google Scholar 

  • Pattamadilok, C., Knierim, I. N., Kawabata Duncan, K. J., & Devlin, J. T. (2010). How does learning to read affect speech perception? Journal of Neuroscience, 30(25), 8435–8444.

    Article  Google Scholar 

  • Pattamadilok, C., Kolinsky, R., Luksaneeyanawin, S., & Morais, J. (2008). Orthographic congruency effects in the suprasegmental domain: Evidence from Thai. The Quarterly Journal of Experimental Psychology, 61(10), 1515–1537.

    Article  Google Scholar 

  • Pattamadilok, C., Morais, J., De Vylder, O., Ventura, P., & Kolinsky, R. (2009). The orthographic consistency effect in the recognition of French spoken words: An early developmental shift from sublexical to lexical orthographic activation. Applied Psycholinguistics, 30(03), 441–462.

    Article  Google Scholar 

  • Pattamadilok, C., Morais, J., & Kolinsky, R. (2011). Naming in noise: The contribution of orthographic knowledge to speech repetition. Frontiers in Psychology, 2, 1–12. doi:10.3389/fpsyg.2011.00361.

    Article  Google Scholar 

  • Pattamadilok, C., Morais, J., Ventura, P., & Kolinsky, R. (2007). The locus of the orthographic consistency effect in auditory word recognition: Further evidence from French. Language and Cognitive Processes, 22(5), 700–726.

    Article  Google Scholar 

  • Pattamadilok, C., Perre, L., Dufau, S., & Ziegler, J. C. (2009). On-line orthographic influences on spoken language in a semantic task. Journal of Cognitive Neuroscience, 21(1), 169–179.

    Article  Google Scholar 

  • Pattamadilok, C., Perre, L., & Ziegler, J. C. (2011). Beyond rhyme or reason: ERPs reveal task-specific activation of orthography on spoken language. Brain and Language, 116(3), 116–124.

    Article  Google Scholar 

  • Peereman, R., Dufour, S., & Burt, J. S. (2009). Orthographic influences in spoken word recognition: The consistency effect in semantic and gender categorization tasks. Psychonomic Bulletin & Review, 16(2), 363–368.

    Article  Google Scholar 

  • Perre, L., Midgley, K., & Ziegler, J. C. (2009). When beef primes reef more than leaf: Orthographic information affects phonological priming in spoken word recognition. Psychophysiology, 46(4), 739–746.

    Article  Google Scholar 

  • Perre, L., Pattamadilok, C., Montant, M., & Ziegler, J. C. (2009). Orthographic effects in spoken language: On-line activation or phonological restructuring? Brain Research, 1275, 73–80.

    Article  Google Scholar 

  • Rack, J. P. (1985). Orthographic and phonetic coding in developmental dyslexia. British Journal of Psychology, 76(3), 325–340.

    Article  Google Scholar 

  • Raven, J., Raven, J. C., & Court, J. H. (1998). Advanced progressive matrices. Oxford: Oxford Psychologists Press.

    Google Scholar 

  • Raven, J. C. (1941). Standardization of progressive matrices, 1938. British Journal of Medical Psychology, 19(1), 137–150.

    Article  Google Scholar 

  • Schneider, W., Eschman, A., & Zuccolotto, A. (2002). E-Prime reference guide. Pittsburgh: Psychology Software Tools Inc.

    Google Scholar 

  • Seidenberg, M. S., & Tanenhaus, M. K. (1979). Orthographic effects on rhyme monitoring. Journal of Experimental Psychology: Human Learning and Memory, 5(6), 546–554.

    Google Scholar 

  • Taft, M. (2011). Orthographic influences when processing spoken pseudowords: Theoretical implications. Frontiers in Psychology, 2, 1–7. doi:10.3389/fpsyg.2011.00140.

    Article  Google Scholar 

  • Taft, M., & Hambly, G. (1985). The influence of orthography on phonological representations in the lexicon. Journal of Memory and Language, 24(3), 320–335.

    Article  Google Scholar 

  • Ventura, P., Kolinsky, R., Pattamadilok, C., & Morais, J. (2008). The developmental turnpoint of orthographic consistency effects in speech recognition. Journal of Experimental Child Psychology, 100(2), 135–145.

    Article  Google Scholar 

  • Ventura, P., Morais, J., & Kolinsky, R. (2007). The development of the orthographic consistency effect in speech recognition: From sublexical to lexical involvement. Cognition, 105(3), 547–576.

    Article  Google Scholar 

  • Ventura, P., Morais, J., Pattamadilok, C., & Kolinsky, R. (2004). The locus of the orthographic consistency effect in auditory word recognition. Language and Cognitive Processes, 19(1), 57–95.

    Article  Google Scholar 

  • Yoncheva, Y. N., Zevin, J. D., Maurer, U., & McCandliss, B. D. (2010). Auditory selective attention to speech modulates activity in the visual word form area. Cerebral Cortex, 20(3), 622–632.

    Article  Google Scholar 

  • Zecker, S. G. (1991). The orthographic code: Developmental trends in reading-disabled and normally-achieving children. Annals of Dyslexia, 41(1), 178–192.

    Article  Google Scholar 

  • Ziegler, J. C., & Ferrand, L. (1998). Orthography shapes the perception of speech: The consistency effect in auditory word recognition. Psychonomic Bulletin and Review, 5, 683–689.

    Article  Google Scholar 

  • Ziegler, J. C., Ferrand, L., & Montant, M. (2004). Visual phonology: The effects of orthographic consistency on different auditory word recognition tasks. Memory & Cognition, 32(5), 732–741.

    Article  Google Scholar 

  • Ziegler, J. C., Jacobs, A. M., & Stone, G. O. (1996). Statistical analysis of the bidirectional inconsistency of spelling and sound in French. Behavior Research Methods Instruments and Computers, 28, 504–515.

    Article  Google Scholar 

  • Ziegler, J. C., & Muneaux, M. (2007). Orthographic facilitation and phonological inhibition in spoken word recognition: A developmental study. Psychonomic Bulletin & Review, 14(1), 75–80.

    Article  Google Scholar 

  • Ziegler, J. C., Petrova, A., & Ferrand, L. (2008). Feedback consistency effects in visual and auditory word recognition: Where do we stand after more than a decade? Journal of Experimental Psychology: Learning, Memory, and Cognition, 34(3), 643–661.

    Google Scholar 

Download references

Acknowledgments

This work was supported by the Fonds de la Recherche Scientifique-FNRS under grant FRFC 2.4515.12. RK is the Research Director of the Fonds de la Recherche Scientifique-FNRS, Belgium.

Author information

Affiliations

Authors

Corresponding author

Correspondence to Chotiga Pattamadilok.

Appendices

Appendix 1

Appendix 1a Stimuli used in the lexical decision task
Appendix 1b Characteristics of words used in the lexical decision task (standard deviations in brackets)
Appendix 1c Characteristics of pseudowords used in the lexical decision task (standard deviations in brackets)

Appendix 2

Appendix 2a Stimuli used in the rhyme judgment task
Appendix 2b Characteristics of stimuli used in the rhyme judgment task (standard deviations in brackets)

Rights and permissions

Reprints and Permissions

About this article

Cite this article

Pattamadilok, C., Nelis, A. & Kolinsky, R. How does reading performance modulate the impact of orthographic knowledge on speech processing? A comparison of normal readers and dyslexic adults. Ann. of Dyslexia 64, 57–76 (2014). https://doi.org/10.1007/s11881-013-0086-8

Download citation

  • Received:

  • Accepted:

  • Published:

  • Issue Date:

  • DOI: https://doi.org/10.1007/s11881-013-0086-8

Keywords

  • Automaticity
  • Dyslexia
  • Metaphonology
  • Orthographic effects
  • Orthographic knowledge
  • Speech processing