Abstract
Background
A meta-analysis regarding bone loss after bariatric surgery, designed to compare surgical and nonsurgical groups, has not yet been performed. Therefore, we performed a meta-analysis to compare the differences between bariatric surgical groups and nonoperated controls with regard to bone mineral density.
Methods
In March 2015, we performed a review of the literature using PubMed, EMBASE, and the Cochrane Library. The search focused on retrospective and prospective studies, including but not limited to randomized studies published in English.
Results
Among 1299 studies that were initially screened, ten met the selection criteria. For all types of bariatric surgery, bone density at the femoral neck was lower in the surgical group than in the nonsurgical control group (mean difference [MD] −0.05 g/cm2; 95 % confidence interval [CI], −0.07 to −0.02; p = 0.001); no difference in bone density was found between the two groups at the lumbar spine (MD −0.01 g/cm2; 95 % CI −0.07 to 0.05; p = 0.661). The analysis of Roux-en-Y gastric bypass showed similar results.
Conclusion
Bone density at the femoral neck decreased after bariatric surgery, compared to that in nonsurgical controls, whereas bone density at the lumbar spine did not show a difference between groups. Further larger scale studies with comparative nonsurgical controls are warranted to overcome the heterogeneity among studies in this analysis and to add evidence of possible bone loss subsequent to bariatric surgical procedures.





References
Angrisani L, Santonicola A, Iovino P, et al. Bariatric Surgery Worldwide 2013. Obes Surg. 2015;25(11):2166–8.
Buchwald H, Avidor Y, Braunwald E, et al. Bariatric surgery: a systematic review and meta-analysis. JAMA. 2004;292(14):1724–37.
Buchwald H, Estok R, Fahrbach K, et al. Weight and type 2 diabetes after bariatric surgery: systematic review and meta-analysis. Am J Med. 2009;122(3):248–56. e5.
Goldner WS, O’Dorisio TM, Dillon JS, et al. Severe metabolic bone disease as a long-term complication of obesity surgery. Obes Surg. 2002;12(5):685–92.
Carrasco F, Ruz M, Rojas P, et al. Changes in bone mineral density, body composition and adiponectin levels in morbidly obese patients after bariatric surgery. Obes Surg. 2009;19(1):41–6.
Shaker JL, Norton AJ, Woods MF, et al. Secondary hyperparathyroidism and osteopenia in women following gastric exclusion surgery for obesity. Osteoporos Int. 1991;1(3):177–81.
Ricci TA, Heymsfield SB, Pierson Jr RN, et al. Moderate energy restriction increases bone resorption in obese postmenopausal women. Am J Clin Nutr. 2001;73(2):347–52.
Parfitt AM, Podenphant J, Villanueva AR, et al. Metabolic bone disease with and without osteomalacia after intestinal bypass surgery: a bone histomorphometric study. Bone. 1985;6(4):211–20.
Ammann P, Rizzoli R. Bone strength and its determinants. Osteoporos Int. 2003;14 Suppl 3:S13–8.
Lewiecki EM. Bone densitometry and vertebral fracture assessment. Curr Osteoporos Rep. 2010;8(3):123–30.
Bolotin HH. DXA in vivo BMD methodology: an erroneous and misleading research and clinical gauge of bone mineral status, bone fragility, and bone remodelling. Bone. 2007;41(1):138–54.
Scibora LM, Ikramuddin S, Buchwald H, et al. Examining the link between bariatric surgery, bone loss, and osteoporosis: a review of bone density studies. Obes Surg. 2012;22(4):654–67.
Viegas M, Vasconcelos RS, Neves AP, et al. Bariatric surgery and bone metabolism: a systematic review. Arq Bras Endocrinol Metabol. 2010;54(2):158–63.
Rodriguez-Carmona Y, Lopez-Alavez FJ, Gonzalez-Garay AG, et al. Bone mineral density after bariatric surgery. A systematic review. Int J Surg. 2014;12(9):976–82.
Liu C, Wu D, Zhang JF, et al. Changes in bone metabolism in morbidly obese patients after bariatric surgery: a meta-analysis. Obes Surg. 2015.
Stein EM, Carrelli A, Young P, et al. Bariatric surgery results in cortical bone loss. J Clin Endocrinol Metab. 2013;98(2):541–9.
Fleischer J, Stein EM, Bessler M, et al. The decline in hip bone density after gastric bypass surgery is associated with extent of weight loss. J Clin Endocrinol Metab. 2008;93(10):3735–40.
Yu EW, Bouxsein ML, Roy AE, et al. Bone loss after bariatric surgery: discordant results between DXA and QCT bone density. J Bone Miner Res. 2014;29(3):542–50.
Abegg K, Gehring N, Wagner CA, et al. Roux-en-Y gastric bypass surgery reduces bone mineral density and induces metabolic acidosis in rats. Am J Physiol Regul Integr Comp Physiol. 2013;305(9):R999–R1009.
Yu EW, Bouxsein ML, Putman MS, et al. Two-year changes in bone density after Roux-en-Y gastric bypass surgery. J Clin Endocrinol Metab. 2015;100(4):1452–9. doi:10.1210/jc.2014-4341.
Slater GH, Ren CJ, Siegel N, et al. Serum fat-soluble vitamin deficiency and abnormal calcium metabolism after malabsorptive bariatric surgery. J Gastrointest Surg. 2004;8(1):48–55. discussion 4-5.
Stemmer K, Bielohuby M, Grayson BE, et al. Roux-en-Y gastric bypass surgery but not vertical sleeve gastrectomy decreases bone mass in male rats. Endocrinology. 2013;154(6):2015–24.
Cornish J, Callon KE, Bava U, et al. Leptin directly regulates bone cell function in vitro and reduces bone fragility in vivo. J Endocrinol. 2002;175(2):405–15.
Holloway WR, Collier FM, Aitken CJ, et al. Leptin inhibits osteoclast generation. J Bone Miner Res. 2002;17(2):200–9.
Terra X, Auguet T, Guiu-Jurado E, et al. Long-term changes in leptin, chemerin and ghrelin levels following different bariatric surgery procedures: Roux-en-Y gastric bypass and sleeve gastrectomy. Obes Surg. 2013;23(11):1790–8.
Biver E, Salliot C, Combescure C, et al. Influence of adipokines and ghrelin on bone mineral density and fracture risk: a systematic review and meta-analysis. J Clin Endocrinol Metab. 2011;96(9):2703–13.
Olbers T, Bjorkman S, Lindroos A, et al. Body composition, dietary intake, and energy expenditure after laparoscopic Roux-en-Y gastric bypass and laparoscopic vertical banded gastroplasty: a randomized clinical trial. Ann Surg. 2006;244(5):715–22.
Chaston TB, Dixon JB, O’Brien PE. Changes in fat-free mass during significant weight loss: a systematic review. Int J Obes. 2007;31(5):743–50.
Ott MT, Fanti P, Malluche HH, et al. Biochemical evidence of metabolic bone disease in women following Roux-Y gastric bypass for morbid obesity. Obes Surg. 1992;2(4):341–8.
Guney E, Kisakol G, Ozgen G, et al. Effect of weight loss on bone metabolism: comparison of vertical banded gastroplasty and medical intervention. Obes Surg. 2003;13(3):383–8.
Goode LR, Brolin RE, Chowdhury HA, et al. Bone and gastric bypass surgery: effects of dietary calcium and vitamin D. Obes Res. 2004;12(1):40–7.
Von Mach MA, Stoeckli R, Bilz S, et al. Changes in bone mineral content after surgical treatment of morbid obesity. Metabolism. 2004;53(7):918–21.
Pereira FA, de Castro JA, dos Santos JE, et al. Impact of marked weight loss induced by bariatric surgery on bone mineral density and remodeling. Braz J Med Biol Res. 2007;40(4):509–17.
Valderas JP, Velasco S, Solari S, et al. Increase of bone resorption and the parathyroid hormone in postmenopausal women in the long-term after roux-en-y gastric bypass. Obes Surg. 2009;19(8):1132–8.
de Vasconcelos RS, Viegas M, Marques TF, et al. Factors associated with secondary hyperparathyroidism in premenopausal women undergoing Roux-en-y gastric bypass for the treatment of obesity. Arq Bras Endocrinol Metabol. 2010;54(2):233–8.
Hintze LJ, Cremon AS, Bevilaqua CA, et al. Factors associated with bone mineral density in women who underwent bariatric surgery. Acta Sci Health Sci. 2014;36(1):105–12.
Costa TL, Paganotto M, Radominski RB, et al. Calcium metabolism, vitamin D and bone mineral density after bariatric surgery. Osteoporosis Int. 2015;26(2):757–64.
Acknowledgments
We would like to acknowledge Dr. Yu and Dr. Keller for providing further data for their studies.
Conflict of Interest
The authors declare that they have no conflict of interest.
Author information
Authors and Affiliations
Corresponding author
Ethics declarations
For this type of study, formal consent is not required.
Additional information
Byung-Joon Ko and Seung Kwon Myung contributed equally to this work.
Electronic supplementary material
Below is the link to the electronic supplementary material.
Supplementary Fig 1
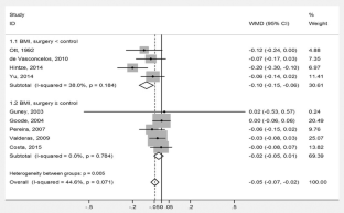
Mean difference in BMI between all types of surgery and controls (n=9, random effects model). (TIFF 555 kb)
Supplementary Fig 2
Mean difference in BMI between patients who underwent Roux-en-Y gastric bypass and controls (n=6, random effects model). (TIFF 513 kb)
Supplementary Fig 3
Mean difference in femoral neck BMD between patients who underwent Roux-en-Y gastric bypass and controls by time point after surgery (n=6, fixed effects model). (TIFF 649 kb)
Supplementary Fig 4
Mean difference in lumbar BMD between patients who underwent Roux-en-Y gastric bypass and controls by time point after surgery (n=7, fixed effects model). (TIFF 688 kb)
Rights and permissions
About this article
Cite this article
Ko, BJ., Myung, S.K., Cho, KH. et al. Relationship Between Bariatric Surgery and Bone Mineral Density: a Meta-analysis. OBES SURG 26, 1414–1421 (2016). https://doi.org/10.1007/s11695-015-1928-8
Published:
Issue Date:
DOI: https://doi.org/10.1007/s11695-015-1928-8