Abstract
Background
Roux-en-Y gastric bypass (RYGBP) has become a common surgical procedure to treat morbid obesity. Furthermore, it strongly reduces the incidence of type 2 diabetes and mortality. However, there is scant information on how magnesium status is affected by RYGBP surgery. Previous bariatric surgery methods, like jejunoileal bypass, are associated with hypomagnesemia.
Methods
Twenty-one non-diabetic morbidly obese patients who underwent RYGBP were evaluated before and 1 year after surgery and compared to a matched morbidly obese control group regarding serum magnesium. Groups were matched regarding weight, BMI, abdominal sagittal diameter and fasting glucose, blood pressure, and serum magnesium concentrations before surgery in the RYGBP group.
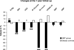
Results
The serum magnesium concentrations increased by 6% from 0.80 to 0.85 mmol/l (p = 0.019) in the RYGBP group while a decrease by 4% (p = 0.132) was observed in the control group. The increase in magnesium concentration at the 1-year follow-up in the RYGBP group was accompanied by a decreased abdominal sagittal diameter (r 2 = 0.32, p = 0.009), a lowered BMI (r 2 = 0.28, p = 0.0214), a lowered glucose concentration (r 2 = 0.28, p = 0.027) but not by a lowered insulin concentration (p = 0.242), a lowered systolic (p = 0.789) or a lowered diastolic (p = 0.785) blood pressure.
Conclusion
RYGBP surgery in morbidly obese subjects is characterized by reduced visceral adiposity, lowered plasma glucose, and increased circulating magnesium concentrations. The inverse association between lowered central obesity, lowered plasma glucose and increased magnesium concentrations, needs further detailed studies to identify underlying mechanisms.


References
World Health Organization. Obesity and overweight: fact sheet no 3011. Geneva; 2006.
Sjostrom L, Lindroos AK, Peltonen M, et al. Lifestyle, diabetes, and cardiovascular risk factors 10 years after bariatric surgery. N Engl J Med. 2004;351:2683–93.
Sjostrom L, Narbro K, Sjostrom CD, et al. Effects of bariatric surgery on mortality in Swedish obese subjects. N Engl J Med. 2007;357(8):741–52.
Adams TD, Gress RE, Smith SC, et al. Long-term mortality after gastric bypass surgery. N Engl J Med. 2007;357(8):753–61.
Sharma A, Dabla S, Aqrawal RP, et al. Serum magnesium: an early predictor of course and complications of diabetes mellitus. J Indian Med Assoc. 2007;105(1):16, 18, 20.
Guerrero-Romero F, Rodriguez-Moran M. Low serum magnesium levels and metabolic syndrome. Acta Diabetol. 2002;39:209–13.
Haglin L, Tornkvist B, Backman L. Prediction of all-cause mortality in a patient population with hypertension and type 2 DM by using traditional risk factors and serum-phosphate, -calcium and -magnesium. Acta Diabetol. 2007;44(3):138–43.
Jorgensen S, Olesen M, Gudman-Hoyer E. A review of 20 years of jejunoileal bypass. Scand J Gastroenterol. 1997;32(4):334–9.
Bloomberg RD, Fleisman A, Nalle JE, et al. Nutritional deficiencies following bariatric surgery: what have we learned? Review article. Obes Surg. 2005;15:145–54.
Correa FH, Nogueira VG, Bevilacqua, et al. Insulin resistance and secretion assessment across a range of glucose tolerance from normal individuals through diabetes. Arg Bras Endocrinol Metabol. 2007;51(9):1498–505.
Sundbom M, Gustavsson S. Bariatric surgery. Clin Dermatol. 2004;22:325–31.
Van Gaal L, Delvigne C, Vandewoude M, et al. Evaluation of magnesium before and after jejuno-ileal versus gastric bypass surgery for morbid obesity. J Am Coll Nutr. 1987;5:397–400.
Diniz Mde F, Diniz MT, Sanches SR, et al. Elevated serum parathormone after Roux-en-Y gastric bypass. Obes Surg. 2004;14(9):1222–6.
Goode LR, Brolin RE, Chowdhury HA, et al. Bone and gastric bypass surgery: effects of dietary calcium and vitamin D. Obesity Res. 2004;12(1):40–7.
Yajnik CS, Smith RF, Hockaday TD, et al. Fasting plasma magnesium concentrations and glucose disposal in diabetes. Br Med J (Clin Res Ed). 1984;288(6423):1032–4.
Rosolová H, Mayer O Jr, Reaven GM. Insulin-mediated glucose disposal is decreased in normal subjects with relatively low plasma magnesium concentrations. Metabolism. 2000;49(3):418–20.
Lima Mde L, Pousada J, Barbosa C, et al. Magnesium deficiency and insulin resistance in patients with type 2 diabetes mellitus. Arg Bras Endocrinol Metabol. 2005;49(6):959–63.
Huerta MG, Roemmich JN, Kington ML, et al. Magnesium deficiency is associated with insulin resistance in obese children. Diabetes Care. 2005;28(5):1175–81.
Djurhuus MS, Henriksen JE, Klitgaard NA, et al. Effect of moderate improvement in metabolic control on magnesium and lipid concentrations in patients with type 1 diabetes. Diabetes Care. 1999;22(4):546–54.
Schnack C, Bauer I, Preqant P, et al. Hypomagnesaemia in type 2 (non-insulin-dependent) diabetes mellitus is not corrected by improvement of long-term metabolic control. Diabetologia. 1992;35(1):77–9.
Paolisso G, Sgambato S, Gambardella A, et al. Daily magnesium supplements improve glucose handling in elderly subjects. Am J Clin Nutr. 1992;55(6):1161–7.
de Valk H, Verkaaik R, van Rijn H, et al. Oral magnesium supplementation in insulin-requiring type 2 diabetic patients. Diabet Med. 1998;15:1161–7.
Eibl N, Kopp H, Nowak H, et al. Hypomagnesemia in type II diabetes: effect of a 3 month replacement therapy. Diabetes Care. 1995;18:188–92.
Widman L, Wester PO, Stegmayer BK, et al. The dose-dependent reduction in blood pressure through administration of magnesium. A double blind placebo controlled cross-over study. Am J Hypertens. 1993;6(1):41–5.
Acknowledgements
Funding was by research grants from The Family Ernfors Fund for Diabetes Research, the Swedish Diabetes Association, the Erik, Karin and Gösta Selander fund, Uppsala University, and The Thuring family foundation.
Author information
Authors and Affiliations
Corresponding author
Rights and permissions
About this article
Cite this article
Johansson, HE., Zethelius, B., Öhrvall, M. et al. Serum Magnesium Status After Gastric Bypass Surgery in Obesity. OBES SURG 19, 1250–1255 (2009). https://doi.org/10.1007/s11695-008-9536-5
Received:
Accepted:
Published:
Issue Date:
DOI: https://doi.org/10.1007/s11695-008-9536-5