Skip to main content

Bone metabolism markers in adolescent girls with eating disorders and weight loss: effects of growth, weight trend, developmental and menstrual status

Abstract

Summary

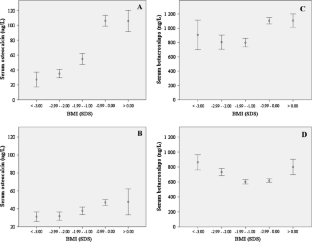
Serum concentrations of osteocalcin (OC) decrease and those of C-terminal telopeptide of type 1 collagen (CTX) increase during weight loss in adolescent girls with eating disorders (ED). The impact of weight loss on bone metabolism markers is greatest in premenarcheal girls.

Introduction

Adolescents with ED stand a risk of not reaching optimal peak bone mass and develop osteoporosis. Previous investigations are contradictory as to how markers of bone formation and resorption change during weight loss and nutritional rehabilitation.

Methods

Serum OC and CTX were measured at assessment of 461 adolescent girls with ED and during treatment of 55 girls with anorexia nervosa. Bone metabolism was related to weight, weight change and growth rate.

Results

At assessment, OC concentrations were positively correlated with growth rate and inversely with age and (rate of) weight loss. Growth rate was the only predictor of CTX concentrations in premenarcheal girls. In postmenarcheal girls, CTX concentrations were inversely correlated with age and rate of weight loss. During weight gain, there was an increase of OC concentrations. CTX concentrations decreased at the onset of weight gain and increased when near normal weight was reached.

Conclusions

Bone formation markers decrease and resorption markers increase during weight loss. The effects are independent of menstrual status but the impact on bone formation markers is greater in young, premenarcheal girls. Markers are normalised during weight gain but it is conceivable that repeated and/or prolonged weight loss in adolescents reduces peak bone mass.

This is a preview of subscription content, access via your institution.

Fig. 1
Fig. 2

References

  1. Rigotti NA, Neer RM, Skates SJ, Herzog DB, Nussbaum SR (1991) The clinical course of osteoporosis in anorexia nervosa. A longitudinal study of cortical bone mass. JAMA 265:1133–1138

    PubMed  Article  CAS  Google Scholar 

  2. Lucas AR, Melton JL, Crowson CS, O’Fallon WM (1999) Long-term fracture risk among women with anorexia nervosa: a population-based cohort study. Mayo Clin Proc 74:972–977

    PubMed  CAS  Google Scholar 

  3. Vestergaard P, Emborg C, Støving RK, Hagen C, Mosekilde L, Brixen K (2002) Fractures in patients with anorexia nervosa, bulimia nervosa, and other eating disorders—a nationwide register study. Int J Eat Disord 32:301–308

    PubMed  Article  Google Scholar 

  4. Hartman D, Crisp A, Rooney B, Rackow C, Atkinson R, Patel S (2000) Bone density of women who have recovered from anorexia nervosa. Int J Eat Disord 28:107–112

    PubMed  Article  CAS  Google Scholar 

  5. Wentz E, Mellström D, Gillberg IC, Gillberg C, Råstam M (2007) Decreased bone mineral density as a long-term complication of teenage-onset anorexia nervosa. Eur Eat Disord Rev 15:290–295

    PubMed  Article  Google Scholar 

  6. Rauchenzauner M, Schmid A, Heinz-Erian P, Kapelari K, Falkensammer G, Griesmacher A, Finkenstedt G, Högler W (2007) Sex- and age-specific reference curves for serum markers of bone turnover in healthy children from 2 months to 18 years. J Clin Endocrinol Metab 92:443–449

    PubMed  Article  CAS  Google Scholar 

  7. Szulc P, Seeman E, Delmas PD (2000) Biochemical measurements of bone turnover in children and adolescents. Osteoporos Int 11:281–294

    PubMed  Article  CAS  Google Scholar 

  8. Galusca B, Bossu C, Germain N, Kadem M, Frere D, Lafage-Proust MH, Lang F, Estour B (2006) Age-related differences in hormonal and nutritional impact on lean anorexia nervosa bone turnover uncoupling. Osteoporos Int 17:888–896

    PubMed  Article  CAS  Google Scholar 

  9. Stefanis N, Macintosh C, Abraha HD, Treasure J, Moniz C (1998) Dissociation of bone turnover in anorexia nervosa. Ann Clin Biochem 35:709–716

    PubMed  Google Scholar 

  10. Misra M, Miller KK, Almazan C, Ramaswamy K, Lapcharoensap W, Worley M, Neubauer G, Herzog DB, Klibanski A (2004) Alterations in cortisol secretory dynamics in adolescent girls with anorexia nervosa and effects on bone metabolism. J Clin Endocrinol Metab 89:4972–4980

    PubMed  Article  CAS  Google Scholar 

  11. Legroux-Gérot I, Vignau J, D’Herbomez M, Collier F, Marchandise X, Duquesnoy B, Cortet B (2007) Evaluation of bone loss and its mechanisms in anorexia nervosa. Calcif Tissue Int 81:174–182

    PubMed  Article  Google Scholar 

  12. Soyka LA, Grinspoon S, Levitsky LL, Herzog DB, Klibanski A (1999) The effect of anorexia nervosa on bone metabolism in female adolescents. J Clin Endocrinol Metab 84:4489–4496

    PubMed  Article  CAS  Google Scholar 

  13. Hotta M, Fukuda I, Sato K, Hizuka N, Shibasaki T, Takano K (2000) The relationship between bone turnover and body weight, serum insulin-like growth factor (IGF) I, and serum IGF-binding protein levels in patients with anorexia nervosa. J Clin Endocrinol Metab 85:200–206

    PubMed  Article  CAS  Google Scholar 

  14. Soyka LA, Misra M, Frenchman A, Miller KK, Grinspoon S, Schoenfeld DA, Klibanski A (2002) Abnormal bone mineral accrual in adolescent girls with anorexia nervosa. J Clin Endocrinol Metab 87:4177–4185

    PubMed  Article  CAS  Google Scholar 

  15. Heer M, Mika C, Grzella I, Heussen N, Herpertz-Dahlman B (2004) Bone turnover during inpatient nutritional therapy and outpatient follow-up in patients with anorexia nervosa compared with that in healthy control subjects. Am J Clin Nutr 80:774–781

    PubMed  CAS  Google Scholar 

  16. Lindgren G, Strandell A, Cole T, Healy M, Tanner J (1995) Swedish population standards for height, weight and body mass index attained at 6 to 16 years (girls) or 19 years (boys). Acta Paediatr 84:1019–1028

    PubMed  Article  CAS  Google Scholar 

  17. Hebebrand J, Casper R, Treasure J, Schweiger U (2004) The need to revise diagnostic criteria for anorexia nervosa. J Neural Transm 111:827–840

    PubMed  Article  CAS  Google Scholar 

  18. Van Coeverden SCCM, Netelenbos JC, De Ridder CM, Roos JC, Popp-Snijders C, Delemarre-van de Waal HA (2002) Bone metabolism markers and bone mass in healthy pubertal boys and girls. Clin Endocrinol 57:107–116

    Article  Google Scholar 

  19. Tuchman S, Thayu M, Shults J, Zemel BS, Burnham JM, Leonard MB (2008) Interpretation of bone metabolism markers in children: impact of growth velocity and body size in healthy children and chronic disease. J Pediatr 153:484–490

    PubMed  Article  CAS  Google Scholar 

  20. Compston JE, McConachie C, Stott C, Hannon RA, Kaptoge S, Debiram I, Love S, Jaffa A (2006) Changes in bone mineral density, body composition and biochemical markers of bone turnover during weight gain in adolescents with severe anorexia nervosa: a 1-year prospective study. Osteoporos Int 17:77–84

    PubMed  Article  CAS  Google Scholar 

  21. Swenne I, Thurfjell B (2003) Clinical onset and diagnosis of eating disorders in premenarcheal girls is preceded by inadequate weight gain and growth retardation. Acta Paediatr 92:1133–1137

    PubMed  Article  CAS  Google Scholar 

  22. Swenne I (2005) Weight requirements for catch-up growth in girls with eating disorders and onset before menarche. Int J Eat Disord 38:340–345

    PubMed  Article  Google Scholar 

  23. Mehler PS, MacKenzie TD (2009) Treatment of osteopenia and osteoporosis in anorexia nervosa: a sytematic review of the literature. Int J Eat Disord 42:195–201

    PubMed  Article  Google Scholar 

  24. Sim LA, McGovern L, Elamin MB, Swiglo BA, Erwin PJ, Montori VM (2010) Effect on bone health of estrogen preparations in premenopausal women with anorexia nervosa: a systematic review and meta-analyses. Int J Eat Disord 43:218–225

    PubMed  Google Scholar 

  25. Misra M, Klibanski A (2006) Osteoporosis and anorexia nervosa. Rev Endocr Metab Disord 7:91–99

    PubMed  Article  CAS  Google Scholar 

  26. Swenne I, Stridsberg M, Thurfjell B, Rosling A (2007) Insulin-like growth factor-1 as an indicator of nutrition during treatment of adolescent girls with eating disorders. Acta Paediatr 96:1203–1208

    PubMed  Article  Google Scholar 

  27. Grinspoon S, Thomas L, Miller K, Herzog D, Klibanski A (2002) Effects of recombinant human IGF-I and oral contraceptive administration on bone density in anorexia nervosa. J Clin Endocrinol Metab 87:2883–2891

    PubMed  Article  CAS  Google Scholar 

  28. Heer M, Mika C, Grzella I, Drummer C, Herpertz-Dahlman B (2002) Changes in bone turnover in patients with anorexia nervosa during eleven weeks of inpatient dietary treatment. Clin Chem 48:754–760

    PubMed  CAS  Google Scholar 

  29. Compston J (2001) Sex steroids and bone. Physiol Rev 81:419–447

    PubMed  CAS  Google Scholar 

  30. Dominguez J, Goodman L, Gupta SS, Mayer L, Fischer Etu S, Walsh BT, Wang J, Pierson R, Warren MP (2007) Treatment of anorexia nervosa is associated with increases in bone mineral density, and recovery is a biphasic process involving nutrition and return of menses. Am J Clin Nutr 86:92–99

    PubMed  CAS  Google Scholar 

  31. Prouteau S, Pelle A, Collomp K, Benhamou L, Courteix D (2006) Bone density in elite judoists and effect of weight cycling on bone metabolic balance. Med Sci Sports Exerc 38:694–700

    PubMed  Article  Google Scholar 

  32. Van der Wiel HE, Lips P, Nauta J, Netelenbos JC, Hazenberg GJ (1991) Biochemical parameters of bone turnover during ten days of bed rest and subsequent mobilization. Bone Miner 13:123–129

    PubMed  Article  Google Scholar 

  33. Grinspoon SK, Baum HBA, Kim V, Coggins C, Klibanski A (1995) Decreased bone formation and increased mineral dissolution during acute fasting in young women. J Clin Endocrinol Metab 80:3628–3633

    PubMed  Article  CAS  Google Scholar 

  34. Ihle R, Loucks AB (2004) Dose–response relationships between energy availability and bone turnover in young exercising women. J Bone Miner Res 19:1231–1240

    PubMed  Article  Google Scholar 

  35. DiVasta AD, Feldman HA, Quach AE, Balestrino M, Gordon CM (2009) The effect of bed rest on bone turnover in young women hospitalized for anorexia nervosa: a pilot study. J Clin Endocrinol Metab 94:1650–1655

    PubMed  Article  CAS  Google Scholar 

  36. Biller BMK, Saxe V, Herzog DB, Rosenthal DI, Holzman S, Klibanski A (1989) Mechanisms of osteoporosis in adult and adolescent women with anorexia nervosa. J Clin Endocrinol Metab 68:548–554

    PubMed  Article  CAS  Google Scholar 

  37. Bachrach LK, Guido D, Katzman D, Litt IF, Marcus R (1990) Decreased bone density in adolescent girls with anorexia nervosa. Pediatrics 86:440–444

    PubMed  CAS  Google Scholar 

Download references

Acknowledgments

This work was supported by grants from HRH Crown Princess Lovisa’s Fund for Child Health Care, the Gillbergska Foundation, First of May Flower Annual Campaign, the Sven Jerring Foundation and Uppsala University.

Conflicts of interest

None.

Author information

Affiliations

Authors

Corresponding author

Correspondence to I. Swenne.

Rights and permissions

Reprints and Permissions

About this article

Cite this article

Swenne, I., Stridsberg, M. Bone metabolism markers in adolescent girls with eating disorders and weight loss: effects of growth, weight trend, developmental and menstrual status. Arch Osteoporos 7, 125–133 (2012). https://doi.org/10.1007/s11657-012-0090-3

Download citation

  • Received:

  • Accepted:

  • Published:

  • Issue Date:

  • DOI: https://doi.org/10.1007/s11657-012-0090-3

Keywords

  • Eating disorder
  • Adolescent
  • Bone metabolism marker
  • Osteocalcin
  • C-terminal telopeptide of collagen