Skip to main content

Development of a model for identification of individuals with high risk of osteoporosis

Abstract

Summary

Many developing countries, including Vietnam, lack DXA resources for the diagnosis of osteoporosis, which poses difficulties in the treatment and prevention of osteoporosis at the individual level. We have developed and validated a prediction model for individualized assessment of osteoporosis based on age and body weight for men and women.

Purpose

To estimate the prevalence of osteoporosis and to develop and validate a prediction model for estimating the absolute risk of osteoporosis in the Vietnamese population.

Methods

The study involved 1477 women and 669 men aged 50 years and older, who were recruited from the general population in Ho Chi Minh City (Vietnam). Bone mineral density (BMD) at the femoral neck, total hip, and lumbar spine was measured by DXA (Hologic Horizon). The diagnosis of osteoporosis was based on BMD T-score (T-score ≤ − 2.5) at the femoral neck or lumbar spine which was derived from a published reference range for the Vietnamese population. The logistic regression model was used to develop the prediction model for men and women separately. The bootstrap method was used to evaluate the model performance using 3 indices: the area under the receiver’s operating characteristic curve (AUC), Brier score, and R-squared values.

Results

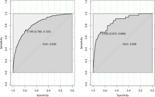
The prevalence of osteoporosis at any site was 28.3% in women and 15.5% in men. The best predictors of osteoporosis risk were age and body weight. Using these indices, a cut-off of 0.195 for women yielded an AUC of 0.825, Brier score = 0.112, and it explained 33.8% of total variance in risk of osteoporosis between individuals. Similarly, in men, the internal validation with a cut-off of 0.09 yielded good accuracy, with AUC = 0.858, Brier score = 0.040, and R-squared = 30.3%.

Conclusion

We have developed and validated a prediction model for individualized assessment of osteoporosis. In settings without DXA, this model can serve as a useful screening tool to identify high-risk individuals for DXA scan.

This is a preview of subscription content, access via your institution.

Fig. 1
Fig. 2

Data availability

Not applicable.

References

  1. Ho-Pham LT, Nguyen UD, Pham HN, Nguyen ND, Nguyen TV (2011) Reference ranges for bone mineral density and prevalence of osteoporosis in Vietnamese men and women. BMC Musculoskelet Disord 12:182

    Article  Google Scholar 

  2. Looker AC, Melton LJ 3rd, Harris TB, Borrud LG, Shepherd JA (2010) Prevalence and trends in low femur bone density among older US adults: NHANES 2005-2006 compared with NHANES III. J Bone Miner Res 25(1):64–71

    Article  Google Scholar 

  3. WHO Study Group (1994) Assessment of fracture risk and its application to screening for post-menopausal osteoporosis. WHO, Geneva

    Google Scholar 

  4. Koh LK, Sedrine WB, Torralba TP, Kung A, Fujiwara S, Chan SP, Huang QR, Rajatanavin R, Tsai KS, Park HM, Reginster JY, Osteoporosis Self-Assessment Tool for Asians (OSTA) Research Group (2001) A simple tool to identify asian women at increased risk of osteoporosis. Osteoporos Int 12(8):699–705

    CAS  Article  Google Scholar 

  5. Pongchaiyakul C, Nguyen ND, Pongchaiyakul C, Nguyen TV (2004) Development and validation of a new clinical risk index for prediction of osteoporosis in Thai women. J Med Assoc Thail 87(8):910–916

    Google Scholar 

  6. Nguyen TV (2018) Individualized fracture risk assessment: state-of-the-art and room for improvement. Osteoporos Sarcopenia 4:2–10

    Article  Google Scholar 

  7. Ho-Pham LT, Nguyen TV (2017) The Vietnam osteoporosis study: rationale and design. Osteoporos Sarcopenia 2:90–97

    Article  Google Scholar 

  8. WHO Expert Consultation (2004) Appropriate body-mass index for Asian populations and its implications for policy and intervention strategies. Lancet 363(9403):157–163

    Article  Google Scholar 

  9. R Development Core Team (2006) A language and environment for statistical computing, http://www.R-project.org. R Foundation for Statistical Computing, Vienna

    Google Scholar 

  10. Wright NC, Looker AC, Saag KG, Curtis JR, Delzell ES, Randall S, Dawson-Hughes B (2014) The recent prevalence of osteoporosis and low bone mass in the United States based on bone mineral density at the femoral neck or lumbar spine. J Bone Miner Res 29(11):2520–2526

    Article  Google Scholar 

  11. Looker AC, Orwoll ES, Johnston CC Jr, Lindsay RL, Wahner HW, Dunn WL et al (1997) Prevalence of low femoral bone density in older U.S. adults from NHANES III. J Bone Miner Res 12(11):1761–1768

    CAS  Article  Google Scholar 

  12. Chen P, Li Z, Hu Y (2016) Prevalence of osteoporosis in China: a meta-analysis and systematic review. BMC Public Health 16(1):1039

    Article  Google Scholar 

  13. Shin CS, Choi HJ, Kim MJ, Kim JT, Yu SH, Koo BK, Cho HY, Cho SW, Kim SW, Park YJ, Jang HC, Kim SY, Cho NH (2010) Prevalence and risk factors of osteoporosis in Korea: a community-based cohort study with lumbar spine and hip bone mineral density. Bone 47(2):378–387

    Article  Google Scholar 

  14. Marquez MA, Melton LJ 3rd, Muhs JM, Crowson CS, Tosomeen A, O'Connor MK et al (2001) Bone density in an immigrant population from Southeast Asia. Osteoporos Int 12(7):595–604

    CAS  Article  Google Scholar 

  15. Looker AC, Sarafrazi Isfahani N, Fan B, Shepherd JA (2017) Trends in osteoporosis and low bone mass in older US adults, 2005-2006 through 2013-2014. Osteoporos Int 28(6):1979–1988

    CAS  Article  Google Scholar 

  16. Muraki S, Yamamoto S, Ishibashi H, Horiuchi T, Hosoi T, Orimo H, Nakamura K (2004) Impact of degenerative spinal diseases on bone mineral density of the lumbar spine in elderly women. Osteoporos Int 15(9):724–728

    Article  Google Scholar 

  17. Michaelsson K, Bergstrom R, Mallmin H, Holmberg L, Wolk A, Ljunghall S (1996) Screening for osteopenia and osteoporosis: selection by body composition. Osteoporos Int 6(2):120–126

    CAS  Article  Google Scholar 

  18. Cadarette SM, Jaglal SB, Kreiger N, McIsaac WJ, Darlington GA, Tu JV (2000) Development and validation of the Osteoporosis Risk Assessment Instrument to facilitate selection of women for bone densitometry. CMAJ 162(9):1289–1294

    CAS  PubMed  PubMed Central  Google Scholar 

  19. Lydick E, Cook K, Turpin J, Melton M, Stine R, Byrnes C (1998) Development and validation of a simple questionnaire to facilitate identification of women likely to have low bone density. Am J Manag Care 4(1):37–48

    CAS  PubMed  Google Scholar 

  20. Sedrine WB, Chevallier T, Zegels B, Kvasz A, Micheletti MC, Gelas B, Reginster JY (2002) Development and assessment of the Osteoporosis Index of Risk (OSIRIS) to facilitate selection of women for bone densitometry. Gynecol Endocrinol 16(3):245–250

    CAS  Article  Google Scholar 

  21. Weinstein L, Ullery B (2000) Identification of at-risk women for osteoporosis screening. Am J Obstet Gynecol 183(3):547–549

    CAS  Article  Google Scholar 

  22. Shan LP, Bee OF, Suniza SS, Adeeb N (2011) Developing a Malaysian osteoporosis screening tool (MOST) for early osteoporosis detection in Malaysian women. Sex Reprod Healthc 2(2):77–82

    Article  Google Scholar 

  23. Rud B, Hilden J, Hyldstrup L, Hrobjartsson A (2009) The Osteoporosis Self-Assessment Tool versus alternative tests for selecting postmenopausal women for bone mineral density assessment: a comparative systematic review of accuracy. Osteoporos Int 20(4):599–607

    CAS  Article  Google Scholar 

  24. Rubin KH, Friis-Holmberg T, Hermann AP, Abrahamsen B, Brixen K (2013) Risk assessment tools to identify women with increased risk of osteoporotic fracture: complexity or simplicity? A systematic review. J Bone Miner Res 28(8):1701–1717

    Article  Google Scholar 

  25. Nayak S, Edwards DL, Saleh AA, Greenspan SL (2014) Performance of risk assessment instruments for predicting osteoporotic fracture risk: a systematic review. Osteoporos Int 25(1):23–49

    CAS  Article  Google Scholar 

  26. Nayak S, Edwards DL, Saleh AA, Greenspan SL (2015) Systematic review and meta-analysis of the performance of clinical risk assessment instruments for screening for osteoporosis or low bone density. Osteoporos Int 26(5):1543–1554

    CAS  Article  Google Scholar 

  27. Rud B, Hilden J, Hyldstrup L, Hrobjartsson A (2007) Performance of the Osteoporosis Self-Assessment Tool in ruling out low bone mineral density in postmenopausal women: a systematic review. Osteoporos Int 18(9):1177–1187

    CAS  Article  Google Scholar 

  28. Kung AW, Ho AY, Sedrine WB, Reginster JY, Ross PD (2003) Comparison of a simple clinical risk index and quantitative bone ultrasound for identifying women at increased risk of osteoporosis. Osteoporos Int 14(9):716–721

    Article  Google Scholar 

  29. Chan SP, Teo CC, Ng SA, Goh N, Tan C, Deurenberg-Yap M (2006) Validation of various osteoporosis risk indices in elderly Chinese females in Singapore. Osteoporos Int 17(8):1182–1188

    Article  Google Scholar 

  30. Cherian KE, Kapoor N, Shetty S, Naik D, Thomas N, Paul TV (2018) Evaluation of different screening tools for predicting femoral neck osteoporosis in rural south Indian postmenopausal women. J Clin Densitom 21(1):119–124

    Article  Google Scholar 

  31. Cadarette SM, Jaglal SB, Murray TM, McIsaac WJ, Joseph L, Brown JP, Canadian Multicentre Osteoporosis Study (2001) Evaluation of decision rules for referring women for bone densitometry by dual-energy x-ray absorptiometry. JAMA 286(1):57–63

    CAS  Article  Google Scholar 

  32. Ben Sedrine W, Reginster JY (2002) Risk indices and osteoporosis screening: scope and limits. Mayo Clin Proc 77(7):622–623

    Article  Google Scholar 

  33. Park HM, Sedrine WB, Reginster JY, Ross PD (2003) Osta. Korean experience with the OSTA risk index for osteoporosis: a validation study. J Clin Densitom 6(3):247–250

    CAS  Article  Google Scholar 

  34. Pongchaiyakul C, Nguyen ND, Eisman JA, Nguyen TV (2005) Clinical risk indices, prediction of osteoporosis, and prevention of fractures: diagnostic consequences and costs. Osteoporos Int 16(11):1444–1450

    Article  Google Scholar 

  35. Li-Yu JT, Llamado LJ, Torralba TP (2005) Validation of OSTA among Filipinos. Osteoporos Int 16(12):1789–1793

    Article  Google Scholar 

  36. Zhang X, Lin J, Yang Y, Wu H, Li Y, Yang X, Fei Q (2018) Comparison of three tools for predicting primary osteoporosis in an elderly male population in Beijing: a cross-sectional study. Clin Interv Aging 13:201–209

    CAS  Article  Google Scholar 

  37. Nielson CM, Srikanth P, Orwoll ES (2012) Obesity and fracture in men and women: an epidemiologic perspective. J Bone Miner Res 27(1):1–10

    Article  Google Scholar 

Download references

Acknowledgments

We sincerely thank MS Tran Thi Ngoc Trang and Fr Pham Ba Lam for coordinating the recruitment of participants. We also thank the doctors and medical students of the Pham Ngoc Thach University of Medicine for the data collection and clinical measurements.

Code availability

Not applicable.

Funding

This research is funded by Foundation for Science and Technology Development of Ton Duc Thang University (FOSTECT, http://fostect.tdt.edu.vn), Grant number FOSTECT.2014.BR.09, and a grant from the Department of Science and Technology of Ho Chi Minh City.

Author information

Affiliations

Authors

Contributions

Conceived and designed the experiments: LHP, TVN. Performed the experiments and data collection: MCD, LHV, LHP. Analyzed the data: TVN, LHP. Wrote the paper and interpretation of data: TVN, LHP.

Corresponding author

Correspondence to Lan T. Ho-Pham.

Ethics declarations

Disclaimer

The funders had no role in study design, data collection and analysis, decision to publish, or preparation of the manuscript.

Conflict of interest

None.

Ethics approval and consent to participate

The study was approved by the Ethics Committee of the People’s Hospital 115. The study was conducted according to the ethical principles of the Declaration of Helsinki, and all participants gave written informed consent.

Consent for publication

The manuscript does not contain any individual person’s data in any form.

Additional information

Publisher’s note

Springer Nature remains neutral with regard to jurisdictional claims in published maps and institutional affiliations.

Electronic supplementary material

ESM 1

(DOCX 14 kb)

Rights and permissions

Reprints and Permissions

About this article

Verify currency and authenticity via CrossMark

Cite this article

Ho-Pham, L.T., Doan, M.C., Van, L.H. et al. Development of a model for identification of individuals with high risk of osteoporosis. Arch Osteoporos 15, 111 (2020). https://doi.org/10.1007/s11657-020-00788-3

Download citation

  • Received:

  • Accepted:

  • Published:

  • DOI: https://doi.org/10.1007/s11657-020-00788-3

Keywords

  • Osteoporosis
  • Bone mineral density
  • Prediction model
  • Vietnamese population