Abstract
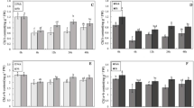
The effects of diethyl aminoethyl hexanoate (DA-6) with different concentrations on the growth and selenium (Se) uptake of grape seedlings were studied by a pot experiment. When the concentration of DA-6 was not higher than 20 mg/L, the biomass, photosynthetic pigment content, antioxidant enzyme activity, and Se content of grape seedlings had the increase trend. Then it decreased when the concentration of DA-6 was higher than 20 mg/L. At the concentration of 20 mg/L DA-6, the level of biomass, photosynthetic pigment content, antioxidant enzyme activity, and Se content of grape seedlings got the maximum. Compared to the control, the concentration of 20 mg/L DA-6 increased the root and shoot biomass by 37.46% and 27.55%, respectively, and increased the Se contents in roots and shoots by 51.45% and 111.41%, respectively. The net photosynthetic rate, transpiration rate, stomatal conductance, and CO2 concentration of intercellular of grape seedlings had the same changing trend as that of the biomass with the increase in DA-6 concentrations, while the vapor pressure deficit of leaf had the opposite trend. Therefore, at 20 mg/L DA-6 concentrations, it was found to promote the growth and improve the Se uptake of grape.
Similar content being viewed by others
References
Bao SD (2000) Soil and agricultural chemistry analysis. China Agriculture Press, Beijing
Chen LB (2016) Research on the effect of DA-6 alleviating continuous cropping obstacles in melon seedling stages. Anhui Agricultural University, Hefei, China, Master dissertation.
Chen H, Shen H, Ye W, Cao H, Wang Z (2011) Involvement of ABA in reduced photosynthesis and stomatal conductance in Cuscuta campestris - Mikania micrantha association. Biol Plantarum 55(3):545–548
Chen SC, Sun GX, Chen Z, Chen FL, Zhu YG (2014) Progresses on selenium metabolism and interaction with heavy metals in higher plants. Plant Physiol J 64(5):612–624
Chen L, Hu WF, Long C, Wang D (2020a) Exogenous plant growth regulator alleviate the adverse effects of U and Cd stress in sunflower (Helianthus annuus L.) and improve the efficacy of U and Cd remediation. Chemosphere 262:127809
Chen X, Zhang ZY, Gu MH, Li H, Shohag MJI, Shen FK, Wang XL, Wei YY (2020b) Combined use of arbuscular mycorrhizal fungus and selenium fertilizer shapes microbial community structure and enhances organic selenium accumulation in rice grain. Sci Total Environ 748:141166
Chen L, Liu JR, Hu WF, Gao J, Yang JY (2021) Vanadium in soil-plant system: source, fate, toxicity, and bioremediation. J Hazard Mater 405:124200
Fan CQ, Yu CH, Zhang L, Tang XD, Zhang W, Li ZQ, Du XD (2017) Effects of 30% diethyl aminoethyl hexanoate ethephon aqueous solution on fruit coloration and quality of “Kyoho” grape. J Hebei Agri Sci 21(5):42–46
Freeman JL, Zhang LH, Marcus MA, Fakra S, McGrath SP, Pilon-Smits EAH (2006) Spatial imaging, speciation, and quantification of selenium in the hyperaccumulator plants Astragalus bisulcatus and Stanleya pinnata. Plant Physiol 142:124–134
Gong WX, Liu CJ, Feng NJ, Zheng DF, Wang C (2017) Effects of plant growth regulators S3307 and DTA-6 on photosynthetic characteristics and yield in soybean canopy. Plant Physiol J 53(10):1867–1876
Hao ZB, Cang J, Xu Z (2004) Plant physiology experiment. Harbin Institute of Technology Press, Harbin, China
He S, Wu Q, He Z (2014) Synergetic effects of DA-6/GA3 with EDTA on plant growth, extraction and detoxification of Cd by Lolium perenne. Chemosphere 117:132–138
Hu T, Li L, Hui GF, Zhang JJ, Li HF, Wu WL, Wei XH, Gou YB (2019) Selenium biofortification and its effect on multi-element change in Auricularia auricular. Food Chem 295:206–213
Huang JJ (2018) Effects of intercropping accumulator plants on growth and cadmium accumulation of grape seedlings. Master dissertation, Sichuan Agricultural University, Chengdu, China
Huang K, Lin L, Liao M, Liu J, Liang D, Xia H, Wang X, Wang J, Deng H (2020a) Effects of intercropping with different Solanum plants on the physiological characteristics and cadmium accumulation of Solanum nigrum. Int J Environ an Ch. https://doi.org/10.1080/03067319.2020.1711898
Huang WT, Feng NJ, Zheng DF, Jin D, Mou BM, Ding KX (2020b) Effects of uniconazole and diethyl aminoethylhexanoate on photosynthetic characteristics and carbon metabolism of soybean leaves. Soybean Sci 39(2):243–251
Jiang LQ, Pei HY, Hu WR, Han F, Zhang LJ, Hou QJ (2015) Effect of diethyl aminoethylhexanoate on the accumulation of high-value biocompounds produced by two novel isolated microalgae. Bioresource Technol 197:178–184
Jing YP, Jing YT, He S, Zhang HL, Pan CP (2012) Dissipation of diethyl aminoethylhexanoate (DA-6) residues in pakchoi, cotton crops and soil. Bull Environ Contam Tox 88(4):533–537
Johnson CC, Ge X, Green KA, Green X (2000) Selenium distribution in the local environment of selected villages of the Keshan Disease belt, Zhangjiakou District, Hebei Province, People’s Republic of China. Appl Geochem 15(3):385–401
Li Z, Lin W (2020) Synergetic effects of DA-6/24-EBL and NTA on uptake, subcellular distribution and chemical form of Cd in Amaranthus hybridus L. Soil Sci Plant Nutr. https://doi.org/10.1080/00380768.2020.1786721
Li HF, Mcgrath SP, Zhao FJ (2008) Selenium uptake, translocation and speciation in wheat supplied with selenate or selenite. New Phytol 178(1):92–102
Li J, Sun S, Xing GM, Hou LP, Zhang ZH, Liu Y, Yuan HX, Zheng JY (2019a) Effect of different concentrations of CO2 enrichment on the accumulation of selenium of tomato fruit. Soil Fertilizer Sci China 56(1):102–107
Li LQ, Deng P, Huang CD (2019b) Research on selenium enrichment ability of different waxy corn varieties. J Anhui Agri Sci 47(21):157–159
Liang Y (2003) Influence of DA-6 on cold resistance of rice seedling. J Mountain Agri Biol 22(2):95–98
Liu FY (2014) Regulation effect and mechanism of DA-6 and uniconazole on potato. Shandong Agricultural University, Taian, Master dissertation.
Liu L, Zheng S, Chen F, Li J, Liao M, Lin L, Tang H, Deng Q, Li H, Wang X, Wang J, Tang Y, Li M, Zhang H, Li H (2018) Effects of paclobutrazol (PP333) on lead and zinc accumulations in Pseudostellaria maximowicziana. Chem Ecol 34:412–421
Liu L, Wang T, Sui L, Liu L, Lin L, Liao M (2019) The selenium accumulation characteristics of grape seedlings. IOP Conf Ser Earth Environ Sci 330:042042
Meetu G, Shikha G (2017) An overview of selenium uptake, metabolism, and toxicity in plants. Plant Sci 7:2074
Moesgaard S, Morrill R (2001) The need for speciation to realise the potential of selenium in disease prevention. Royal Society of Chemistry, London
Nie LX, Jiang XY, Wu SH, Zhang JW, Liu P (2010) Effects of DA-6 on leaf photosynthetic carboxylase and protective enzyme activities and grain yield of high-yielding summer maize. Chin J Appl Ecol 21(10):2558–2564
Ning CJ, Ding N, Wu GL, Ji AQ, Liu XH, Yang YJ (2013) Effects of different selenium spraying scheme on the fruit quality, total selenium and organic selenium contents in ‘Red Fuji’’ apple trees.’ J Plant Nutr Fertilizer 19:1109–1117
Ookawa T, Naruoka Y, Sayama A, Hirasawa T (2004) Cytokinin effects on ribulose-1,5-bisphosphate carboxylase/oxygenase and nitrogen partitioning in rice during ripening. Crop Sci 44(6):2107–2115
Qi RJ, Gu WR, Juan Z, Hao L, Znang MG, Duan LS, Li ZH (2013) Exogenous diethyl aminoethylhexanoate enhanced growth of corn and soybean seedlings through altered photosynthesis and phytohormone. Australian J Crop Sci 7(13):2021–2028
Qu LZ, Yang SJ, Zhuo S, Wang HD, Lu XH (2010) Preliminary discussion on the effects of microelement selenium. Chin Agri Sci Bull 47(21):157–159
Ran Z, Chen C, Chen F, Liao M, Lin L, Lv X, Deng Q, Wang X, Wang J, Tang Y, Li H (2018) Effects of indole-3-butytric acid on lead and zinc accumulations in Pseudostellaria maximowicziana. Environ Monit Assess 190:212
Salama E, Kabra AN, Ji M, Kim JR, Min B, Jeon B (2014) Enhancement of microalgae growth and fatty acid content under the influence of phytohormones. Bioresource Technol 172:97–103
Shan SM, Liu GJ, Li SH (2008) Effect of different DA-6 concentration on photosynthesis and chloroplast activity of peach in greenhouse. J Plant Nutrition Fertilizers 15(6):1237–1241
Shi XM, Li SQ, Xu JG, Tong YX (2009) Effect of soaking the seeds in DA-6 on protective enzyme activities in leaves of soybean seedling under drought stress. J Northeast Agri Univ 40(9):48–51
Staswick P (2009) Plant hormone conjugation: a signal decision. Plant Signal Behav 4(8):757–759
Su LW, Li S, Ma SY, Dai CH, Shi ZZ, Tang B, Zhao SQ, Pu YT (2015) A comprehensive assessment method for cold resistance of grape vines. Acta Pratacul Sin 24(3):70–79
Sun XP, Wang YS, Han GQ, Ye S, Zhou XR (2020) Effects of different selenium forms on selenium accumulation, plant growth, and physiological parameters of wild peach. South African J Bot 131:437–442
Tamaoki M, Freeman JL, Pilon-Smits EAH (2008) Cooperative ethylene and jasmonic acid signaling regulates selenite resistance in Arabidopsis. Plant Physiol 146(3):1219–1230
Wang R (2016) Effect of foliar feeding of selenium on the growth and fruit quality of grape. Northwest A & F University, Yangling, China, Master dissertation.
Wang Y, Wang X, Wong Y (2012) Proteomics analysis reveals multiple regulatory mechanisms in response to selenium in rice. J Proteomics 75(6):1849–1866
Wang J, Liu C, Zhang X, Lin L, Liao M, Lv X, Xia H, Liang D (2016) Effects of applying hyperaccumulator straw in soil on growth and cadmium accumulation of Galinsoga parviflora. Environ Prog Sustain 35:618–623
Wang P, Zhang YZ, Ruan XY, Ye J, Hou ZA, An JM (2020) Effects of foliar spraying with selenium on yield, quality and selenium accumulation and growth of wine grape. Acta Agri Boreali-Occidentalis Sinica 29(1):93–100
White PJ, Bowen HC, Parmaguru P, Fritz M, Spracklen WP, Spiby RE, Meacham MC, Mead A, Harriman M, Trueman LJ, Smith BM, Thomas B, Broadley MR (2004) Interactions between selenium and sulphur nutrition in Arabidopsis thaliana. J Ex Bot 55(404):1927–1937
Winkel LHE, Johnson CA, Lenz M, Grundl T, Leupin OW, Amini M (2012) Environmental selenium research: from microscopic processes to global understanding. Environ Sci Technol 46(2):571–579
Wu MR, Cong X, Li M, Rao S, Liu Y, Guo J, Zhu S, Chen SZ, Xu F, Cheng SY, Liu LP, Yu T (2020) Effects of different exogenous selenium on Se accumulation, nutrition quality, elements uptake, and antioxidant response in the hyperaccumulation plant Cardamine violifolia. Ecotox Environ Safe 204:111045
Xiao YH, Li YW, Zou B, He JM, Li ZA (2019) Effect of DA-6 at different concentrations on Cd and Zn accumulation by heavy metal hyperaccumulator Amaranthus hypochondriacus L. Ecol Environ Sci 28(12):2433–2437
Yang Q, Aishajiang MMT, Liu GJ, Jing ZW, Zhao HW, Liu KX (2012a) Effects of DA-6 on key precursors and enzyme activity of chlorophyll biosynthesis in strawberry leaves. J China Agri Univ 17(4):86–90
Yang Q, Aishajiang MMT, Wang ZX, Liu GJ (2012b) Effects of DA-6 on chlorophyll biosynthesis pathway in peach leaves. Acta Horticulturae Sinica 39(4):621–628
Yang XY, Li SH, Mei CY, Yang G, Sun XH, Zhao CH, Zhang M, Li CL (2017) Effects of DA-6 on growth and physiological characteristics in hydroponic lettuce. J Agro-Environ Sci 36(1):32–38
Yao YMD, Pei FMD, Kang PMD (2011) Selenium, iodine, and the relation with Kashin-Beck disease. Nutrition 27(11):1095–1100
Zhang ZL (2001) Effects of DA-6 on seedling growth and its cold-resistance in rice. Guizhou Agri Sci 30(4):14–17
Zhang W, Geng ZC (2012) Research progress regarding the effect of exogenous selenium on vegetables. Acta Horticulturae Sinica 39(9):1749–1756
Zhang Y, Gladyshev VN (2009) Comparative genomics of trace elements: emerging dynamic view of trace element utilization and function. Chem Rev 109(10):4828–4861
Zhang ZL, Liang Y (2001) Effects of DA-6 on seed germination and seeding growth in rice. J Southwest Univ 45(3):219–221 (natural Sci Edition)
Zhang HY, Xie LQ, Xu PG, Jing SR (2008) Dissipation of the plant growth regulator hexanoic acid 2-(diethylamino) ethyl ester in pakchoi and soil. Int J Environ an Ch 88(8):561–569
Zhang XF, Xia HP, Li ZA, Zhuang P, Gao B (2010) Potential of four forage grasses in remediation of Cd and Zn contaminated soils. Bioresour Technol 101:2063–2066
Zhang X, Xia H, Li Z, Zhuang P, Gao B (2011) Identification of a new potential Cd-hyperaccumulator Solanum photeinocarpum by soil seed bank-metal concentration gradient method. J Hazard Mater 189(1–2):414–419
Zhang CP, He P, Li YC, Li Y, Yao HK, Duan JY, Hu SJ, Zhou H, Li S (2016) Exogenous diethyl aminoethylhexanoate, a plant growth regulator, highly improved the salinity tolerance of important medicinal plant Cassia obtusifolia L. J Plant Growth Regul 35(2):330–344
Zhou SB, Chao TC, Huang YJ, Tang CF, Zhou QK (2013) Effects of applying amount of selenium in soil on the growth, biological characteristics and selenium accumulation of Cryptotaenia japonica. J Soil Water Conserv 27(2):157–163
Zhou WG, Chen F, Zhao SH, Tang CQ, Meng YJ, Shuai HW, Lou XF, Dai YJ, Yin H, Do JB, Liu J, Fan GQ, Liu WG, Yang WY, Shu K (2019) DA-6 promotes germination and seedling establishment from aged soybean seeds by mediating fatty acid metabolism and glycometabolism. J Exp Bot 70(1):101–114
Zhu LQ, Wei QP, Xu XF, Han ZH, Wang XW, Li TZ (2007) Selenium absorption, distribution and accumulation in grapevine. Acta Horticulturae Sinica 34:325–328
Acknowledgements
This work was financially supported by Sichuan Science and Technology Program (2019JDJQ0043).
Author information
Authors and Affiliations
Corresponding author
Additional information
Communicated by M. Capuana.
Publisher's Note
Springer Nature remains neutral with regard to jurisdictional claims in published maps and institutional affiliations.
Rights and permissions
About this article
Cite this article
Liu, L., Han, J., Deng, L. et al. Effects of diethyl aminoethyl hexanoate on the physiology and selenium absorption of grape seedlings. Acta Physiol Plant 43, 115 (2021). https://doi.org/10.1007/s11738-021-03287-1
Received:
Revised:
Accepted:
Published:
DOI: https://doi.org/10.1007/s11738-021-03287-1


