Abstract
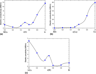
Lead-free solders with copper are considered as a possible substitution for standard lead-tin solders. Ternary Bi-Cu-In system is a potential soldering material based on copper. For a more complete characterization of the ternary Bi-Cu-In system, alloys from the three vertical sections were investigated using microstructural analysis as well as by electrical conductivity and Brinell hardness measurements. The microstructures of the alloys were investigated at room temperature by application of scanning electron microscopy combined with energy dispersive spectrometry and optical microscopy. Isolines of electrical conductivity and hardness for the entire Bi-Cu-In system were calculated using regression models. In addition, a thermodynamic assessment of the system has been carried out by calculation of the isothermal section at 25 °C and description of the liquidus surface using the CALPHAD method. Experimental and analytical results were found to be in a good agreement.









Similar content being viewed by others
References
V. Gandova, K. Lilova, H. Malakova, B. Huber, N. Milcheva, H. Ipser, J. Vrestal, and G. Vassilev, On the Synthesis of Bi-based Precursors for Lead-free Solders Development, J. Min. Metall. Sect. B Metall., 2010, 46(1), p 11–23
D. Živković, D. Minić, D. Manasijević, A. Kostov, N. Talijan, L.J. Balanović, A. Mitovski, and Ž. Živković, Thermodynamic Analysis and Characterization of Alloys in Bi-Cu-Sb System, J. Min. Metall. Sect. B Metall., 2010, 46(1), p 105–111
C. Camurri, C. Carrasco, R. Leite, R. Mangalaraja, and J. Dille, Influence of Impurities in Cathodic Copper on the Ductility of Copper Wires, J. Mater. Eng. Perform., 2012, 21(7), p 1474–1478
X.M. Li and M.J. Starinik, DSC Study on Phase Transitions and Their Correlation with Properties of Overaged Al-Zn-Mg-Cu Alloys, J. Mater. Eng. Perform., 2012, 21(6), p 977–984
M.M. Atabaki, Characterization of Transient Liquid-Phase Bonded Joints in a Copper-Beryllium Alloy with Silver-base Interlayer, J. Mater. Eng. Perform., 2012, 21(6), p 1040–1045
L. Lin, Z. Liu, L. Zhiyi, Y. Li, X. Han, and X. Chen, Effects of Severe Cold Rolling on Exfoliation Corrosion Behavior of Al-Zn-Mg-Cu-Cr Alloy, J. Mater. Eng. Perform., 2012, 21(6), p 1070–1075
G. Zhang, Y. Bao, Y. Jiang, and H. Zhu, Microstructure and Mechanical Properties of 6063 Aluminium Alloy Brazed Joints with Al-Si-Cu-Ni-RE Filler Metal, J. Mater. Eng. Perform., 2011, 20(8), p 1451–1456
D. Minić, A. Aljilji, M. Kolarević, D. Manasijević, and D. Živković, Mechanical and Electrical Properties of Alloys and Isothermal Section of Ternary Cu-In-Sb System at 673 K, High Temp. Mater. Process. (London), 2011, 30(1-2), p 131–138
J. Miettinen and G. Vassilev, Thermodynamic Re-optimization of the Cu-Mg-Sn System at the Cu-Mg Side, J. Min. Metall. Sect. B Metall., 2012, 48(1), p 53–62
O. Teppo, J. Niemela, P. Taskinen, Thermodynamic Properties and Phase Diagram of the System Bi-Cu, Report TKK-V-B43, Helsinki University of Technology, 1989
A. Kroupa, A.T. Dinsdale, A. Watson, J. Vrestal, J. Vízdal, and A. Zemanova, The Development of the COST 531 Lead-free Solders Thermodynamic Database, JOM, 2007, 59(7), p 20–25
D. Boa and I. Ansara, Thermodynamic Assessment of the Ternary System Bi-In-Pb, Thermochim. Acta, 1998, 314(1-2), p 79–86
X.J. Liu, H.S. Liu, I. Ohnuma, R. Kainuma, K. Ishida, S. Itabashi, K. Kameda, and K. Yamaguchi, Experimental Determination and Thermodynamic Calculation of the Phase Equilibria in the Cu-In-Sn System, J. Electron. Mater., 2001, 30(9), p 1093–1103
H.S. Liu, X.J. Liu, Y. Cui, C.P. Wang, I. Ohnuma, R. Kainuma, J.P. Jin, and K. Ishida, Thermodynamic Assessment of the Cu-In Binary System, J. Phase Equilib., 2002, 23(5), p 409–415
S. Itabashi, K. Kameda, K. Yamaguchi, and K. Toshiko, Activity Measurement System In-Bi-Cu Melting Method Zirconia Solid Electrolyte Battery, Alloy of Indium In-Sb-Cu, J. Jpn. Inst. Met., 1999, 63(7), p 817–821
A. Aljilji, D. Minic, D. Manasijevic, and D. Zivkovic, Phase Equilibria and Thermodynamics of the Bi-Cu-In Ternary System, Thermochim. Acta, 2010, 498(1-2), p 11–15
Reference Standards for X-Ray Microanalysis, Micro-Analysis Consultants Ltd, 19 Edison Road, St. Ives Industrial Estate, Cambridgeshire, UK (http://www.macstandards.co.uk/)
N. Saunders and A.P. Miodownik, CALPHAD (A Comprehensive Guide), Elsevier, London, 1998
A.J. Cornell, Experiments with Mixtures: Designs, Models, and the Analysis of Mixture Data, 3rd ed., Wiley, New York, 2002
Ž. Lazić, Design of Experiments in Chemical Engineering, Wiley, Weiheim, 2004
M. Kolarević, M. Vukićević, B. Radičević, M. Bjelić, V. Grković, Methodology for Forming the Regression Model of Ternary System, HM 2011, Proc., B. Vrnjačka, 2011 p 1–6
A.T. Dinsdale, A. Watson, A. Kroupa, J. Vrestal, A. Zemanova, J. Vizdal (Eds.), COST Action 531-Atlas of Lead Free Soldering, Vol 1, COST Office, Belgium, 2008
Acknowledgments
This work was supported by the Ministry of Education and Science of the Republic of Serbia under Projects OI172037 and TR37020. Calculations were performed by Pandat 8.1 software.
Author information
Authors and Affiliations
Corresponding author
Rights and permissions
About this article
Cite this article
Minić, D., Premović, M., Kolarević, M. et al. Description of the Liquidus Surface and Characterization of Alloys of the Ternary Bi-Cu-In System. J. of Materi Eng and Perform 22, 2343–2350 (2013). https://doi.org/10.1007/s11665-013-0493-3
Received:
Revised:
Published:
Issue Date:
DOI: https://doi.org/10.1007/s11665-013-0493-3


