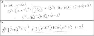
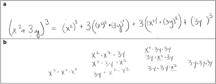
Abstract
This paper presents data from the first of three iterations of teaching experiments conducted with secondary teachers. The purpose of the experiments was to investigate how teachers’ combinatorial reasoning could support their development of algebraic structure, specifically structural relationships between the roots and coefficients of polynomials. The data in this paper examines the learning that occurred as one teacher transitioned from making a generalization from a sequence of contextualized combinatorics problems to applying her combinatorial reasoning to symbolic problems common in algebra curricula. The findings from the study include the identification of three planes of learning that can be used to differentiate among ways that combinatorial reasoning can be used to engage in binomial expansion. The highest plane involved constructing a combinatorial scheme for binomial expansion, a scheme that supported the teacher to produce the equivalence, \(\left(x+a\right)\left(x+b\right)\left(x+c\right)={x}^{3}+\left(a+b+c\right){x}^{2}+\left(ab+ac+bc\right)x+abc\)), and to see important algebraic structure in it. The contributions of the study include: (a) expanding earlier arguments about the ways that combinatorics can be integrated into goals of extant curricula (e.g., Maher et al. in Combinatorics and reasoning: Representing, justifying and building isomorphisms. Springer, 2011); and (b) proposing how reflecting abstraction can be used to study the transition between generalizations learners make from contextualized problem situations to operating with and on generalizations expressed with conventional algebraic symbols. This second contribution is an under-researched area in the algebra literature (Dörfler in ZDM - Int J Math Educ 40(1):143–160, 2008), and points to an important role that combinatorial reasoning can play in algebra learning.


















Similar content being viewed by others
Notes
We note that our argument about curricula is rooted in the United States context and may not be the case for countries that have worked to more substantively integrate discrete mathematics into their curricula (e.g., Spain, Hungary, Germany, Israel, etc.). However, we consider this issue an important point for discussion among international researchers—understanding in what ways and how different countries have taken up calls to integrate discrete mathematics in curricular materials.
Establishing the 3-D array as a representation for all ordered triples involves spatial operations, rotation and translation. We do not analyze those operations, here, because this paper is focused on the way Olive coordinated her MPS and BCS.
References
Batanero, C., Chernoff, E. J., Engel, J., Lee, H. S., & Sánchez, E. (2016). Research on teaching and learning probability. Springer Nature.
Burch, L. J., Tillema, E. S., Cox, J. L., Yavuz, S., & Sianturi, I. (2021). Productive mathematical meanings as a guide to analyzing algebra textbooks. In D. Olanoff, S. Spitzer, & K. Johnson (Eds.), Proceedings of the forty-third annual meeting of the North American Chapter of the International Group for the Psychology of Mathematics Education (pp. 94–99), Philadelphia, PA: Towson University.
Dörfler, W. (2008). En route from patterns to algebra: Comments and reflections. ZDM - the International Journal on Mathematics Education, 40(1), 143–160.
English, L. D. (1991). Young children’s combinatorics strategies. Educational Studies in Mathematics, 22, 451–547.
English, L. (1999). Assessing for structural understanding in childrens’ combinatorial problem solving. Focus on Learning Problems in Mathematics, 21(4), 63–83.
Glasersfeld, E. von (1995). Radical Constructivism: A Way of Knowing and Learning. Studies in Mathematics Education Series: 6. Falmer Press, Taylor & Francis Inc.
Kapur, J. N. (1970). Combinatorial analysis and school mathematics. Educational Studies in Mathematics, 3(1), 111–127.
Kaput, J. J. (2017). What is algebra? What is algebraic reasoning? In J. J. Kaput, D. W. Carraher, & M. L. Blanton (Eds.), Algebra in the early grades (pp. 5–18). Routledge. (Originally published in 2008).
Kieran, C. (2007). Learning and teaching algebra at the middle school through college levels: Building meaning for symbols and their manipulation. In F. K. Lester Jr. (Ed.), Second handbook of research on mathematics teaching and learning, 2 (pp. 707–762). NCTM.
Maher, C. A., Powell, A. B., & Uptegrove, E. B. (Eds.). (2011). Combinatorics and reasoning: Representing, justifying and building isomorphisms. Springer.
Piaget, J. (2001). Studies in reflecting abstraction. Psychology Press. (Originally published in 1977).
Saldana, J. (2013). The coding manual for qualitative researchers. Sage Publications Ltd.
Sherman, M. F., Walkington, C., & Howell, E. (2016). Brief report: a comparison of symbol-precedence view in investigative and conventional textbooks used in algebra courses. Journal for Research in Mathematics Education, 47(2), 134–146.
Speiser, B., Walter, C., & Sullivan, C. (2007). From test cases to special cases: Four undergraduates unpack a formula for combinations. Journal of Mathematical Behavior, 26(1), 11–26.
Steffe, L. P. (1991). The learning paradox: A plausible counterexample. In L. P. Steffe (Ed.), Epistemological foundations of mathematical experience (pp. 26–44). Springer.
Steffe, L. P. (1992). Schemes of action and operation involving composite units. Learning and Individual Differences, 4(3), 259–309.
Steffe, L. P., & Thompson, P. W. (2000). Teaching experiment methodology: Underlying principles and essential elements. In A. E. Kelly & R. A. Lesh (Eds.), Handbook of research design in mathematics and science education (pp. 267–306). Routledge.
Steffe, L. P., von Glasersfeld, E., Richards, J., & Cobb, P. (1983). Children’s counting types: Philosophy, theory, and application. Praeger Publishers.
Stephens, A. C., Ellis, A. B., Blanton, M., & Brizuela, B. M. (2017). Algebraic thinking in the elementary and middle grades. In J. Cai (Ed.), Compendium for research in mathematics education (pp. 386–420). NCTM.
Thompson, D. R., Senk, S. L., & Johnson, G. J. (2012). Opportunities to learn reasoning and proof in high school mathematics textbooks. Journal for Research in Mathematics Education, 43(3), 253–295.
Thompson, P. W., & Carlson, M. P. (2017). Variation, covariation, and functions: Foundational ways of thinking mathematically. In J. Cai (Ed.), Compendium for research in mathematics education (pp. 421–456). NCTM.
Tillema, E. S. (2014). Students’ coordination of lower and higher dimensional units in the context of constructing and evaluating sums of consecutive whole numbers. Journal of Mathematical Behavior, 36, 51–72.
Tillema, E. S. (2018). An investigation of 6th graders’ solutions of Cartesian product problems and representation of these problems using arrays. Journal of Mathematical Behavior, 54, 1–20.
Tillema, E. S., & Gatza, A. M. (2016). A quantitative and combinatorial approach to non-linear meanings of multiplication. For the Learning of Mathematics, 36(2), 26–33.
Acknowledgements
This research was supported by the National Science Foundation Grant DRL-1920538 and an Indiana University Proffitt Grant. The views expressed do not necessarily reflect official positions of the foundation.
Author information
Authors and Affiliations
Corresponding author
Additional information
Publisher's Note
Springer Nature remains neutral with regard to jurisdictional claims in published maps and institutional affiliations.
Rights and permissions
About this article
Cite this article
Tillema, E.S., Burch, L.J. Using combinatorics problems to support secondary teachers understanding of algebraic structure. ZDM Mathematics Education 54, 777–793 (2022). https://doi.org/10.1007/s11858-022-01359-1
Accepted:
Published:
Issue Date:
DOI: https://doi.org/10.1007/s11858-022-01359-1

