Skip to main content

Investigating Nutritional Deficiencies in a Group of Patients 3 Years Post Laparoscopic Sleeve Gastrectomy

Abstract

Background

Laparoscopic sleeve gastrectomy (LSG) as a single-stage procedure has shown to be effective in achieving significant weight loss and resolving obesity-related co-morbidities. However, its nutrition consequences have not been extensively explored. This study aims to investigate weight loss and evolution of nutritional deficiencies in a group of patients 3 years post LSG.

Methods

Retrospective data of a group of patients, 3 years following LSG as a stand-alone procedure was collected. Data included anthropometry, nutritional markers (hemoglobin, iron studies, folate, calcium, iPTH, vitamins D, and B12), and compliancy with supplementations.

Results

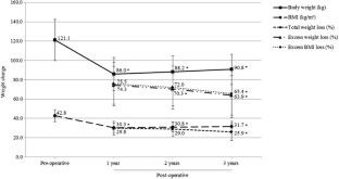
Ninety-one patients (male/female; 28:63), aged 51.9 ± 11.4 years with a BMI of 42.8 ± 6.1 kg/m2 were identified to be 3 years post LSG. Percentage of weight loss at 1 and 3 years post-operatively was 29.8 ± 7.0 and 25.9 ± 8.8 %, respectively. Pre-operatively, the abnormalities included low hemoglobin (4 %), ferritin (6 %), vitamin B12 (1 %), vitamin D (46 %), and elevated iPTH (25 %). At 3 years post-operatively, the abnormal laboratory values included low hemoglobin (14 % females, P = 0.021), ferritin (24 %, P = 0.011), vitamin D (20 %, P = 0.018), and elevated iPTH (17 %, P = 0.010). Compliancy with multivitamin supplementation was noted in 66 % of patients.

Conclusion

In these patients, LSG resulted in pronounced weight loss at 1 year post-operatively, and most of this was maintained at 3 years. Nutritional deficiencies are prevalent among patients prior to bariatric surgery. These deficiencies may persist or exacerbate post-operatively. Routine nutrition monitoring and supplementations are essential to prevent and treat these deficiencies.

This is a preview of subscription content, access via your institution.

Fig. 1

References

  1. Ng M, Fleming T, Robinson M, Thomson B, Graetz N, Margono C, et al. Global, regional, and national prevalence of overweight and obesity in children and adults during 1980–2013: a systematic analysis for the global burden of disease study 2013. Lancet (London, England). 2014;384(9945):766–81. doi:10.1016/s0140-6736(14)60460-8.

    Article  Google Scholar 

  2. Guh DP, Zhang W, Bansback N, Amarsi Z, Birmingham CL, Anis AH. The incidence of co-morbidities related to obesity and overweight: a systematic review and meta-analysis. BMC Public Health. 2009;9:88. doi:10.1186/1471-2458-9-88.

    Article  PubMed  PubMed Central  Google Scholar 

  3. Chang SH, Stoll CR, Song J, Varela JE, Eagon CJ, Colditz GA. The effectiveness and risks of bariatric surgery: an updated systematic review and meta-analysis, 2003–2012. JAMA Surg. 2014;149(3):275–87. doi:10.1001/jamasurg.2013.3654.

    Article  PubMed  PubMed Central  Google Scholar 

  4. Updated position statement on sleeve gastrectomy as a bariatric procedure. Surg Obes Relat Dis. 2012;8(3):e21-6. Epub 2012/03/16. doi: 10.1016/j.soard.2012.02.001.

  5. Brethauer SA, Hammel JP, Schauer PR. Systematic review of sleeve gastrectomy as staging and primary bariatric procedure. Surg Obes Relat Dis. 2009;5(4):469–75. doi:10.1016/j.soard.2009.05.011.

    Article  PubMed  Google Scholar 

  6. Al Khalifa K, Al Ansari A, Alsayed AR, Violato C. The impact of sleeve gastrectomy on hyperlipidemia: a systematic review. J Obes. 2013. doi:10.1155/2013/643530.

    PubMed  PubMed Central  Google Scholar 

  7. Gill RS, Birch DW, Shi X, Sharma AM, Karmali S. Sleeve gastrectomy and type 2 diabetes mellitus: a systematic review. Surg Obes Relat Dis. 2010;6(6):707–13. doi:10.1016/j.soard.2010.07.011.

    Article  PubMed  Google Scholar 

  8. Obeidat F, Shanti H. Early weight loss as a predictor of 2-year weight loss and resolution of comorbidities after sleeve gastrectomy. Obes Surg. 2015. doi:10.1007/s11695-015-1903-4.

    PubMed  Google Scholar 

  9. Mans E, Serra-Prat M, Palomera E, Sunol X, Clave P. Sleeve gastrectomy effects on hunger, satiation, and gastrointestinal hormone and motility responses after a liquid meal test. Am J Clin Nutr. 2015. doi:10.3945/ajcn.114.104307.

    PubMed  Google Scholar 

  10. Kaidar-Person O, Person B, Szomstein S, Rosenthal RJ. Nutritional deficiencies in morbidly obese patients: a new form of malnutrition? Part B: minerals Obes Surg. 2008;18(8):1028–34. doi:10.1007/s11695-007-9350-5.

    PubMed  Google Scholar 

  11. Kaidar-Person O, Person B, Szomstein S, Rosenthal RJ. Nutritional deficiencies in morbidly obese patients: a new form of malnutrition? Part A: vitamins Obes Surg. 2008;18(7):870–6. doi:10.1007/s11695-007-9349-y.

    Google Scholar 

  12. Damms-Machado A, Friedrich A, Kramer KM, Stingel K, Meile T, Kuper MA, et al. Pre- and postoperative nutritional deficiencies in obese patients undergoing laparoscopic sleeve gastrectomy. Obes Surg. 2012;22(6):881–9. doi:10.1007/s11695-012-0609-0.

    Article  PubMed  Google Scholar 

  13. van Rutte PW, Aarts EO, Smulders JF, Nienhuijs SW. Nutrient deficiencies before and after sleeve gastrectomy. Obes Surg. 2014;24(10):1639–46. doi:10.1007/s11695-014-1225-y.

    Article  PubMed  Google Scholar 

  14. Aarts EO, Janssen IM, Berends FJ. The gastric sleeve: losing weight as fast as micronutrients? Obes Surg. 2011;21(2):207–11. doi:10.1007/s11695-010-0316-7.

    Article  PubMed  Google Scholar 

  15. Belfiore A, Cataldi M, Minichini L, Aiello ML, Trio R, Rossetti G, et al. Short-term changes in body composition and response to micronutrient supplementation after laparoscopic sleeve gastrectomy. Obes Surg. 2015;25(12):2344–51. doi:10.1007/s11695-015-1700-0.

    CAS  Article  PubMed  Google Scholar 

  16. Coupaye M, Riviere P, Breuil MC, Castel B, Bogard C, Dupre T, et al. Comparison of nutritional status during the first year after sleeve gastrectomy and roux-en-Y gastric bypass. Obes Surg. 2014;24(2):276–83. doi:10.1007/s11695-013-1089-6.

    Article  PubMed  Google Scholar 

  17. Pech N, Meyer F, Lippert H, Manger T, Stroh C. Complications and nutrient deficiencies two years after sleeve gastrectomy. BMC Surg. 2012;12:13. doi:10.1186/1471-2482-12-13.

    Article  PubMed  PubMed Central  Google Scholar 

  18. Ruiz-Tovar J, Oller I, Priego P, Arroyo A, Calero A, Diez M, et al. Short- and mid-term changes in bone mineral density after laparoscopic sleeve gastrectomy. Obes Surg. 2013;23(7):861–6. doi:10.1007/s11695-013-0866-6.

    Article  PubMed  Google Scholar 

  19. Ruiz-Tovar J, Oller I, Tomas A, Llavero C, Arroyo A, Calero A, et al. Mid-term effects of sleeve gastrectomy on calcium metabolism parameters, vitamin D and parathormone (PTH) in morbid obese women. Obes Surg. 2012;22(5):797–801. doi:10.1007/s11695-011-0582-z.

    Article  PubMed  Google Scholar 

  20. Moize V, Andreu A, Flores L, Torres F, Ibarzabal A, Delgado S, et al. Long-term dietary intake and nutritional deficiencies following sleeve gastrectomy or Roux-En-Y gastric bypass in a mediterranean population. J Acad Nutr Diet. 2013;113(3):400–10. doi:10.1016/j.jand.2012.11.013.

    Article  PubMed  Google Scholar 

  21. Saif T, Strain GW, Dakin G, Gagner M, Costa R, Pomp A. Evaluation of nutrient status after laparoscopic sleeve gastrectomy 1, 3, and 5 years after surgery. Surg Obes Relat Dis. 2012;8(5):542–7. doi:10.1016/j.soard.2012.01.013.

    Article  PubMed  Google Scholar 

  22. Gehrer S, Kern B, Peters T, Christoffel-Courtin C, Peterli R. Fewer nutrient deficiencies after laparoscopic sleeve gastrectomy (LSG) than after laparoscopic Roux-Y-gastric bypass (LRYGB)-a prospective study. Obes Surg. 2010;20(4):447–53. doi:10.1007/s11695-009-0068-4.

    Article  PubMed  Google Scholar 

  23. Bacci V, Silecchia G. Vitamin D status and supplementation in morbid obesity before and after bariatric surgery. Expert Rev Gastroenterol Hepatol. 2010;4(6):781–94. doi:10.1586/egh.10.69.

    CAS  Article  PubMed  Google Scholar 

  24. Hamoui N, Anthone G, Crookes PF. Calcium metabolism in the morbidly obese. Obes Surg. 2004;14(1):9–12. doi:10.1381/096089204772787211.

    Article  PubMed  Google Scholar 

  25. Whitfield JF. Parathyroid hormone and leptin—new peptides, expanding clinical prospects. Expert Opin Investig Drugs. 2005;14(3):251–64. doi:10.1517/13543784.14.3.251.

    CAS  Article  PubMed  Google Scholar 

  26. Wolf E, Utech M, Stehle P, Busing M, Stoffel-Wagner B, Ellinger S. Preoperative micronutrient status in morbidly obese patients before undergoing bariatric surgery: results of a cross-sectional study. Surg Obes Relat Dis. 2015. doi:10.1016/j.soard.2015.03.018.

    PubMed  Google Scholar 

  27. Toh SY, Zarshenas N, Jorgensen J. Prevalence of nutrient deficiencies in bariatric patients. Nutrition. 2009;25(11–12):1150–6. doi:10.1016/j.nut.2009.03.012.

    CAS  Article  PubMed  Google Scholar 

  28. Saneei P, Salehi-Abargouei A, Esmaillzadeh A. Serum 25-hydroxy vitamin D levels in relation to body mass index: a systematic review and meta-analysis. Obes Rev. 2013;14(5):393–404. doi:10.1111/obr.12016.

    CAS  Article  PubMed  Google Scholar 

  29. Majumder S, Soriano J, Louie Cruz A, Dasanu CA. Vitamin B12 deficiency in patients undergoing bariatric surgery: preventive strategies and key recommendations. Surg Obes Relat Dis. 2013;9(6):1013–9. doi:10.1016/j.soard.2013.04.017.

    Article  PubMed  Google Scholar 

  30. Capoccia D, Coccia F, Paradiso F, Abbatini F, Casella G, Basso N, et al. Laparoscopic gastric sleeve and micronutrients supplementation: our experience. J Obes. 2012. doi:10.1155/2012/672162.

    PubMed  PubMed Central  Google Scholar 

Download references

Author information

Affiliations

Authors

Corresponding author

Correspondence to Nazy Zarshenas.

Ethics declarations

Conflict of Interest

The authors declare that they have no conflict of interest.

Ethical Approval

Due to the retrospective nature of our study, formal consent is not required. The study was approved by the University of Wollongong/Illawarra Shoalhaven Local Health District Human Research Ethics Committee.

Informed Consent

Informed consent does not apply in the study. The data collected was retrospective and de-identified, and hence, the informed consent was waived.

Rights and permissions

Reprints and Permissions

About this article

Verify currency and authenticity via CrossMark

Cite this article

Zarshenas, N., Nacher, M., Loi, K.W. et al. Investigating Nutritional Deficiencies in a Group of Patients 3 Years Post Laparoscopic Sleeve Gastrectomy. OBES SURG 26, 2936–2943 (2016). https://doi.org/10.1007/s11695-016-2211-3

Download citation

  • Published:

  • Issue Date:

  • DOI: https://doi.org/10.1007/s11695-016-2211-3

Keywords

  • Laparoscopic sleeve gastrectomy
  • Weight loss
  • Nutritional deficiencies
  • Multivitamin supplementation
  • Vitamin D
  • Parathyroid hormone