Abstract
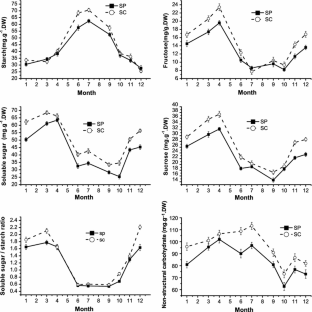
Evergreen plants need to store reserves to allow for their survival during the winter months and for new leaf growth in the following spring. In many of the tree species, these reserve functions are mainly carried out by starch, which is degraded to soluble carbohydrates during the dormant season to maintain active respiration and provide protection against freezing. In the present study, two evergreen woody plants, S. przewalskii Kom. (SP) and S. chinensis (Lin.) Ant.(SC), were used to investigate the patterns of seasonal variation in the concentrations of soluble sugars, sucrose, fructose and starch, and the activities of sucrose-phosphate synthase (SPS), sucrose synthase (SUSY), neutral invertase (NI) and soluble acid invertase (SAI). Foliar soluble sugar, sucrose, fructose, and starch concentrations were markedly higher in SC than in SP; moreover, the activities of SPS, SUSY, NI and SAI were also higher in SC than in SP. There were generally higher concentrations of soluble sugars, sucrose and fructose and SPS activities in the winter than in the summer for both Sabina trees, which was consistent with the necessity for protection against freezing; however, opposite results were found with regards to starch concentrations and the activities of SUSY, NI and SAI. In contrast with the activities of SUSY, NI and SAI, the negative correlation observed between SPS and air temperature was likely a reflection of its crucial role in the acquisition of freezing tolerance by sucrose metabolism in the winter. These results suggest that higher carbon reserves do not give S. chinensis (Lin.) Ant. a competitive advantage in tolerating cold temperatures and that only SPS, but not SUSY, NI and SAI, may play a positive role in freezing tolerance by increasing soluble sugar.




References
Baker A, Wilson R, Fairchild IJ, Franke J, Spötl C, Mattey D, Trouet V, Fuller L (2011) High resolution δ18O and δ13C records from an annually laminated Scottish stalagmite and relationship with last millennium climate. Glob Planet Change. doi:10.1016/j.gloplacha.2010.12.007
Bansal S, Germino MJ (2008) Carbon balance of conifer seedlings at timberline: relative changes in uptake, storage, and utilization. Oecologia 158:217–227
Bascunan-Godoy L, Uribe E, Zuniga-Feest A, Corcuera LJ, Bravo LA (2006) Low temperature regulates sucrose-phosphate synthase activity in Colobanthus quitensis (Kunth) Bartl. by decreasing its sensitivity to Pi and increased activation by glucose-6-phosphate. Polar Biol 29:1011–1017
Bloom AJ, Chapin FS III, Mooney HA (1985) Resource limitation in plants—an economic analogy. Annu Rev Ecol Syst 16:363–392
Bonicel A, Haddad G, Gagnaire J (1987) Seasonal variations in starch and major soluble sugars in the different organs of young poplars. Plant Physiol Biochem 25:451–459
Boyce PJ, Volenec JJ (1992) Taproot carbohydrate concentrations and stress tolerance of contrasting alfalfa genotypes. Crop Sci 32:757–761
Brooks JR, Griffin VK, Kattan MW (1986) A modified method for total carbohydrate analysis of glucose syrups and other starch hydrolysis products. Cereal Chem 63:465–466
Bruelheide H, Lieberum K (2001) Experimental tests for determining the causes of the altitudinal distribution of Meum athamanticum Jacq. in the Harz Mountains. Flora 196:227–241
Castonguay Y, Nadeau P (1998) Enzymatic control of soluble carbohydrate accumulation in cold-acclimated crowns of alfalfa. Crop Sci 38:1183–1189
Fege AS, Brown GN (1984) Carbohydrate distribution in dormant Populus shoots and hardwood cuttings. For Sci 30:999–1010
Goldner WM, Thom M, Maretzki A (1991) Sucrose metabolism in sugarcane cell suspension cultures. Plant Sci 73:143–147
Gutierrez-Miceli FA, Rodriguez-Mendiola MA, Ochoa-Alejo N, Mendez–Salas R, Arias-Castro C, Dendooven L (2005) Sucrose accumulation and enzyme activities in callus culture of sugarcane. Biol Plant 49:475–479
Gutiérrez-Miceli FA, Rodriguez-Mendiola MA, Ochoa-Alejo N, Méndez-Salas R, Dendooven L, Arias-Castro C (2002) Relationship between sucrose accumulation and activities of sucrose-phosphatase, sucrose synthase, neutral invertase and soluble acid invertase in micropropagated sugarcane plants. Acta Physiol Plant 24:441–446
Guy CL, Huber JLA, Huber SC (1992) Sucrose phosphate synthase and sucrose accumulation at low temperature. Plant Physiol 100:502–508
Hubbard NL, Huber SC, Parr DM (1989) Sucrose phosphate synthase and acid invertase as determinants of sucrose concentration in developing muskmelon (Cucumis melo L.) fruits. Plant Physiol 91:1527–1534
Huber SC, Huber JL (1996) Role and regulation of sucrose-phosphate synthase in higher plants. Annu Rev Plant Physiol Mol Biol 47:431–444
Li Y, Chen T, Zhang Y, An L (2007) The relation of seasonal pattern in stable carbon compositions to meteorological variables in the leaves of Sabina przewalskii Kom. and Sabina chinensis (Lin.) Ant. Environ Geol 51:1279–1284
Lundmark M, Cavaco AM, Trevanion S, Hurry V (2006) Carbon partitioning and export in transgenic Arabidopsis thaliana with altered capacity for sucrose synthesis grown at low temperature: a role for metabolite transporters. Plant, Cell Environ 29:1703–1714
Ma Y, Zhang Y, Lu J, Shao H (2009) Roles of plant soluble sugars and their responses to plant cold stress. Afr J Biotechnol 8:2004–2010
Nelson N (1944) A photometric adaptation of the Somogyi method for the determination of glucose. J Biol Chem 153:375–380
Ögren E (1997) Relationship between temperature, respiratory loss of sugar and premature dehardening in dormant Scots pine seedlings. Tree Physiol 17:47–51
Pollock CJ, Eagles CF, Sims IM (1988) Effect of photoperiod and irradiance changes upon development of freezing tolerance and accumulation of soluble carbohydrate in seedlings of Lolium perenne grown at 2°C. Ann Bot 62:95–100
Roitsch T (1999) Source-sink regulation by sugar and stress. Curr Opin Plant Biol 2:198–206
Sakai A, Yoshida S (1968) The role of sugar and related compounds in variations of freezing resistance. Cryobiology 5:160–174
Sasaki H, Ichimura K, Imada S, Yamaki S (2001) Sucrose synthase and sucrose phosphate synthase, but not acid invertase, are regulated by cold acclimation and deacclimation in cabbage seedlings. J Plant Physiol 158:847–852
Schrader S, Sauter JJ (2002) Seasonal changes of sucrose-phosphate synthase and sucrose synthase activities in poplar wood (Populus × canadensis Moench ‹robusta›) and their possible role in carbohydrate metabolism. J Plant Physiol 159:833–843
Strand Å, Foyer CH, Gustafsson P, Gardeström P, Hurry V (2003) Altering flux through the sucrose biosynthesis pathway in transgenic Arabidopsis thaliana modifies photosynthetic acclimation at low temperatures and the development of freezing tolerance. Plant Cell Environ 26:523–536
Tognetti JA, Calderón PL, Pontis HG (1989) Fructan metabolism: reversal of cold acclimation. J Plant Physiol 134:232–236
van Handel E (1968) Direct microdetermination of sucrose. Ann Biochem 22:280–283
Wang F, Sanz A, Brenner ML, Smith A (1993) Sucrose synthase, starch accumulation, and tomato fruit sink strength. Plant Physiol 101:321–327
Weisberg LA, Wimmers LE, Turgeon R (1988) Photoassimilate-transport characteristics of nonchlorophyllous and green tissue in variegated leaves of Coleus blumei Benth. Planta 175:1–8
Wyka T (1999) Carbohydrate storage and use in an alpine population of the perennial herb, Oxytropis sericea. Oecologia 120:198–208
Yano R, Nakamura M, Yoneyama T, Nishida I (2005) Starch-related a-glucan/water dikinase is involved in the cold-induced development of freezing tolerance in Arabidopsis. Plant Physiol 138:837–846
Yelle S, Chetelat RT, Dorais M, Deverna JW, Bennett AB (1991) Sink metabolism in tomato fruit IV. Genetic and biochemical analysis of sucrose accumulation. Plant Physiol 95:1026–1035
Yoshida S, Forno D, Cock J, Gomez K (1976) Determination of sugar and starch in plant tissue. In: Yoshida S (ed) Laboratory manual for physiological studies of rice. The International Rice Research Institute, Philippines, pp 46–49
Zhang Q, Cheng G, Yao T, Kang X, Huang J (2003) A 2,326-year tree-ring record of climate variability on the northeastern Qinghai-Tibetan Plateau. Geophys Res Lett 30:1739–1742
Zhang Y, Zhao Z, Zhang M, Chen T, An L, Wu J (2009) Seasonal acclimation of superoxide anion production, antioxidants, IUFA, and electron transport rates in chloroplasts of two Sabina species. Plant Sci 176:696–701
Zhao R, Dielen V, Kinet J, Boutry M (2000) Cosuppression of a plasma membrane H+-ATPase isoform impairs sucrose translocation, stomatal opening, plant growth, and male fertility. Plant Cell 12:535–546
Zrenner R, Schüler K, Sonnewald U (1996) Soluble acid invertase determines the hexose-to-sucrose ratio in cold-stored potato tubers. Planta 198:246–252
Acknowledgments
This work was supported by the National Natural Science Foundation of China (31070357, 91025002, 40971156 and 30770342), China Postdoctoral Science Foundation (20090460743) and talent fund of Henan University of Science and Technology (09001275). Thanks to the anonymous reviewers for their helpful suggestions to improve the manuscript.
Author information
Authors and Affiliations
Corresponding author
Additional information
Communicated by L. A. Kleczkowski.
Rights and permissions
About this article
Cite this article
Chen, T., Pei, H., Zhang, Y. et al. Seasonal changes in non-structural carbohydrates and sucrose metabolism enzymes in two Sabina species. Acta Physiol Plant 34, 173–180 (2012). https://doi.org/10.1007/s11738-011-0815-8
Received:
Revised:
Accepted:
Published:
Issue Date:
DOI: https://doi.org/10.1007/s11738-011-0815-8