Abstract
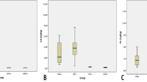
An analytical method for sample preparation and subsequent determination of Cd, Pb and Se in beef using aerosol dilution by inductively coupled plasma-mass spectrometry was developed. The use of high matrix introduction technology allowed the introduction of a complex sample into the plasma with higher content of total dissolved solids a residual acidity of 4% and better tolerance to matrix effects. Trueness was verified by the analysis of two reference materials. At the 95% significance level, results were statistically equivalent to the certified or informed values. Analytical precision expressed as relative standard deviation was less than 9% in all cases. After validation, a total of 12 beef samples from Uruguay were analyzed. Obtained levels for Cd and Pb were far below the maximum limits established by international regulations in all samples. Also, results showed that beef from this region is a good source of Se in the range 0.120–0.870 mg kg−1 with an interesting contribution to the daily intake of this essential element.
Similar content being viewed by others
Explore related subjects
Discover the latest articles and news from researchers in related subjects, suggested using machine learning.References
F. Iaquinta, F. Tissot, L. Lopes Fialho, J.A. Nóbrega, M. Pistón, I. Machado, Food Anal. Methods (2020). https://doi.org/10.1007/s12161-020-01861-w
T. Aranha, A. Oliveira, H.M. Queiroz, S. Cadore, Food Control 59, 447–453 (2016)
X.X.I. Uruguay (2009) Informe Anual de Comercio Exterior. https://www.uruguayxxi.gub.uy/. Accessed April 2021
Instituto Nacional de Carnes (INAC, 2018). Reporte mercado doméstico. https://www.inac.uy/innovaportal/file/17653/1/informe-consumo-mercado-domestico-2018.pdf. Accessed April 2021
S.D. Traverso, A.P. Loretti, M.A. Donini, D. Driemeier, Bras. Med. Vet. Zootec. 56(3), 418–421 (2004)
Agency for Toxic Substances & Disease Register (ATSDR, 2011), https://www.atsdr.cdc.gov/spl/index.html. Accessed on 16 Mar, Dec 2020
P. Rovira, Residuos en carne, una visión desde el sector agropecuario (2007), https://www.planagropecuario.org.uy/publicaciones/revista/R127/R_127_38.pdf. Accessed on Dec 2020
Codex Alimentarius Commission. JOINT FAO/WHO FOOD STANDARDS PROGRAMME CODEX (2011), http://www.fao.org/tempref/codex/Meetings/CCCF/CCCF5/cf05_INF.pdf. Accessed on 18 Jan 2021
C. Preda, I. Vasiliu, O. Bredetean, C. Delia Gabriela, M.C. Ungureanu, E.L. Leustean, A. Grigorovici, C. Oprisa, C. Vulpoi, Environ. Eng. Manag. J. 15(4), 913–921 (2015)
G.A. Bavera, Suplementación Mineral y Con Nitrógeno No Proteico Del Bovino a Pastoreo, 3rd edn. (El Autor, Rio Cuarto, 2006), pp. 1–280
L. Yonghua, W. Wuyi, L. Kunli, L. Hairong, J. Environ. Sci. 20, 859–864 (2007)
C. Alfaia, A. Lopes, J. Prates, Diet Quality (Humana Press, New York, 2013), pp. 257–284
A.M. Nunes, R. Arromba de Souza, C. Santos da Silva, R.R. Alves Peixoto, M.A. Vieira, A.S. Ribeiro, S. Cadore, J. Food Compos. Anal. 32, 1–5 (2013)
Centers for Disease Control and Prevention (CDC, 2020), https://www.cdc.gov/foodsafety/production-chain.html. Accessed on Dec 2020
J.M. de Higuera, A.B. Santos da Silva, A. Fernandes de Oliveira, A.R. de Araujo Nogueira, Food Chem. 303, 125395 (2020)
F. Costa Pinheiro, D.V. Babos, A.I. Barros, E. Rodrigues Pereira-Filho, J.A. Nóbrega, Pharm. Biomed. Anal. 174, 471–478 (2019)
AOAC International, Official Methods of Analysis, 21st edn. (Association of Analytical Communities, Gaithersburg, 2019)
Eurachem Guide, The Fitness for Purpose of Analytical Methods – A Laboratory Guide to Method Validation and Related Topics (2014) www.eurachem.org. Accessed on Dec 2020
J.N. Miller, J.C. Miller, Statistics and Chemometrics for Analytical Chemistry, 6th edn. (Prentice Hall, Harlow, 2010)
N. Gerber, R. Brogioli, B. Hattendorf, M.R.L. Scheeder, C. Wenk, D. Günther, Animal 3(1), 166–172 (2009)
W. Horwitz, R.J. Albert, Assoc. Off. Anal. Chem. 89, 1095–1109 (2006)
D.G. Kim, M.K. Kim, J. Young Shin, S.W. Son, Food Addit. Contam. B 9(1), 33–37 (2016)
G. Forte, B. Bocca, Food Chem. 105, 1591–1598 (2007)
D.A. Almashhadany, S.K. Hawraz, S.A. Hoshyar, Ital. J. Food Saf. 9(8753), 161–166 (2020)
N. Rodríguez-Marín, A. Hardisson, Á.J. Gutiérrez, G.L. González, D. González-Weller, C. Rubio, S. Paz, Environ. Sci. Pollut. Res. Int. 26(28), 28787–28795 (2019)
T. Zeinali, F. Salmani, K. Naseri, Biol. Trace Elem. Res. 191, 338–347 (2019)
Mercosur. MERCOSUR/GMC/RES. N° 12/11 REGLAMENTO … Decreto. (2011), https://www.impo.com.uy/bases/decretos-internacional/14-2013/1. Accessed on 18 Jan 2021
C.O. Schild, F. Giannitti, R.M.T. Medeiros, C. Da Silva Silveira, R.D. Caffarena, R.H. Poppenga, F. Riet-Correal, J. Vet. Diagn. Invest. 31(2), 307–310 (2019)
J.D. Barbosa, H.A. Bomjardim, K.F. Campos, M.D. Duarte, P.S. Bezerra Jr., A. Gava, F.M. Salvarani, C.M.C. Oliveira, Pesqui. Vet. Bras. 34(11), 1077–1080 (2014)
D.M. Chirinos-Peinado, J.I. Castro-Bedrinana, Heliyon 6, 1–5 (2020)
N. Suttle, Mineral Nutrition of Livestock, 4th edn. (CABI, Oxfordshire, 2010)
K. Pavšič Vrtač, B. Jakovac Strajn, J. Salobir, K. Srimpf, G. Tavcar Kalcher, Slov. Vet. Res. 53(1), 49–57 (2016)
Y. Li, D.F. McCrory, J.M. Powell, H. Saam, D. Jackson-Smith, J. Dairy Sci. 88(8), 2911–2922 (2005)
M. Cabrera, A. Ramos, A. Saadoun, G. Brito, Meat Sci 84(3), 518–528 (2010)
A. Saadoun, M.C. Cabrera, Arch. Latinoam. Prod. Anim. 21(2), 119–130 (2012)
M. Pistón, J. Silva, A. Suarez, M. Belluzzi, F. Iaquinta, L. Panizzolo, C. Méndez, M. Cerminara, INNOTEC 19, 3–51 (2019)
M. Dos Santos, F.M. Rodrigues da Silva Jr., A.L. Muccillo-Baisch, J. Food Compos. Anal. 58, 10–15 (2017)
M.C. Cabrera, A. Saadoun, Meat Sci. 98, 435–444 (2014)
F. Fordyce, Essentials of Medical Geology: Impacts of the Natural Environment on Public Health (Elsevier Academic Press, Burlington, 2005), pp. 373–415
Food and Agriculture Organization of the United Nations/World Health Organization (FAO/WHO, 2001) http://www.fao.org/3/a-y2809e.pdf. Accessed on Dec 2020
National Institutes of Health (NIH, 2011). https://www.ncbi.nlm.nih.gov/books/NBK56068/table/summarytables.t8/?report=objectonly. Accessed on Dec 2020
O. Pittaluga, Boletín de Divulgación INIA 96, 25–36 (2009)
Ramos, M.C. Cabrera, A. Saadoun, Meat Sci. 91, 116–124 (2012)
Acknowledgements
Comisión Sectorial de Investigación Científica (CSIC VUSP 1608), Agencia Nacional de Investigación e Innovación (ANII), Instituto Nacional de Carnes (INAC), PEDECIBA-Química, Comisión Académica de Posgrado (CAP).
Author information
Authors and Affiliations
Corresponding authors
Ethics declarations
Conflict of interest
The authors declare that there is no conflict of interest regarding the publication of this article.
Additional information
Publisher’s Note
Springer Nature remains neutral with regard to jurisdictional claims in published maps and institutional affiliations.
Rights and permissions
About this article
Cite this article
Iaquinta, F., Lopes Fialho, L., Nóbrega, J.A. et al. Determination of Cd, Pb and Se in beef samples using aerosol dilution by ICP-MS. Food Measure 15, 4105–4111 (2021). https://doi.org/10.1007/s11694-021-00999-3
Received:
Accepted:
Published:
Issue Date:
DOI: https://doi.org/10.1007/s11694-021-00999-3


