Abstract
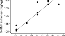
The quality and biochemical properties of honey are affected by heating or during storage period. The most important biochemical reaction that occurs in this process is the Maillard reaction. HMF (5-hydroxymethylfurfural) is one of the major intermediate products in the Maillard reaction that can lead to quality reduction in heated honey. In this study, the effect of heating on the antioxidant activity, and colour values as Maillard reaction indicators of three different botanical honeys were investigated; the HMF formation was also determined. Temperatures of 50, 70 and 80 °C were applied on the honeys between 0 and 48 h. Total phenolic content, ferric reducing/antioxidant power and scavenging of 2,2-diphenyl-1-picrylhydrazyl free radical assays are used to determine the antioxidant capacity. Results showed that the formation of HMF and the antioxidant properties of honeys were significantly increased during the heating process. Pure HMF compound also showed lower antioxidant activity. The formation of HMF has higher degree of linearity in the fit of the zero order reaction and also it was the highest in the chestnut honey. Furthermore, it was found that as the biochemical value of the honeys increased, the HMF formation decelerated.
Similar content being viewed by others
Abbreviations
- MRP:
-
Maillard reaction product
- HMF:
-
5-hydroxymethylfurfural
- TPC:
-
Total phenolic content
- FRAP:
-
Ferric reducing/antioxidant power
- Trolox®:
-
6-hydroxy-2,5,7,8-tetramethylchroman-2-carboxylic acid
- TPTZ:
-
2,4,6-tripyridyl-s-triazine
- DPPH 2:
-
2-diphenyl-1-picrylhydrazyl
- GAE:
-
Gallic acid equivalent
- RP-HPLC:
-
Reverse phase high performance liquid chromatography
- Ea:
-
Activation energy
- KT :
-
Reaction rate constant
- KR :
-
Pre-exponential factor
References
S. Soares, J.S. Amaral, M.B.P. Oliveira, I. Mafra, Compr. Rev. Food Sci. Food Saf. 16(5), 1072–1100 (2017)
K. Pyrzynska, M. Biesaga, TrAC Trends Anal. Chem. 28(7), 893–902 (2009)
M. Kucuk, S. Kolayli, Ş Karaoglu, E. Ulusoy, C. Baltaci, F. Candan, Food Chem. 100, 526–534 (2007)
J.M. Alvarez-Suarez, M. Gasparrini, T.Y. Forbes-Hernández, L. Mazzoni, F. Giampieri, Foods 3(3), 420–432 (2014)
F. Tezcan, S. Kolayli, H. Sahin, E. Ulusoy, B.F. Erim, J. Food Nutr. Res. 50, 33–40 (2011)
J. Bertoncelj, U. DobersˇEk, M. Jamnık, T. Golob, Food Chem. 105, 822–828 (2007)
O. Escuredo, I. Dobre, M. Fernández-González, M.C. Seijo, Food Chem. 149, 84–90 (2014)
F. Tornuk, S. Karaman, I. Ozturk, O.S. Toker, B. Tastemur, O. Sagdic, A. Kayacier, Ind. Crops Prod. 46, 124–131 (2013)
E. Tosi, M. Ciappini, H. Lucero, Food Chem. 77(1), 71–74 (2002)
B. Fallico, M. Zappala, E. Arena, A. Verzera, Food Chem. 85, 305–313 (2004)
D.A.C. Yáñez, M. Gagneten, G.E. Leiva, L.S. Malec, LWT-Food Sci. Technol. 89, 344–349 (2018)
T. Nagai, N. Kai, Y. Tanoue, N. Suzuki, J Food Sci. Technol. 55(2), 586–597 (2018)
L. Manzocco, S. Calligaris, D. Mastrocola, M.C. Nicoli, C.R. Lerici, Trends Food Sci. Technol. 11, 340–346 (2001)
J.M. Silván, J. van de Lagemaat, A. Olano, M.D. Del Castillo, J. Pharm. Biomed. Anal. 41, 1543–1551 (2006)
O. Yıldız, H. Şahın, M. Kara, R. Alıyazıcıoglu, Ö Tarhan, S. Kolaylı, Acad. Food J. 8, 44–51 (2010)
P. Vagnarelli, A.D. Sario, M.T. Cuzzoni, P. Mazza, L.D. Carli, J. Agric. Food Chem. 39, 2237–2239 (1991)
G.C. Yen, C.F. Chau, D.J. Lii, J. Agric. Food Chem. 41, 771–776 (1993)
G.C. Yen, L.C. Tsai, Food Chem. 47, 11–15 (1993)
N. Turkmen, F. Sarı, E.S. Poyrazoglu, Y.S. Velioglu, Food Chem. 95, 653–657 (2006)
F. Chevalier, J.M. Chobert, C. Genot, T. Haertle, J. Agric. Food Chem. 49, 5031–5038 (2001)
A. Kato, Food Sci. Technol. Res. 8, 193–199 (2002)
R.C. Borrelli, C. Mennella, F. Barba, M. Russo, G.L. Russo, K. Krome, H.F. Erbersdobler, V. Faist, V. Fogliano, Food Chem. Toxicol. 41, 1367–1374 (2003)
M. Lindermeier, T. Hofmann, J. Agric. Food Chem. 52, 350–354 (2004)
Y. Yilmaz, R. Toledo, Food Chem. 93, 273–278 (2005)
J.M. Ames, The Maillard reaction. (B. J. F. Hudson Ed., 1992) pp. 150–154
L.W. Kroh, Food Chem. 51, 373–379 (1994)
J.A. Rufıán-Henares, C. Delgado-Andrade, F.J. Morales, Non-enzymatic browning:the case of the Maillard reaction. (C. Delgado-Andrade, J. A. Rufıán-Henares, eds. 2009), pp. 9–19
D.M. Bastos, E. Monaro, E. Siguemoto, M. Séfora, Food Industrial Processes-Methods and Equipment. (InTech, Rijeka, 2012)
E. Guerra-Hernandez, B. Garcıa-Vılanova, J. Montılla-Gomez, J. Liq. Chromatogr. 15, 2551–2559 (1992)
S. Albala´-Hurtado, M.T. Veciana-Nogue´S, A. Marine´-Font, M.C. Vidal-Carou, J. Agric. Food Chem. 46, 2998 (1998)
Codex Alimentarius Commission, 1st edn. Revised (Rev. 2001) p. 2
S. Ajlouni, P. Sujirapınyokul, Food Chem. 119, 1000–1005 (2010)
J. Loveaux, J. Pourtallıe, G. Vorwohl, Bull. Apic. Inf. Doc. Sci. Technol. 16, 7 (1973)
W. Von Der Ohe, L. Persano-Oddo, M.L. Piana, M. Morlot, P. Martin, Apidologie 35, 18–25 (2004)
K. Slinkard, V.L. Singleton, Am. J. Enol. Vitic. 28, 49–55 (1977)
A. Meda, C.E. Lamıen, M. Romıto, J. Mıllogo, O.G. Nacoulma, Food Chem. 91, 571–577 (2005)
L.A. Chen, M. Mehta, A.R. Berenbaum, I. Zanger, N.J. Engeseth, J. Agric. Food Chem. 48, 4997–5000 (2000)
T.P. Labuza, D. Riboh, Food Technol. 36, 55–74 (1982)
D. Aslanova, E. Bakkalbası, N. Artık, Int. J. Food Prop. 13, 904–912 (2010)
O. Yildiz, M. Alpaslan, Food Technol. Biotechnol. 50, 98–106 (2012)
S. Boonchiangma, S. Chanthai, S. Srijaranai, S. Srijaranai, J. Food Process Eng. 34(5), 1584–1596 (2011)
B. Fallico, M. Zappala, E. Arena, A. Verzera, Food Chem. 85(2), 305–313 (2004)
L. Bulut, M. Kilic, J. Food Process. Preserv. 33(1), 22–32 (2009)
N. Turhan, M. Tetik, F. Karhan, H.R. Gurel, Tavukcuoglu, LWT Food Sci. Technol. 41, 1396–1399 (2008)
A.O. Sarıkaya, E. Ulusoy, N. Öztürk, M. Tuncel, S. Kolayli, J. Food Biochem. 33, 470–481 (2009)
D. Mastrocola, M. Munari, J. Agric. Food Chem. 48, 3555–3559 (2000)
T. Kahraman, S.K. Buyukunal, A. Vural, S.S. Altunatmaz, Food Chem. 123, 41–44 (2010)
E. Nebesny, G. Budryn, Eur. Food Res. Technol. 217(2), 157–163 (2003)
D. Mastrocola, M. Munari, M. Cioroi, C.R. Lerici, J. Sci. Food Agric. 80, 684–690 (2000)
Author information
Authors and Affiliations
Corresponding author
Ethics declarations
Conflict of interest
The authors declare to have no potential conflict of interest.
Rights and permissions
About this article
Cite this article
Turkut, G.M., Degirmenci, A., Yildiz, O. et al. Investigating 5-hydroxymethylfurfural formation kinetic and antioxidant activity in heat treated honey from different floral sources. Food Measure 12, 2358–2365 (2018). https://doi.org/10.1007/s11694-018-9852-y
Received:
Accepted:
Published:
Issue Date:
DOI: https://doi.org/10.1007/s11694-018-9852-y


