Abstract
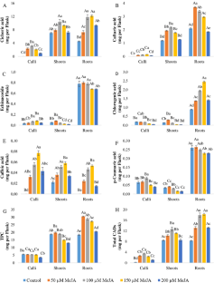
This study aimed to determine the most suitable plant cell tissue organ (PCTO) culture technique and methyl jasmonate (MeJA) concentration to produce caffeic acid derivatives (CADs) with high efficiency from Echinacea purpurea. To this aim, 50, 100, 150, and 200 μM MeJA were applied to callus, shoot and root cultures formed from in vitro plantlets. Biomass and growth indexes were determined at the end of the culture periods. To understand the effects of MeJA on secondary metabolite (SM) accumulations and production efficiency, the amounts of CADs and total phenolic contents (TPC) produced both in the dry extract and in flasks were analysed by HPLC and spectrophotometer. Results were compared with field-grown 2-year-old E. purpurea. It was observed that biomass and growth indexes were negatively affected in all of the callus, shoot and root cultures by treatments with MeJA. However, the applications increased the accumulation of total phenolics and CADs, especially when at the concentrations of 100 and 150 µM MeJA. The TPC of the shoots and roots that were not treated with MeJA were fourfold higher, while the CADs were eightfold higher than the calli without MeJA. Production per flask in callus, shoot and root cultures were at optimum levels with 100 µM MeJA. As a result, MeJA increased the accumulation amount and production efficiency of total phenolics and CADs in all three PCTO culture techniques. However, with the application of 100 and 150 µM MeJA to root cultures, the highest efficiency of total phenolic and CAD productions was achieved. When the optimum concentrations of MeJA were applied to the root cultures of E. purpurea, SMs could be produced in an amount close to the 2-year-old plants grown in the field.



Similar content being viewed by others
Abbreviations
- MeJA:
-
Methyl jasmonate
- JA:
-
Jasmonic acid
- PCTO:
-
Plant cell tissue organ
- CADs:
-
Caffeic acid derivatives
- TPC:
-
Total phenolic contents
- SM:
-
Secondary metabolite
- SMP:
-
Secondary metabolite production
- BA:
-
6-Benzylaminopurine
- NAA:
-
1-Naphthaleneacetic acid
- MS:
-
Murashige and Skoog medium
References
Ahmadi F, Samadi A, Rahimi A (2020) Improving growth properties and phytochemical compounds of Echinacea purpurea (L.) medicinal plant using novel nitrogen slow release fertilizer under greenhouse conditions. Sci Rep 10:1–11. https://doi.org/10.1038/s41598-020-70949-4
Aras Aşci Ö, Demirci T, Göktürk Baydar N (2018) Effects of NaCl applications on root growth and secondary metabolite production in madder (Rubia tinctorum L.) root cultures. Int J Second Metab 5:210–216. https://doi.org/10.21448/ijsm.453016
Barnes J, Anderson LA, Gibbons S, Phillipson JD (2010) Echinacea species (Echinacea angustifolia (DC.) Hell., Echinacea pallida (Nutt.) Nutt., Echinacea purpurea (L.) Moench): a review of their chemistry, pharmacology and clinical properties. J Pharm Pharmacol 57:929–954. https://doi.org/10.1211/0022357056127
Cadiz MP, Schara MR, Kemp BH, Johnson RMG (2019) Echinacea purpurea root extract increases tumor necrosis factor production by concanavalin a-activated murine splenocytes. J Med Food 22:1146–1150. https://doi.org/10.1089/jmf.2019.0065
Cardoso JC, de Oliveira MEBS, de Cardoso F, CI, (2019) Advances and challenges on the in vitro production of secondary metabolites from medicinal plants. Hortic Bras 37:124–132. https://doi.org/10.1590/s0102-053620190201
Chandran H, Meena M, Barupal T, Sharma K (2020) Plant tissue culture as a perpetual source for production of industrially important bioactive compounds. Biotechnol Rep 26:1–10. https://doi.org/10.1016/j.btre.2020.e00450
Cheong JJ, Do CY (2003) Methyl jasmonate as a vital substance in plants. Trends Genet 19:409–413
Chiou SY, Sung JM, Huang PW, Lin SD (2017) Antioxidant, antidiabetic, and antihypertensive properties of Echinacea purpurea flower extract and caffeic acid derivatives using in vitro models. J Med Food 20:171–179. https://doi.org/10.1089/jmf.2016.3790
Choi DW, Jung JD, Ha YI et al (2005) Analysis of transcripts in methyl jasmonate-treated ginseng hairy roots to identify genes involved in the biosynthesis of ginsenosides and other secondary metabolites. Plant Cell Rep 23:557–566. https://doi.org/10.1007/s00299-004-0845-4
Creelman RA, Mulpuri R (2002) The oxylipin pathway in Arabidopsis. Arab B 1:1–24. https://doi.org/10.1199/tab.0012
de Figueiró A, A, Correa CM, Astarita LV, Santarém ER, (2010) A manutenc̈äo prolongada de culturas in vitro afeta o crescimento e o metabolismo secundärio de hipërico. Cienc Rural 40:2115–2121. https://doi.org/10.1590/S0103-84782010001000010
Demirci T, Özmen S, Yılmaz EG et al (2017) The influence of methyl jasmonate on growth and caffeic acid derivative contents of in vitro shoot and roots in Echinaceae (Echinacea purpurea). Indian J Pharm Educ Res 51:S513–S517. https://doi.org/10.5530/ijper.51.3s.77
Demirci T, Çelikkol Akçay U, Göktürk Baydar N (2020) Effects of 24-epibrassinolide and L-phenylalanine on growth and caffeic acid derivative production in hairy root culture of Echinacea purpurea L. Moench Acta Physiol Plant 42:1–11. https://doi.org/10.1007/s11738-020-03055-7
Demirci T, Aras Ascı Ö, Göktürk Baydar N (2021) Influence of salicylic acid and L-phenylalanine on the accumulation of anthraquinone and phenolic compounds in adventitious root cultures of madder (Rubia tinctorum L.). Plant Cell Tissue Organ Cult 144:313–324. https://doi.org/10.1007/s11240-020-01952-w
Dörnenburg H, Knorr D (1997) Challenges and opportunities for metabolite production from plant cell and tissue cultures. Food Technol 51:47–54
Fast DJ, Balles JA, Scholten JD et al (2015) Echinacea purpurea root extract inhibits TNF release in response to Pam3Csk4 in a phosphatidylinositol-3-kinase dependent manner. Cell Immunol 297:94–99. https://doi.org/10.1016/j.cellimm.2015.07.003
Giri CC, Zaheer M (2016) Chemical elicitors versus secondary metabolite production in vitro using plant cell, tissue and organ cultures: recent trends and a sky eye view appraisal. Plant Cell Tissue Organ Cult 126:1–18. https://doi.org/10.1007/s11240-016-0985-6
Halder M, Sarkar S, Jha S (2019) Elicitation: A biotechnological tool for enhanced production of secondary metabolites in hairy root cultures. Eng Life Sci 19:880–895
Hayashi H, Huang P, Inoue K (2003) Up-regulation of soyasaponin biosynthesis by methyl jasmonate in cultured cells of Glycyrrhiza glabra. Plant Cell Physiol 44:404–411. https://doi.org/10.1093/pcp/pcg054
Isah T (2019) Stress and defense responses in plant secondary metabolites production. Biol Res 52:39
Jalil Sheshbahreh M, Movahhedi Dehnavi M, Salehi A, Bahreininejad B (2019) Physiological and efficiency responses of purple coneflower (Echinacea purpurea (L.) Moench) to nitrogen sources at different levels of irrigation. Physiol Mol Biol Plants 25:177–187. https://doi.org/10.1007/s12298-018-0611-7
Kim OT, Bang KH, Shin YS et al (2007) Enhanced production of asiaticoside from hairy root cultures of Centella asiatica (L.) urban elicited by methyl jasmonate. Plant Cell Rep 26:1941–1949. https://doi.org/10.1007/s00299-007-0400-1
Kindscher K (1989) Ethnobotany of purple coneflower (Echinacea angustifolia, Asteraceae) and other Echinacea species. Econ Bot 43:498–507. https://doi.org/10.1007/BF02935924
Lema-Rumińska J, Kulus D, Tymoszuk A et al (2019) Profile of secondary metabolites and genetic stability analysis in new lines of Echinacea purpurea (L.) Moench micropropagated via somatic embryogenesis. Ind Crops Prod 142:111851. https://doi.org/10.1016/j.indcrop.2019.111851
Liang ZS, Yang DF, Liang X et al (2012) Roles of reactive oxygen species in methyl jasmonate and nitric oxide-induced tanshinone production in Salvia miltiorrhiza hairy roots. Plant Cell Rep 31:873–883. https://doi.org/10.1007/s00299-011-1208-6
Liu CZ, Abbasi BH, Gao M et al (2006) Caffeic acid derivatives production by hairy root cultures of Echinacea purpurea. J Agric Food Chem 54:8456–8460. https://doi.org/10.1021/jf061940r
Lv H, Li J, Wu Y et al (2016) Transporter and its engineering for secondary metabolites. Appl Microbiol Biotechnol 100:6119–6130
Maggini V, Mengoni A, Gallo ER et al (2019) Tissue specificity and differential effects on in vitro plant growth of single bacterial endophytes isolated from the roots, leaves and rhizospheric soil of Echinacea purpurea. BMC Plant Biol 19:1–9. https://doi.org/10.1186/s12870-019-1890-z
Mohamed Sharif KO, Tufekci EF, Ustaoglu B et al (2021) Anticancer and biological properties of leaf and flower extracts of Echinacea purpurea (L.) Moench. Food Biosci 41:101005. https://doi.org/10.1016/j.fbio.2021.101005
Mohebby M, Mortazavi SN, Kheiry A, Saba J (2021) Assessment of physiological and phytochemical traits of purple coneflower (Echinacea purpurea L. Moench) in response to salicylic acid and methyl jasmonate application. Med Plant Res 11:1–13. https://doi.org/10.5376/mpr.2021.11.0001
Momchev P, Ciganović P, Jug M et al (2020) Comparison of maceration and ultrasonication for green extraction of phenolic acids from Echinacea purpurea aerial parts. Molecules 25:5142. https://doi.org/10.3390/molecules25215142
Murasnige T, Skoog F (1962) A revised medium for rapid growth and bio assays with tobacco tissue cultures. Physiol Plant 15:473–497
Nadeem H, Ahmad F (2019) Prospects for the use of plant cell culture as alternatives to produce secondary metabolites. In: Natural Bio-active Compounds: Volume 3: Biotechnology, Bioengineering, and Molecular Approaches. Springer Singapore, pp 153–182
Naik PM, Al-Khayri JM (2016) Abiotic and biotic elicitors–role in secondary metabolites production through in vitro culture of medicinal plants. In: Abiotic and Biotic Stress in Plants - Recent Advances and Future Perspectives. InTechOpen https://doi.org/10.5772/61442
Narayani M, Srivastava S (2017) Elicitation: a stimulation of stress in in vitro plant cell/tissue cultures for enhancement of secondary metabolite production. Phytochem Rev 16:1227–1252
Oláh A, Szabó-Papp J, Soeberdt M et al (2017) Echinacea purpurea-derived alkylamides exhibit potent anti-inflammatory effects and alleviate clinical symptoms of atopic eczema. J Dermatol Sci 88:67–77. https://doi.org/10.1016/j.jdermsci.2017.05.015
Parsons JL, Cameron SI, Harris CS, Smith ML (2018) Echinacea biotechnology: Advances, commercialization and future considerations. Pharm Biol 56:485–494. https://doi.org/10.1080/13880209.2018.1501583
Pleschka S, Stein M, Schoop R, Hudson JB (2009) Anti-viral properties and mode of action of standardized Echinacea purpurea extract against highly pathogenic avian Influenza virus (H5N1, H7N7) and swine-origin H1N1 (S-OIV). Virol J 6:1–9. https://doi.org/10.1186/1743-422X-6-197
Raclariu AC, Ţebrencu CE, Ichim MC et al (2018) What’s in the box? Authentication of Echinacea herbal products using DNA metabarcoding and HPTLC. Phytomedicine 44:32–38. https://doi.org/10.1016/j.phymed.2018.03.058
Rady MR, Aboul-Enein AM, Ibrahim MM (2018) Active compounds and biological activity of in vitro cultures of some Echinacea purpurea varieties. Bull Natl Res Cent 42:1–12. https://doi.org/10.1186/s42269-018-0018-1
Ramabulana AT, Steenkamp PA, Madala NE, Dubery IA (2021) Application of plant growth regulators modulates the profile of chlorogenic acids in cultured Bidens pilosa cells. Plants 10:1–13. https://doi.org/10.3390/plants10030437
Schapowal A, Klein P, Johnston SL (2015) Echinacea reduces the risk of recurrent respiratory tract infections and complications: A meta-analysis of randomized controlled trials. Adv Ther 32:187–200
Sharifi-Rad M, Mnayer D, Morais-Braga MFB et al (2018) Echinacea plants as antioxidant and antibacterial agents: From traditional medicine to biotechnological applications. Phyther Res 32:1653–1663. https://doi.org/10.1002/ptr.6101
Shitan N (2016) Secondary metabolites in plants: Transport and self-tolerance mechanisms. Biosci Biotechnol Biochem 80:1283–1293
Tabar RS, Moieni A, Monfared SR (2019) Improving biomass and chicoric acid content in hairy roots of Echinacea purpurea L. Biologia (bratisl) 74:941–951. https://doi.org/10.2478/s11756-019-00232-z
Takahashi I, Hara M (2014) Enhancement of starch accumulation in plants by exogenously applied methyl jasmonate. Plant Biotechnol Rep 8:143–149. https://doi.org/10.1007/s11816-013-0304-1
Thomsen MO, Christensen LP, Grevsen K (2018) Harvest strategies for optimization of the content of bioactive alkamides and caffeic acid derivatives in aerial parts and in roots of Echinacea purpurea. J Agric Food Chem 66:11630–11639. https://doi.org/10.1021/acs.jafc.8b03420
Wang J, Qian J, Yao L, Lu Y (2015) Enhanced production of flavonoids by methyl jasmonate elicitation in cell suspension culture of Hypericum perforatum. Bioresour Bioprocess 2:1–9. https://doi.org/10.1186/s40643-014-0033-5
Yin A, Goldberg HK, Mupparapu A, et al (2016) Low molecular weight components in aqueous Echinacea Purpurea leaf extract inhibit melanoma cell growth. J Cancer Biol Ther 2:109–117. https://doi.org/10.18314/gjct.v2i1.93
Yu X, Zhang W, Zhang Y et al (2019) The roles of methyl jasmonate to stress in plants. Funct Plant Biol 46:197–212
Acknowledgements
The author is thankful to the Isparta University of Applied Sciences Department of Field Crops for providing the seeds of E. purpurea used in this study and the 2-year-old plants taken from the field.
Funding
Not applicable.
Author information
Authors and Affiliations
Corresponding author
Ethics declarations
Conflict of interest
No conflict of interest declared.
Additional information
Communicated by P. Wojtaszek.
Publisher's Note
Springer Nature remains neutral with regard to jurisdictional claims in published maps and institutional affiliations.
Supplementary Information
Below is the link to the electronic supplementary material.
Rights and permissions
Springer Nature or its licensor holds exclusive rights to this article under a publishing agreement with the author(s) or other rightsholder(s); author self-archiving of the accepted manuscript version of this article is solely governed by the terms of such publishing agreement and applicable law.
About this article
Cite this article
Demirci, T. Determination of secondary metabolite production efficiency in Echinacea purpurea callus, shoot, and root in vitro cultures with methyl jasmonate applications. Acta Physiol Plant 44, 128 (2022). https://doi.org/10.1007/s11738-022-03468-6
Received:
Revised:
Accepted:
Published:
DOI: https://doi.org/10.1007/s11738-022-03468-6


