Abstract
Purpose
Undergoing Roux-en-Y gastric bypass (RYGB) is expected to affect orally administered drug absorption. Statins are commonly prescribed to patients with obesity for the prevention of atherosclerotic cardiovascular diseases by lowering cholesterol. This is the first longitudinal prospective study on impacts of RYGB on weight loss, pharmacodynamics, and pharmacokinetics of atorvastatin, rosuvastatin, and simvastatin, and their active metabolites, up to 1-year post-surgery.
Methods
Forty-six patients were recruited, five patients on atorvastatin, twelve on rosuvastatin, nine on simvastatin, and twenty on no statin. The concentrations of atorvastatin, rosuvastatin, and simvastatin with their active metabolites were monitored.
Results
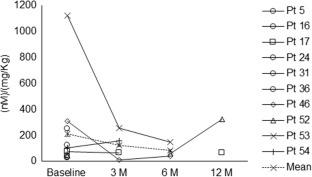
Mean plasma concentrations of atorvastatin and metabolites and rosuvastatin normalized by the unit dose [(nM)/(mg/kg)] decreased by 3- to 6-month post-surgery. Conversely, simvastatin and its metabolite concentrations increased up to 6-month post-surgery, then declined to preoperative levels by 1-year post-surgery. The metabolisms of atorvastatin to hydroxyl-metabolites and simvastatin to simvastatin acid were decreased after RYGB. The weight loss and PD outcomes were comparable between statin and non-statin groups suggesting the key impacts were from RYGB. The discontinuation or reduction of dose of atorvastatin or rosuvastatin post-RYGB exhibited rebounds of LDL levels in some subjects, but the rebound was not apparent with patients on simvastatin pre-surgery.
Conclusion
Discontinuations of statin dosing post-RYGB require LDL monitoring and reducing the dose to half seems to have better results. Patients on statin treatment post-RYGB should be followed-up closely based on our pharmacokinetic findings, to ensure therapeutic effects of the treatment with minimal adverse effects.
This is a preview of subscription content, access via your institution.








Change history
29 April 2019
In the original article the authors failed to include the following footnote:
References
Hales CM, Carroll MD, Fryar CD, et al. Prevalence of obesity among adults and youth: United States, 2015–2016. NCHS Data Brief. 2017;2017(288):1–8.
Warren M, Beck S, Rayburn J. The state of obesity 2018: better policies for a healthier America. Washington (DC): Trust for America’s Health and The Robert Wood Johnson Foundation; 2018. p. 1–68.
Li Q, Blume SW, Huang JC, et al. Prevalence and healthcare costs of obesity-related comorbidities: evidence from an electronic medical records system in the United States. J Med Econ. 2015;18(12):1020–8.
Khaodhiar L, McCowen KC, Blackburn GL. Obesity and its comorbid conditions. Clin Cornerstone. 1999;2(3):17–31.
American Society for Metabolic and Bariatric Surgery. Estimate of Bariatric Surgery Numbers, 2011–2017 2018 June 2018 [cited 2018 October 23]. Available from: https://asmbs.org/resources/estimate-of-bariatric-surgery-numbers.
Golzarand M, Toolabi K, Farid R. The bariatric surgery and weight losing: a meta-analysis in the long- and very long-term effects of laparoscopic adjustable gastric banding, laparoscopic Roux-en-Y gastric bypass and laparoscopic sleeve gastrectomy on weight loss in adults. Surg Endosc. 2017;31(11):4331–45.
Lager CJ, Esfandiari NH, Subauste AR, et al. Roux-en-Y gastric bypass vs. sleeve gastrectomy: balancing the risks of surgery with the benefits of weight loss. Obes Surg. 2017;27(1):154–61.
Melissas J, Stavroulakis K, Tzikoulis V, et al. Sleeve Gastrectomy vs Roux-en-Y gastric bypass. Data from IFSO-European chapter Center of Excellence Program. Obes Surg. 2017;27(4):847–55.
Horowitz M, Cook DJ, Collins PJ, et al. Measurement of gastric emptying after gastric bypass surgery using radionuclides. Br J Surg. 1982;69(11):655–7.
De Smet J, Van Bocxlaer J, Boussery K. The influence of bypass procedures and other anatomical changes in the gastrointestinal tract on the oral bioavailability of drugs. J Clin Pharmacol. 2013;53(4):361–76.
Quercia I, Dutia R, Kotler DP, et al. Gastrointestinal changes after bariatric surgery. Diabetes Metab. 2014;40(2):87–94.
Stone NJ, Robinson JG, Lichtenstein AH, et al. 2013 ACC/AHA guideline on the treatment of blood cholesterol to reduce atherosclerotic cardiovascular risk in adults: a report of the American College of Cardiology/American Heart Association Task Force on Practice Guidelines. Circulation. 2014;129(25 Suppl 2):S1–45.
Mercado C, AK DS, Odom E, et al. Prevalence of cholesterol treatment eligibility and medication use among adults—United States, 2005–2012. MMWR Morb Mortal Wkly Rep. 2015;64(47):1305–11.
Salami JA, Warraich H, Valero-Elizondo J, et al. National Trends in statin use and expenditures in the US adult population from 2002 to 2013: insights from the medical expenditure panel survey. JAMA Cardiol. 2017;2(1):56–65.
Skottheim IB, Stormark K, Christensen H, et al. Significantly altered systemic exposure to atorvastatin acid following gastric bypass surgery in morbidly obese patients. Clin Pharmacol Ther. 2009;86(3):311–8.
Jakobsen GS, Skottheim IB, Sandbu R, et al. Long-term effects of gastric bypass and duodenal switch on systemic exposure of atorvastatin. Surg Endosc. 2013;27(6):2094–101.
Yska JP, van der Linde S, Tapper VV, et al. Influence of bariatric surgery on the use and pharmacokinetics of some major drug classes. Obes Surg. 2013;23(6):819–25.
Yska JP, van der Meer DH, Dreijer AR, et al. Influence of bariatric surgery on the use of medication. Eur J Clin Pharmacol. 2016;72(2):203–9.
NHLBI Obesity Education Initiative Expert Panel on the Identification, Evaluation, and Treatment of Obesity in Adults (US). Clinical guidelines on the identification, evaluation, and treatment of overweight and obesity in adults: the evidence report. Bethesda (MD): National Heart, Lung, and Blood Institute; 1998.
El-Zailik A, Cheung LK, Wang Y, et al. Simultaneous LC-MS/MS analysis of simvastatin, atorvastatin, rosuvastatin and their active metabolites for plasma samples of obese patients underwent gastric bypass surgery. J Pharm Biomed Anal. 2018;164:258–67.
Brethauer SA, Kim J, El Chaar M, et al. Standardized outcomes reporting in metabolic and bariatric surgery. Obes Surg. 2015;25(4):587–606.
Lipitor (atorvastatin calcium) [package insert on the internet]. Dublin, Ireland: Pfizer Ireland Pharmaceuticals. 2009 [cited 2019 Jan 19]. Available from: https://www.accessdata.fda.gov/drugsatfda_docs/label/2009/020702s057lbl.pdf.
Nayak BK, Hazra A. How to choose the right statistical test? Indian J Ophthalmol. 2011;59(2):85–6.
Bennett DA. How can I deal with missing data in my study? Aust N Z J Public Health. 2001;25(5):464–9.
Kang H. The prevention and handling of the missing data. Korean J Anesthesiol. 2013;64(5):402–6.
Graham JW, Olchowski AE, Gilreath TD. How many imputations are really needed? Some practical clarifications of multiple imputation theory. Prev Sci. 2007;8(3):206–13.
Dong Y, Peng CY. Principled missing data methods for researchers. Springerplus. 2013;2(1):222.
Biering K, Hjollund NH, Frydenberg M. Using multiple imputation to deal with missing data and attrition in longitudinal studies with repeated measures of patient-reported outcomes. Clin Epidemiol. 2015;7:91–106.
Dhingra R, Vasan R-S. Age as a cardiovascular risk factor. Med Clin N Am. 2012;96(1):87–91.
Vitale C, Fini M, Speziale G, et al. Gender differences in the cardiovascular effects of sex hormones. Fundam Clin Pharmacol. 2010;24(6):675–85.
Perna M et al. Statins and the bariatric patient: characterization and perioperative effects of statin therapy in the gastric bypass patient. Am Surg. 2011;77(1):44–7.
Taylor BA, Ng J, Stone A, et al. Effects of statin therapy on weight loss and diabetes in bariatric patients. Surg Obes Relat Dis. 2017;13(4):674–80.
Thorn M, Finnstrom N, Lundgren S, et al. Cytochromes P450 and MDR1 mRNA expression along the human gastrointestinal tract. Br J Clin Pharmacol. 2005;60(1):54–60.
Smith A, Henriksen B, Cohen A. Pharmacokinetic considerations in Roux-en-Y gastric bypass patients. Am J Health Syst Pharm. 2011;68(23):2241–7.
Johnson M, Patel D, Matheny C, et al. Inhibition of intestinal OATP2B1 by the calcium receptor antagonist ronacaleret results in a significant drug-drug interaction by causing a 2-fold decrease in exposure of rosuvastatin. Drug Metab Dispos. 2017;45(1):27–34.
Meier Y, Eloranta JJ, Darimont J, et al. Regional distribution of solute carrier mRNA expression along the human intestinal tract. Drug Metab Dispos. 2007;35(4):590–4.
Nigovic B, Mornar A, Sertic M. A review of current trends and advances in analytical methods for determination of statins: chromatography and capillary electrophoresis, chromatography - the most versatile method of chemical analysis. In: de Azevedo Calderon L (ed). IntechOpen; 2012. p. 385–428. https://doi.org/10.5772/48694. Available from: https://www.intechopen.com/books/chromatography-the-most-versatile-method-of-chemical-analysis/a-review-of-current-trends-and-advances-in-analytical-methods-for-determination-of-statins-chromatog.
AlAkhali K, Alavudeen S. Multiple dose of liquid antacid enhance simvastatin bioavailability in Malaysian male volunteers. Asian J Pharm. 2014;8(2):90–4.
Alakhali K, Vigneshwaran E, Shaik M. Effect of food and antacid on simvastatin bioavailability on healthy adult volunteers. J Health Res Rev. 2018;5(1):26–32.
Funding
This work was supported by the Research Centers in Minority Institutions (RCMI) [grant number 5G12MD007605-23].
Author information
Authors and Affiliations
Corresponding author
Ethics declarations
Conflict of Interest
The authors declare that they have no conflict of interest.
Ethical Approval Statement
All procedures performed in studies involving human participants were in accordance with the ethical standards of the institutional and/or national research committee and with the 1964 Helsinki declaration and its later amendments or comparable ethical standards.
Informed Consent Statement
Informed consent was obtained from all individual participants included in the study.
Additional information
Publisher’s Note
Springer Nature remains neutral with regard to jurisdictional claims in published maps and institutional affiliations.
Rights and permissions
About this article
Cite this article
El-Zailik, A., Cheung, L.K., Wang, Y. et al. Longitudinal Impacts of Gastric Bypass Surgery on Pharmacodynamics and Pharmacokinetics of Statins. OBES SURG 29, 2571–2583 (2019). https://doi.org/10.1007/s11695-019-03885-6
Published:
Issue Date:
DOI: https://doi.org/10.1007/s11695-019-03885-6
Keywords
- Roux en-Y gastric bypass
- Statins
- Active metabolites
- Pharmacokinetics
- Pharmacodynamics