Abstract
In Brazil, the principal source of air pollution is the combustion of fuels (ethanol, gasohol, and diesel). In this study, we quantify the contributions that vehicle emissions make to the urban fine particulate matter (PM2.5) mass in six state capitals in Brazil, collecting data for use in a larger project evaluating the impact of air pollution on human health. From winter 2007 to winter 2008, we collected 24-h PM2.5 samples, employing gravimetry to determine PM2.5 mass concentrations; reflectance to quantify black carbon concentrations; X-ray fluorescence to characterize elemental composition; and ion chromatography to determine the composition and concentrations of anions and cations. Mean PM2.5 concentrations in the cities of São Paulo, Rio de Janeiro, Belo Horizonte, Curitiba, Porto Alegre, and Recife were 28, 17.2, 14.7, 14.4, 13.4, and 7.3 μg/m3, respectively. In São Paulo and Rio de Janeiro, black carbon explained approximately 30% of the PM2.5 mass. We used receptor models to identify distinct source-related PM2.5 fractions and correlate those fractions with daily mortality rates. Using specific rotation factor analysis, we identified the following principal contributing factors: soil and crustal material; vehicle emissions and biomass burning (black carbon factor); and fuel oil combustion in industries (sulfur factor). In all six cities, vehicle emissions explained at least 40% of the PM2.5 mass. Elemental composition determination with receptor modeling proved an adequate strategy to identify air pollution sources and to evaluate their short- and long-term effects on human health. Our data could inform decisions regarding environmental policies vis-à-vis health care costs.
Similar content being viewed by others

Avoid common mistakes on your manuscript.
Introduction
Many studies have documented an association between fine particulate air pollution and mortality (Laden et al. 2000, 2006; Samet et al. 2000; Dominici et al. 2006). Laden et al. (2000) conducted a study of six US cities and showed that daily mortality was associated with fine particulate matter (PM2.5) pollution and not with coarse particulate matter (PM10) pollution. The authors found that each 10-μg/m3 increase in the 2-day mean concentration of PM2.5 resulted in a 1.5% increase in daily mortality. An equivalent increase in PM2.5–10 resulted in only a 0.4% increase in total mortality and no increase after adjustment for PM2.5. Although there is as yet no national ambient air quality standard for PM2.5 in Brazil, it is expected that the Conselho Nacional do Meio Ambiente (CONAMA, Brazilian National Environmental Council) will implement such a standard in the near future. Since 2000, PM2.5 concentrations have been monitored with dichotomous samplers at four sites across the greater metropolitan area of the city of São Paulo. The monitoring system is manual and is based on 24-h integration of the mass collected in the filters over a 6-day period. On average, PM10 accounts for 60% of the particulate matter collected, and PM2.5 is the only pollutant for which concentrations have exceeded the standard (15 μg/m3), the annual average having been approximately 20 μg/m3 for the last 5 years.
The urban population of Brazil is most affected by air pollution from vehicle emissions (Saldiva et al. 1995, 2002; Gouveia and Fletcher 2000; Lin et al. 2003). Although each city has specific characteristics, the Brazilian light-duty fleet typically runs on ethanol (95% ethanol; 5% water), gasohol (75% gasoline; 25% ethanol), or compressed natural gas, and a small portion of the heavy-duty fleet runs on biodiesel rather than normal diesel. The water contained in ethanol is a byproduct of the sugarcane distillation process. There have been few studies evaluating urban PM2.5 mass composition and concentrations in Brazil, the principal exception being the city of São Paulo, where the São Paulo State Companhia de Tecnologia de Saneamento Ambiental (CETESB, Environmental Protection Agency) has engaged in long-term monitoring of pollutant concentrations, and research groups at the local universities and research institutions have conducted characterization studies. The official CETESB emissions inventory for São Paulo showed that, in 2007, fuel combustion accounted for more than 90% of all gaseous emissions, and 40% of the total PM10 concentration was attributable to primary emission from fuel combustion (by vehicles), 25% being attributable to secondary aerosols (CETESB 2009).
An important characteristic of air pollutant emissions in Brazil is that ethanol accounts for 50% of the fuel burned by the transport sector. In 1986, CONAMA created the Programa de Controle da Poluição do Ar por Veículos Automotores (PROCONVE, Program for the Control of Air Pollution Emissions by Motor Vehicles), which has since enforced a policy of setting limits on vehicle emissions. This has effectively reduced emissions of the primary pollutants in urban areas. Maximum emission limits (for new vehicles) have been defined for three vehicle categories: “light-duty passenger vehicles” (automobiles); “light-duty commercial vehicles” (pick-ups, vans, utility vehicles, etc.); and “heavy-duty vehicles” (buses and trucks). Table 1 presents the pollutant emission levels allowed for each category. Because the PROCONVE limits have applied only to new vehicles, they have affected only manufacturers (local and foreign). Although manufacturers provide instructions to consumers on how to maintain their vehicle in order to keep emissions low, there is no guarantee that vehicle owners will follow those instructions. Therefore, CONAMA has established general guidelines for the implementation of inspection and maintenance (I/M) programs by state and municipal environmental agencies. To date, I/M programs have been implemented only in the cities of São Paulo and Rio de Janeiro. The new Brazilian National Transit Code requires that, in areas in which I/M programs have been implemented, vehicle licenses be renewed only for vehicles that have been inspected and approved via the I/M program, which must verify compliance with emission and noise standards.
In Brazil, diesel engines are used in heavy-duty vehicles, such as trucks and buses, as well as in light-duty commercial vehicles. However, their use is not allowed in light-duty passenger vehicles. Therefore, the first set of emission regulations did not include standards for diesel-powered cars. Such standards have been included in the newer legislation, in part because Brazilian standards are used as benchmarks by neighboring South American countries that allow the use of diesel engines in light-duty passenger vehicles. The newer, more stringent, standards for light-duty passenger and commercial vehicles (including the first standards for diesel-powered cars) went into effect in 2007. Light-duty passenger vehicles are tested on a chassis dynamometer (Brazilian test standard NBR 6601, based on US Federal Test Procedure 75).
The emission of particles from the burning of diesel and its deleterious impact on health has been well documented (McCreanor et al. 2007; Arantes-Costa et al. 2008). The diesel fuel sold in urban areas of Brazil, known as diesel metropolitano (“metropolitan diesel”), has a low sulfur content (500 ppm), whereas that sold in other areas has a sulfur content of 2,000 ppm. High sulfur content adversely affects the operation of diesel exhaust emission control systems. As a consequence, PM2.5 emissions are primarily associated with the diesel fleet. Tunnel studies have shown that diesel combustion makes a significant contribution to the emission of black carbon (BC) and gaseous compounds. Martins et al. (2006) and Sánchez-Ccoyllo et al. (2008) analyzed the emission factors of particles and gaseous compounds emitted by the fleet within road tunnels in São Paulo. The emission factors for light-duty vehicles, as estimated on the basis of the tunnel measurements, were 16, 197, 127, and 92 mg km−1 for BC, PM10, PM10–2.5, and PM2.5, respectively. The mean contributions of heavy-duty vehicles to the emissions of BC, PM10, PM10–2.5, and PM2.5 were 29, four, six, and six times higher, respectively, than were those of light-duty vehicles. The main constituent of diesel exhaust particles was found to be BC. To determine the impact that vehicle emissions have on air quality, the estimated emission factors have been used in air quality models. Due to its significant participation in heavy-duty vehicle emissions, BC was used as a marker for this source in the present analysis. Diesel emissions constitute a major source of atmospheric particulate matter, mainly PM2.5, which have been shown to have a deleterious effect on human health and on the radiative process in the atmosphere (Lohmann and Feichter 2005).
Ambient air studies conducted in São Paulo have shown that BC explains 21% of the PM2.5 mass, compared with 40% for organic carbon, 20% for sulfates, and 12% for soil dust (Castanho and Artaxo 2001; Andrade et al. 1994; Ynoue and Andrade 2004).
The present study was part of a comprehensive project coordinated by the University of São Paulo School of Medicine. The objective was to identify the sources of contributions to the PM2.5 mass in the following cities: São Paulo (the largest city in Brazil and one of the largest in the world, classified as a mega-city, with 18 million inhabitants); Rio de Janeiro (the second largest city in Brazil, with ten million inhabitants); Belo Horizonte (2.5 million inhabitants); Curitiba (1.8 million inhabitants); Recife (a coastal city in the northeast of the country, with 1.5 million inhabitants); and Porto Alegre (1.4 million inhabitants).
Materials and methods
For each city, sampling was performed over a period of approximately 1 year (from winter 2007 to winter 2008). Figure 1 displays a map showing the locations of the cities in Brazil. At each location, 24-h samples (8:00 am to 8:00 am) were collected on 37-mm polycarbonate filters at 10 L m−1 using a PM2.5 Harvard Impactor, developed at the Harvard School of Public Health. Before and after sampling, the filters were weighed on a microbalance with 1-μg readability (Mettler-Toledo, Columbus, OH, USA). The BC concentrations were determined by optical reflectance with a smoke stain reflectometer (model 43D; Diffusion Systems Ltd, London, UK). The calibration curve to convert from reflected light to BC concentration was obtained through an empirical experiment described in Loureiro et al. (1994). It has been shown that BC is closely correlated with elemental carbon, which is emitted in large quantities by diesel engines (Kinney et al. 2000; Lena et al. 2002).
Although organic carbon contributes heavily to the concentration of PM2.5, being responsible for 30–40% of its mass (Castanho and Artaxo 2001), it was not measured in the present study. Trace element concentrations were determined with an energy dispersive X-ray fluorescence spectrometer (EDX 700; Shimadzu Corporation, Analytical Instruments Division, Tokyo, Japan). The spectrometer operates at 5–50 kV and 1–1,000 μA, using a low-power Rh-target tube. The characteristic X-ray radiation was measured with a Si(Li) detector. The spectra were reduced with the WinQXAS program, an integrated system for the quantitative evaluation of spectra measured with energy dispersive X-ray spectrometry, available from the website of the International Atomic Energy Agency (http://www.iaea.org/OurWork/ST/NA/NAAL/pci/ins/xrf/pciXRFdown.php).
We used water extraction to collect the particulate matter from two thirds of the polycarbonate filters. The samples were frozen for subsequent ion chromatography analysis of Na+, NH +4 , K+, Ca2+, Mg2+, NO −3 , SO 2−4 , and Cl−. We quantified the major cations and anions using an ion chromatograph after aqueous extraction with 10 mL deionized water, followed by filtration in Millex polyvinylidene difluoride filters (0.22 μm pore size; Millipore, Bedford, MA, USA). The extract was kept frozen until analysis in a chromatograph with conductivity detection (761 Compact IC; Metrohm, Herisau, Switzerland). Anion and cations determinations were made on 250 × 4-mm and 150 × 4-mm separator columns (A-Supp 5 and C2-150; Metrohm), respectively. The analytical determination of each major ion was made using a calibration plot with a concentration range of 5–50 μmol L−1.
Sampling stations
The sampling stations can all be classified as being urban sites (Chow et al. 2002). They were all near streets with high traffic volumes, where there is significant participation not only by the light-duty fleet (gasohol and ethanol emissions) but also by the heavy-duty fleet (diesel emissions). Two of the cities evaluated, Rio de Janeiro and Recife, are near the Atlantic coast.
It is of note that hydropower provides 84% of the electricity on the power grid in Brazil (Pereira et al. 2006). In large urban centers, most industries run on electricity generated at hydroelectric facilities. Therefore, vehicle emissions contribute more to air pollution than do emissions from industry. As previously mentioned, the PROCONVE regulations have substantially decreased the emission factors for new vehicles.
The greater metropolitan area of São Paulo has the largest vehicle fleet in Brazil, with more than seven million vehicles. Vehicles that are more than 10 years old account for 50% of the fleet and are responsible for most of the emissions. The official emissions inventory for São Paulo indicates that more than 85% of CO, VOC, and NO x emissions are derived from mobile sources (CETESB 2009). The São Paulo sampling site was located at the University of São Paulo School of Medicine, which is near several main thoroughfares with high traffic volumes and includes all categories of fuel emissions. Samples were collected in São Paulo from Jun 12, 2007 to August 15, 2008.
In Rio de Janeiro, the sampling site was located near a large industrial area where there is a petrochemical complex (10 km from the sampling site), as well as major roadways and a waste dump where garbage is incinerated (5 km from the sampling site). Samples were collected in Rio de Janeiro from May 6, 2007 to August 31, 2008.
In Belo Horizonte, the sampling site was located near the city center. Belo Horizonte is surrounded by mineral-rich mountain areas, the extractive industry and the processing of ore being the main economic activities in the region. Samples were collected in Belo Horizonte from May 16, 2007 to July 26, 2008.
In Curitiba, the sampling site was located on the campus of the Federal University of Paraná, in a vegetated area near an interstate highway with truck and passenger vehicle traffic. Samples were collected in Curitiba from August 4, 2007 to August 30, 2008.
In Recife, the sampling site was located 5 km from the Atlantic coast, at the Federal University of Pernambuco. The area features high traffic volume and a great number of vegetated areas. Samples were collected in Recife from June 16, 2007 to July 29, 2008.
In Porto Alegre, the sampling site was located on the campus of the Porto Alegre Federal School of Medical Sciences. Vehicle emissions have a significant impact on air quality in Porto Alegre. In the area near the sampling site, there are city parks with minimal vegetation. Samples were collected in Porto Alegre from June 7, 2007 to August 30, 2008.
A common characteristic of all of the sampling sites is that they were in urban areas with high levels of human activity. The great majority of the samples collected in São Paulo were analyzed by X-ray fluorescence, which was used for only three samples per week at the other sites. The numbers of samples analyzed are presented in Table 2. All of the sites can be classified as representative of cities in Brazil. In the analyses, vanadium was considered a marker for fuel oil combustion, chlorine was considered a marker for sea salt, and selected metals (nickel, zinc, or manganese) were considered potential markers for industrial and vehicle emissions. Source profiles were developed for each city.
Source identification by absolute principal component analysis
The receptor modeling methodology applied for source identification was absolute principal component analysis (APCA), which was applied to each city data set. The rotated loadings of the PM2.5 elemental data sets were converted into source profiles using the APCA approach described by Thurston and Spengler (1985) and by Maenhaut and Cafmeyer (1987). We calculated the absolute varimax rotated APCA scores, which are a measure of the contribution from each source to each aerosol sample. The mass concentration for each variable was correlated with the APCA scores calculated for each sample from each city. This regression analysis allowed us to estimate the contribution of each factor to explaining the mass concentration. For each city, daily scores were calculated for each of the factors identified. To rescale the factor scores from the normalized scale to the mass scale (in micrograms per cubic meters), the PM2.5 mass was regressed against the absolute factor scores, as described in Andrade et al. (1994). This methodology has been applied to various data sets from experiments performed over the years in Brazil (Orsini et al. 1986), primarily from those carried out in São Paulo (Andrade et al. 1994; Sánchez-Ccoyllo and Andrade 2002; Castanho and Artaxo 2001).
Results
Mass balance analysis
Table 2 presents the mean concentrations and standard deviations for the PM2.5, BC, trace elements, and ions analyzed in the samples collected in the six cities. The number of samples included in the analysis is also presented. The concentrations of ions, trace elements, and BC were considered for a mass balance in order to evaluate the fraction of PM2.5 explained with the analytical methods used.
A mass balance was calculated for each city, considering the elements of crustal or combustion origin, the ion compounds, and the BC participation. For the mass balance, we estimated the insoluble crustal material and combustion elements, taking into consideration the fact that the principal inorganic species are in oxidized form and then summing the values for the main oxides (Al2O3, SiO2, CaCO3, K2O, TiO, VO, MnO2, Fe2O3, NiO, Cu2O, ZnO, Se, Br, Sr, Zr, and Pb, calculated from the elemental X-ray fluorescence values by applying the expressions Al*1.88, Si*2.14, K*1.2, Ca*2.5, Ti*1.33, V*1.31, Mn*1.58, Fe*1.43, Ni*1.27, Cu*1.13, and Zn*1.25) and for the soluble compounds (ammonium, sulfate, nitrate, and NaCl from the chromatography analysis). The results of the mass balance calculations are presented in Fig. 2.
For five of the six cities evaluated, a large portion (>50%) of the PM2.5 mass concentration could not be explained, the exception being for São Paulo. It is assumed that the fraction designated as “undetermined” was composed of organic carbon and water. Castanho and Artaxo (2001) estimated that 40% of the PM2.5 mass concentration in São Paulo is explained by organic compounds. This mass balance indicates that the main source of PM2.5 in São Paulo was the combustion process, as evidenced by the high concentrations of elemental and organic carbon in the samples. The BC fraction was assumed to be derived from the combustion process, mainly from the burning of diesel by the heavy-duty fleet. Another marker for biomass burning is K, as described in studies conducted in the Amazon region (Artaxo et al. 1998; Lara et al. 2005).
We were able to determine that BC and certain elements (Cu, Zn, S, Pb, and Br) were associated with vehicular emissions by analyzing the data provided by the tunnel measurements previously performed in Sao Paulo (Martins et al. 2006; Sánchez-Ccoyllo et al. 2008), together with data generated by laboratory measurement of emission factors (Silva et al. 2010). According to Silva et al. (2010), Cu is associated with vehicular emissions due to its use as an antioxidant in brake pads. In addition, K, Ca, and Br can be associated with lubricants and additives used in light-duty vehicles. Zinc dithiophosphate is commonly used as an antiwear and antioxidant additive in engine oil.
Evaluation of source contributions to fine particle mass concentrations
In order to identify the sources in each city, we applied APCA to the values for elemental concentrations, PM2.5, and BC in the base data sets. Ion composition was not considered in the APCA because a smaller number of samples were submitted to chromatography than were submitted to X-ray fluorescence.
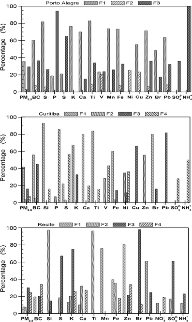
The sources responsible for the PM2.5 mass concentration were identified through regression analysis of the absolute factor scores for the PM2.5 concentrations. Although ion composition was not considered in the APCA, the available data were submitted to regression analysis in which the factor scores were calculated for each sample. For each city, a different number of factors were retained, depending on the proportion of variance explained. Factors for which the explained variance (eigenvalue) was greater than 1 after the varimax rotation were considered relevant. Figure 3 shows the proportions of PM2.5, BC, trace elements, and ions that were explained by each factor in each city. Ion values, although not considered in the APCA, were regressed against the APCA scores identified for each city. Although the factors were associated with various sources, emissions from vehicles (light- and heavy-duty) and crustal elements (soil and construction) were identified for four of the six cities (São Paulo, Rio de Janeiro, Belo Horizonte, and Curitiba).
São Paulo
The APCA for São Paulo identified four factors with eigenvalues greater than 1 before the varimax rotation. Factor 1 was related to crustal emission (soil and construction), due to the high loadings for Al, Si, Ca, Ti, and Fe, explaining 13% of the PM2.5 mass (3.8 μg/m3). Factor 2, which also explained 13% of the PM2.5 mass (3.8 μg/m3), was associated with emissions from oil-burning boilers, industrial emissions, and secondary aerosol formation due to the presence of nitrate, sulfate, and ammonium. Factor 3, with high loadings for Cr and Ni and lower loadings for Cl, Mn, and Cu, was associated with light-duty vehicle emissions and explained 12% of the mass (3.5 μg/m3). Factor 4 was also associated with vehicle emissions but mainly with those from the heavy-duty diesel fleet, with high loadings for Pb and lesser contributions from BC, Cu, Zn, and Br. Factor 4 explained most of the PM2.5 concentration: 28% of the mass (8.0 μg/m3). We were able to make this association, albeit with many uncertainties, because of the significant BC contribution to the variance of this last factor. The variability of K is explained in three of the factors, all associated with the burning of fuels and biomass. However, it is not possible to use K as a unique marker for biomass burning because 50% of the fuel burned in Brazil is ethanol from sugarcane, which contains K from vegetation. Regression of the PM2.5 to the four “absolute factor scores” showed that 33% of the PM2.5 mass in São Paulo was not explained by any factor.
Rio de Janeiro
The APCA for Rio de Janeiro identified five factors. Factor 1 was associated with crustal emissions, which explained 14% of the PM2.5 mass (2.8 μg/m3). Most of the PM2.5, BC, nitrate, sulfate, and ammonium mass concentrations were explained in the second factor, which was associated with heavy-duty diesel emission and explained 40% of the PM2.5 mass (8 μg/m3). Factor 3, which explained 13% of the mass (3 μg/m3), was associated with secondary aerosol formation due to the presence of a portion of the sulfate and nitrate, likely associated with the burning of fuel oil in industry. Factor 4 was associated with certain metals (potentially from industrial emissions), explaining 5% of the mass (0.9 μg/m3). Factor 5 was associated with light-duty vehicle emissions, due to the presence of Cu, Zn, Pb, and Cl, and explained 11% of the mass (2 μg/m3). These results must be carefully analyzed due to the difficulty of having specific markers for each source. In the APCA for Rio de Janeiro, 17% of the PM2.5 mass was not explained by any factor.
Belo Horizonte
The APCA for Belo Horizonte identified four factors. Factor 1 was associated with crustal emissions, which explained 44% of the PM2.5 mass (6.5 μg/m3), the second was primarily associated with the burning of diesel and therefore comprised most of the BC, explaining 13% of the mass (1.9 μg/m3), and the third, which explained 12% of the mass (1.8 μg/m3), was associated with secondary aerosol formation (S is present in this factor) and the burning of fuel in industrial processes. Factor 4 was associated with the light-duty vehicle emissions, explaining 4% of the mass (0.6 μg/m3). It is of note that Belo Horizonte is in the state of Minas Gerais, where there are large reserves of iron ore, gold, diamonds, phosphate, zinc, aluminum, limestone, and semi-precious stones. Mining is the major economic activity in the state. In Belo Horizonte, the state capital, there is environmental contamination from mining and from related activities, such as the transport of products to and from the mines. The crustal emissions factor (factor 1) was also associated with the mining activities. In the APCA for Belo Horizonte, 5% of the PM2.5 mass was not explained by any factor. As was expected (because of the mining activity), factor 1 explained a significant fraction of the PM2.5 mass.
Curitiba
The APCA for Curitiba identified four factors. Factor 1 was associated with crustal and vehicle emissions (high loadings for Br and BC) and explained 40% of the mass (6 μg/m3). The second was associated with residual emissions, characterized by V, Ni, and Zn, and explained 3% of the mass (0.45 μg/m3). Factor 3 was associated with mobile emissions (Cu and Pb) and explained 15% of the mass (2.25 μg/m3). Factor 4 was associated with industrial and secondary pollutants (P and S), explaining 13% of the mass (1.95 μg/m3). In the APCA for Curitiba, 29% of the PM2.5 mass was not explained by any factor and the crustal factor (factor 1) explained a significant fraction. The main sources affecting the Curitiba sampling site were vehicle emissions and crustal emissions (soil and construction).
Recife
The APCA for Recife identified four factors. Factor 1 was associated with vehicle emissions characteristic of those attributable to the light-duty fleet and explained 8% of the PM2.5 mass (0.6 μg/m3). The second was associated with crustal emissions and also explained 8% of the mass (0.6 μg/m3). Factor 3, explaining 29% of the mass (2.1 μg/m3), was associated with vehicle emissions from the heavy-duty fleet. Factor 4 was associated with sea spray emissions and explained 24% of the mass (1.8 μg/m3). The sampling site was near the sea coast, and vehicle emissions from the light- and heavy-duty fleets have a significant effect on air quality in the area. In the APCA for Recife, 30% of the PM2.5 mass was not explained by any of the factors identified.
Porto Alegre
The APCA for Porto Alegre identified three factors. The great quantity of missing data increased the degree of uncertainty in the identification of the sources. The analysis for Porto Alegre was similar to that for Curitiba. The identities of the sources were unclear. Crustal and vehicle emissions both participated in more than one factor. Factor 1 was associated with crustal and vehicle emissions and explained a significant fraction [35% of the mass (6.3 μg/m3)]. Factor 2 was associated with emissions from residual oil and explained 3% of the mass (0.5 μg/m3). Factor 3 was associated with secondary aerosol formation, characterized by the presence of sulfate and P, explaining 30% of the mass (5.2 μg/m3). In the APCA for Porto Alegre, 30% of the PM2.5 mass was not explained by any factor. Therefore, factors 1, 2, and 3 together explained 70% of the PM2.5 mass (12 μg/m3).
Discussions and conclusions
This project was quite ambitious in that it undertook simultaneous daily sampling in six cities in Brazil over a period of more than 1 year. The main objectives of the project were to characterize the composition and concentration of PM2.5; to develop source profiles; and to determine the contribution that the vehicle fleet makes to the PM2.5 mass concentration. The magnitude of the PM2.5 contribution made by vehicle emissions was most clearly presented for the cities of São Paulo (40%), Rio de Janeiro (50%), Belo Horizonte (17%), and Recife (37%). In all of the cities evaluated, vehicle emissions were found to be responsible for most of the PM2.5 emitted, the burning of diesel being the main source of BC emission. Differentiating between vehicle emissions from the light-duty fleet and those attributable to the heavy-duty fleet is quite a difficult task because there are few unique markers that can be identified through the use of the analytical methods employed here. The data provided by the tunnel studies previously conducted in São Paulo allowed us to demonstrate that BC and certain metals (Cu, Zn, S, Pb, and Br) were associated with vehicle emissions. One major limitation of the present study is that we were unable to identify organic compounds in PM2.5. Methods of determining the local concentrations of organic and carbon compounds must be developed. Efforts to reduce the atmospheric concentrations of PM2.5 in Brazil should focus on reducing vehicle emission factors and encouraging the use of cleaner fuels. Considering the technological evolution and characteristics of the cities in Brazil, the development of public transportation systems based on cleaner energy sources should also be encouraged.
References
Andrade MF, Orsini C, Maenhaut W (1994) Relation between aerosol sources and meteorological parameters for inhalable atmospheric particles in São Paulo city, Brazil. Atmos Environ 28:2307–2315
Arantes-Costa F, Lopes F, Toledo AC, Magliarelli-Filho PA, Moriya HT, Carvalho-Oliveira R, Mauad T, Saldiva PHN, Martins MA (2008) Effects of residual oil fly ash (ROFA) in mice with chronic allergic pulmonary inflammation. Toxicol Pathol 36:680
Artaxo P, Fernandes ET, Martins JV, Yamasoe MA, Hobbs PV, Maenhaut W, Longo KM, Castanho A (1998) Large-scale aerosol source apportionment in Amazonia. J Geophys Res 103(D24):31837–31847
Castanho ADA, Artaxo P (2001) São Paulo aerosol source apportionment for wintertime and summertime. Atmos Environ 35:4889–4902
CETESB (2001) Relatório de qualidade do ar no Estado de São Paulo 2000 [Air quality report for the State of São Paulo 2000]. Companhia de Tecnologia de Saneamento Ambiental, Relatórios/CETESB ISSN 0103-4103. São Paulo (in Portuguese).
CETESB (2009) Relatorio de Qualidade do Ar no Estado de São Paulo. Companhia de Tecnologia de Saneamento Ambiental, Relatorios/CETESB ISSN 0103-4103. São Paulo (in Portuguese)
Chow JC, Engelbrecht JP, Watson JG, Wilson WE, Frank NH, Zhu T (2002) Designing monitoring networks to represent outdoor human exposure. Chemosphere 49(9):961–978
Dominici F, Peng R, Bell ML, Pham L, McDermott A, Zeger SL, Samet JM (2006) Hospital admission rates and exposure to fine particulate pollution. JAMA 295:10
Gouveia N, Fletcher T (2000) Time series analysis of air pollution and mortality: effects by cause, age and socioeconomic status. J Epidemiol Community Health 54(10):750–755
Kinney PL, Aggarwal M, Northridge ME, Janssen NAH, Shepard P (2000) Airborne concentrations of PM2.5 and diesel exhaust particles on Harlem sidewalks: a community-based pilot study. Environ Health Perspect 108:213–218
Laden F, Neas LM, Dockery DW, Schwartz J (2000) Association of fine particulate matter from different sources with daily mortality in six US cities. Environ Health Perspect 108:10
Laden F, Schwartz J, Speizer F, Dockery DW (2006) Reduction in fine particulate air pollution and mortality: extended follow-up of the Harvard Six Cities Study. Am J Respir Crit Care Med 173:667–672. doi:10.1164/rccm.200503-443OC
Lara LL, Artaxo P, Martinelli LA, Camargo PB, Victoria RL, Ferraz ESB (2005) Properties of aerosols from sugar-cane burning emissions in Southeastern Brazil. Atmos Environ 39(26):4627–4637
Lena TS, Ochieng V, Carter M, Holguín-Veras J, Kinney PL (2002) Elemental carbon and PM2.5 levels in an urban community heavily impacted by truck traffic. Environ Health Perspect 110:1009–1015
Lin CA, Pereira LAA, de Souza Conceicao GM, Kishi HS, Milani R, Braga ALF, Saldiva PHN (2003) Association between air pollution and ischemic cardiovascular emergency room visits. Environ Res 92:57–63
Lohmann U, Feichter J (2005) Global indirect aerosol effects: a review. Atmos Chem Phys 5:715–737
Loreiro AL, Ribeiro AC, Artaxo P, Yamasoe MA (1994) Calibration of reflectometer system to measure black carbon and field intercomparation in the Amazon Basin. 5th International Conference on Carbonaceous Particles in the Atmosphere, Berkley, California, USA
Maenhaut W, Cafmeyer J (1987) Particle induced X-ray emission analysis and multivariate techniques: an application to the study of the sources of respirable atmospheric particles in Gent Belgium. J Trace Microprobe Tech 5:135–158
Martins LD, Andrade MF, Freitas ED, Pretto A, Gatti LV, Albuquerque EL, Tomaz E, Guardani ML, Martins MHRB, Junior OMA (2006) Emission factors for gas-powered vehicles traveling through road tunnels in São Paulo, Brazil. Environ Sci Technol 40(21):6722–6729. doi:10.1021/es052441u
McCreanor J, Cullinan P, Nieuwenhuijsen MJ, Stewart-Evans J, Malliarou E, Jarup L, Harrington R, Svartengren M, Han IK, Ohman-Strickland P, Chung KF, Zhang J (2007) Respiratory effects of exposure to diesel traffic in persons with asthma. N Engl J Med 357:2348–2358
Orsini CQ, Tabacniks M, Artaxo P, Andrade MF, Kerr AS (1986) Characteristics of fine and coarse particles of natural and urban aerosols of Brazil. Atmos Environ 20:2259–2269
Pereira EB, Martins FR, Abreu SL, Rüther R (2006) Atlas Solar Brasileiro. SWERA—Solar and Wind Energy Resource Assessment
Saldiva PHN, Pope CA, Shwartz J, Dockery DW, Lichtenfels AJ, Salge JM, Barone I, Bohm GM (1995) Air pollution and mortality in elderly people: a time-series study in São Paulo, Brazil. Arch Environ Health 50:159–163
Saldiva PHN, Clarke RW, Coull BA, Stearns RC, Lawrence J, Murthy GG, Diaz E, Koutrakis P, Suh H, Tsuda A, Godleski JJ (2002) Lung inflammation induced by concentrated ambient air particles is related to particle composition. Am J Respir Crit Care Med 165(12):1610–1617
Samet JM, Dominici F, Curriero FC, Coursac I, Zeger SL (2000) Fine particulate air pollution and mortality in 20 US cities, 1987–1994. N Engl J Med 343:1742–1749
Sanchez-Ccoyllo OR, Andrade MF (2002) The influence of meteorological conditions on the behavior of pollutants concentrations in São Paulo, Brazil. Environ Pollut 116(2):257–263. doi:10.1016/S0269-7491(01)00129-4
Sánchez-Ccoyllo OR, Ynoue RY, Martins LD, Astolfo R, Miranda RM, Freitas ED, Borges AS, Fornaro A, Freitas H, Moreira A, Andrade MF (2008) Vehicular particulate matter emissions in road tunnels in São Paulo, Brazil. Envrionmental Monit Assess 149(1–4):241–249. doi:10.1007/s10661-008-0198-5
Silva MF, Assunção JV, Andrade MF, Pesquero C (2010) Characterization of metal and trace element contents of particulate matter (PM10) emitted by vehicles running on Brazilian fuels—hydrated ethanol and gasoline with 22% of anhydrous ethanol. J Toxicol Environ Health A 73(13–14):901–909
Thurston GD, Spengler JD (1985) A quantitative assessment of source contributions to inhalable particulate matter pollution in metropolitan Boston. Atmos Environ 19:9–25
Ynoue RY, Andrade MF (2004) Size-resolved mass balance of aerosol particles over the São Paulo metropolitan area of Brazil. Aerosol Sci Technol 38(S2):52–62
Acknowledgement
This work was supported by the Hewlett Foundation. We are grateful to the following research institutions for the sampling infrastructure and technical support: the Department of Anatomy, Center for Biological Sciences, Universidade Federal de Pernambuco (UFPE, Federal University of Pernambuco); the Respiratory Physiology Laboratory, Carlos Chagas Filho Institute of Biophysics, Universidade Federal do Rio de Janeiro (UFRJ, Federal University of Rio de Janeiro); the Pathology Department, Universidade Federal de Minas Gerais (UFMG, Federal University of Minas Gerais) School of Medicine; the Chemistry Institute, Universidade Federal do Paraná (UFPR, Federal University of Paraná); the Department of Physiological Sciences, Porto Alegre Federal Foundation for Medical Sciences; and the Instituto Nacional de Meteorologia (INMET, National Meteorology Institute). We are also grateful to Jefferson D. Boyles for editing the text.
Open Access
This article is distributed under the terms of the Creative Commons Attribution Noncommercial License which permits any noncommercial use, distribution, and reproduction in any medium, provided the original author(s) and source are credited.
Author information
Authors and Affiliations
Corresponding author
Rights and permissions
Open Access This is an open access article distributed under the terms of the Creative Commons Attribution Noncommercial License (https://creativecommons.org/licenses/by-nc/2.0), which permits any noncommercial use, distribution, and reproduction in any medium, provided the original author(s) and source are credited.
About this article
Cite this article
Andrade, M., de Miranda, R.M., Fornaro, A. et al. Vehicle emissions and PM2.5 mass concentrations in six Brazilian cities. Air Qual Atmos Health 5, 79–88 (2012). https://doi.org/10.1007/s11869-010-0104-5
Received:
Accepted:
Published:
Issue Date:
DOI: https://doi.org/10.1007/s11869-010-0104-5





