Abstract
Introduction
Bariatric surgery including the Roux-en-Y gastric bypass (RYGB) and the laparoscopic sleeve gastrectomy (LSG) is a well-established therapeutic option for patients with morbid or severe obesity. Metabolic modifications observed after bariatric surgery are thought to be, at least partly, linked to hormonal changes. While variation of several proglucagon-derived peptides during bariatric surgery is well documented, little is known about glicentin. The aim of this study was to investigate circulating glicentin variations after bariatric surgery.
Material and Methods
Thirty patients eligible for bariatric surgery (18 RYGB and 12 LSG procedures) were prospectively included in the University Hospital of Nice. Clinical data and fasting biological parameters were recorded preoperatively, at 3, 6, and 12 months after bariatric surgery.
Results
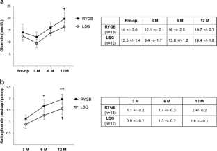
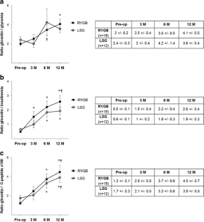
The median age of patients was 51 years (35–56) with 33.3% men. Fasting glicentin concentration increased progressively after bariatric surgery from 6 months and was more marked at 12 months (14 ± 3.6 pmol/L at baseline vs 19.7 ± 2.7 pmol/L at 12 months for RYGB and 12.5 ± 1.4 vs 16.4 ± 1.8 pmol/L for LSG, respectively). Compared to preoperative values, the fold increase of glicentin at 12 months was 2 ± 0.2 in the RYGB group and 1.6 ± 0.3 in the LSG group. Glicentin variation after surgery did not correlate with anthropometric, glycemic, or lipid parameter modifications.
Conclusion
Fasting glicentin level increases after bariatric surgery suggesting the potential interest of this peptide as a player and/or a marker of physiological changes after bariatric surgery.



Abbreviations
- ALT:
-
Aspartate aminotransferase
- AST:
-
Alanine aminotransferase
- BMI:
-
Body mass index
- GGT:
-
Gamma glutamyltransferase
- GLP-1:
-
Glucagon-like peptide-1
- GLP-2:
-
Glucagon-like peptide-2
- HDL:
-
High-density lipoprotein
- HOMA-IR:
-
Homeostasis model assessment for insulin resistance
- LDL:
-
Low-density lipoprotein
- LSG:
-
Laparoscopic sleeve gastrectomy
- RYGB:
-
Roux-en-Y gastric bypass
References
Sjostrom L, Lindroos AK, Peltonen M, et al. Lifestyle, diabetes, and cardiovascular risk factors 10 years after bariatric surgery. N Engl J Med. 2004;351(26):2683–93.
Buchwald H, Estok R, Fahrbach K, et al. Weight and type 2 diabetes after bariatric surgery: systematic review and meta-analysis. Am J Med. 2009;122(3):248–56.
Jensen MD, Ryan DH, Apovian CM, et al. 2013 AHA/ACC/TOS guideline for the management of overweight and obesity in adults: a report of the American College of Cardiology/American Heart Association Task Force on Practice Guidelines and The Obesity Society. Circulation. 2014;129(25 Suppl 2):S102–38.
Buchwald H, Oien DM. Metabolic/bariatric surgery worldwide 2008. Obes Surg. 2009;19(12):1605–11.
Piche ME, Auclair A, Harvey J, et al. How to choose and use bariatric surgery in 2015. Can J Cardiol. 2015;31(2):153–66.
Holst JJ. Enteroendocrine secretion of gut hormones in diabetes, obesity and after bariatric surgery. Curr Opin Pharmacol. 2013;13(6):983–8.
Papamargaritis D, Miras AD, le Roux CW. Influence of diabetes surgery on gut hormones and incretins. Nutr Hosp. 2013;28(Suppl 2):95–103.
Ionut V, Burch M, Youdim A, et al. Gastrointestinal hormones and bariatric surgery-induced weight loss. Obesity (Silver Spring). 2013;21(6):1093–103.
Dirksen C, Jorgensen NB, Bojsen-Moller KN, et al. Mechanisms of improved glycaemic control after Roux-en-Y gastric bypass. Diabetologia. 2012;55(7):1890–901.
Baggio LL, Drucker DJ. Biology of incretins: GLP-1 and GIP. Gastroenterology. 2007;132(6):2131–57.
Holst JJ. Enteroglucagon. Annu Rev Physiol. 1997;59:257–71.
Hage MP, Safadi B, Salti I, et al. Role of gut-related peptides and other hormones in the amelioration of type 2 diabetes after Roux-en-Y gastric bypass surgery. ISRN Endocrinol. 2012;2012:504756.
Sala PC, Torrinhas RS, Giannella-Neto D, et al. Relationship between gut hormones and glucose homeostasis after bariatric surgery. Diabetol Metab Syndr. 2014;6(1):87.
Kirkegaard P, Moody AJ, Holst JJ, et al. Glicentin inhibits gastric acid secretion in the rat. Nature. 1982;297(5862):156–7.
Myojo S, Tsujikawa T, Sasaki M, et al. Trophic effects of glicentin on rat small-intestinal mucosa in vivo and in vitro. J Gastroenterol. 1997;32(3):300–5.
Pellissier S, Sasaki K, Le-Nguyen D, et al. Oxyntomodulin and glicentin are potent inhibitors of the fed motility pattern in small intestine. Neurogastroenterol Motil. 2004;16(4):455–63.
Tomita R, Igarashi S, Tanjoh K, et al. Role of recombinant human glicentin in the normal human jejunum: an in vitro study. Hepato-Gastroenterology. 2005;52(65):1459–62.
Ohneda A, Ohneda K, Nagasaki T, et al. Insulinotropic action of human glicentin in dogs. Metabolism. 1995;44(1):47–51.
Manell H, Staaf J, Manukyan L, et al. Altered plasma levels of glucagon, GLP-1 and glicentin during OGTT in adolescents with obesity and type 2 diabetes. J Clin Endocrinol Metab. 2016;101(3):1181–9.
Naito H, Ohneda A, Kojima R, et al. Plasma glicentin in diabetic and gastrectomized patients. Regul Pept. 1999;79(1):55–61.
Wewer Albrechtsen NJ, Kuhre RE, Torang S, et al. The intestinal distribution pattern of appetite- and glucose regulatory peptides in mice, rats and pigs. BMC Res Notes. 2016;9:60.
Gunawardene AR, Corfe BM, Staton CA. Classification and functions of enteroendocrine cells of the lower gastrointestinal tract. Int J Exp Pathol. 2011;92(4):219–31.
Rodier G, Magous R, Mochizuki T, et al. Glicentin and oxyntomodulin modulate both the phosphoinositide and cyclic adenosine monophosphate signaling pathways in gastric myocytes. Endocrinology. 1999;140(1):22–8.
Ayachi SE, Borie F, Magous R, et al. Contraction induced by glicentin on smooth muscle cells from the human colon is abolished by exendin (9-39). Neurogastroenterol Motil. 2005;17(2):302–9.
Quercia I, Dutia R, Kotler DP, et al. Gastrointestinal changes after bariatric surgery. Diabetes Metab. 2014;40(2):87–94.
Ohneda A, Takahashi H, Maruyama Y. Response of plasma glicentin to fat ingestion in piglets. Diabetes Res Clin Pract. 1987;3(2):103–9.
Ohneda A, Kobayashi T, Nihei J, et al. Effect of intraluminal administration of amino acids upon plasma glicentin. Diabetes Res Clin Pract. 1988;5(4):265–70.
Shimizu T, Tadokoro R, Kaneko N, et al. Effects of extremely early enteral feeding on plasma glicentin levels in very-low-birthweight infants. J Paediatr Child Health. 2006;42(10):636–9.
Cummings DE, Overduin J, Foster-Schubert KE. Gastric bypass for obesity: mechanisms of weight loss and diabetes resolution. J Clin Endocrinol Metab. 2004;89(6):2608–15.
Rubino F, Forgione A, Cummings DE, et al. The mechanism of diabetes control after gastrointestinal bypass surgery reveals a role of the proximal small intestine in the pathophysiology of type 2 diabetes. Ann Surg. 2006;244(5):741–9.
Rhee NA, Wahlgren CD, Pedersen J, et al. Effect of Roux-en-Y gastric bypass on the distribution and hormone expression of small-intestinal enteroendocrine cells in obese patients with type 2 diabetes. Diabetologia. 2015;58(10):2254–8.
Zhang F, Strain GW, Lei W, et al. Changes in lipid profiles in morbidly obese patients after laparoscopic sleeve gastrectomy (LSG). Obes Surg. 2011;21(3):305–9.
Oliveira Cda S, Beserra BT, Cunha RS, et al. Impact of Roux-en-Y gastric bypass on lipid and inflammatory profiles. Rev Col Bras Cir. 2015;42(5):305–10.
Ohneda A, Ohneda M. Effect of glicentin-related peptides upon the secretion of insulin and glucagon in the canine pancreas. Tohoku J Exp Med. 1988;155(2):197–204.
Ohneda A, Kobayashi T, Nihei J. Effect of glicentin-related peptides on glucagon secretion in anaesthetized dogs. Diabetologia. 1986;29(6):397–401.
Yousseif A, Emmanuel J, Karra E, et al. Differential effects of laparoscopic sleeve gastrectomy and laparoscopic gastric bypass on appetite, circulating acyl-ghrelin, peptide YY3-36 and active GLP-1 levels in non-diabetic humans. Obes Surg. 2014;24(2):241–52.
Bataille D. Pro-protein convertases in intermediary metabolism: islet hormones, brain/gut hormones and integrated physiology. J Mol Med (Berl). 2007;85(7):673–84.
Bataille D, Dalle S. The forgotten members of the glucagon family. Diabetes Res Clin Pract. 2014;106(1):1–10.
Acknowledgements
Teams of the Departments of Endocrinology, Bariatric, and Visceral Surgery and of the Clinical Chemistry Laboratory (University Hospital of Nice) are acknowledged for their help in collecting samples and data. M. Kacimi (Mercodia®) is acknowledged for providing glicentin ELISA kits.
Author Contributions
All authors contributed to the design, conducted, collected, analyzed, and interpreted the data. All authors contributed to the intellectual content of this article and approved the final version.
Author information
Authors and Affiliations
Corresponding author
Ethics declarations
Conflict of Interest
The authors declare that they have no conflict of interest.
Statement of Informed Consent
Informed consent was obtained from all individual participants included in the study.
Statement of Human and Animal Rights
All procedures performed in studies involving human participants were done in accordance with the ethical standards of the institutional and/or national research committee and with the 1964 Helsinki Declaration and its later amendments or comparable ethical standards.
Funding
This study was supported by the Université Côte d’Azur and the University Hospital of Nice.
Electronic Supplementary Material
Figure S1:
Anthropometric measures before and at 3, 6 and 12 months after bariatric surgery, expressed as means ± SEM. (a) Body mass index (kg/m2), (b) Weight loss (%), (c) Fat mass (%), (d) Abdominal circumference (cm). a: p < 0.05 vs pre-operative value. b: p < 0.05 vs 3 months value. c: p < 0.05 vs 6 months value. Pre-op: pre-operative ; 3 M: 3 months after surgery ; 6 M: 6 months after surgery ; 12 M: 12 months after surgery
Figure S2: Glycemic parameters before and at 3, 6 and 12 months after bariatric surgery, expressed as means ± SEM. (a) Glycemia (mmol/L), (b) HbA1c (%), (c) Insulinemia (mU/l), (d) C-peptide (pmol/L), (E) HOMA-IR. a: p < 0.05 vs pre-operative value. Pre-op: pre-operative ; 3 M: 3 months after surgery ; 6 M: 6 months after surgery ; 12 M: 12 months after surgery
Figure S3: Lipid parameters before and at 3, 6 and 12 months after bariatric surgery, expressed as means ± SEM. (a) Triglyceride (g/L), (b) Total cholesterol (g/L), (c) LDL-cholesterol (g/L), (d) HDL-cholesterol (g/L). a: p < 0.05 vs pre-operative value. b: p < 0.05 vs 3 months value. Pre-op: pre-operative ; 3 M: 3 months after surgery ; 6 M: 6 months after surgery ; 12 M: 12 months after surgery (DOCX 238 kb)
Rights and permissions
About this article
Cite this article
Raffort, J., Panaïa-Ferrari, P., Lareyre, F. et al. Fasting Circulating Glicentin Increases After Bariatric Surgery. OBES SURG 27, 1581–1588 (2017). https://doi.org/10.1007/s11695-016-2493-5
Published:
Issue Date:
DOI: https://doi.org/10.1007/s11695-016-2493-5