Abstract
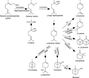
Recomposition of volatile compounds is an effective way to alter the fragrance of an essential oil. Using RNA interference (RNAi), we attempted to reduce the production of 1,8-cineole, a major monoterpene in essential oils, to alter the composition of the essential oil in lavandin. We obtained 12 transgenic regenerants via inoculation with Agrobacterium tumefaciens, including an RNAi inducing vector targeting five regions of the gene for 1,8-cineole synthase (CINS). Of these, two regenerants, targeting a coding region about 250 nt upstream with 5′-UTR and a coding region about 300 nt downstream of CINS mRNA (CINS I and V), respectively, showed a significant decrease of 1,8-cineole production in leaf essential oil, although the overall composition was barely altered because the production of other compounds decreased concurrently. By contrast, in two other regenerants, targeting a coding region about 1000 nt in the middle and a coding region about 300 nt downstream of CINS mRNA (CINS IV and V), respectively, 1,8-cineole production could be barely observed, without any decrease in production of other compounds. Expression of CINS in these transgenic regenerants was extremely suppressed to 0.02 and 0.08 of that of a nontransgenic regenerant control. The composition of leaf essential oil in the transgenic regenerants was changed by the RNAi. Specifically, the major compounds changed from 1,8-cineole, camphor, and borneol, to linalool, camphor, and borneol. Consequently, the fragrance of essential oils of these plants was perceived as more citrusy than the fragrance of the nontransgenic regenerant. These results suggest that the knockdown strategy was a useful tool for altering the fragrance in lavandin.





References
Adal AM, Sarker LS, Lemke AD, Mahmoud SS (2017) Isolation and functional characterization of a methyl jasmonate-responsice 3-carene synthase from Lavandula × intermedia. Plant Mol Biol 93:641–657
Degenhardt J, Köllner TG, Gershenzon J (2009) Monoterpene and sesquiterpene synthases and the origin of terpene skeletal diversity in plants. Phytochemistry 70:1621–1637
Demissie ZA, Sarker LS, Mahmoud SS (2011) Cloning and functional characterization of β-phellandrene synthase from Lavandula angustifolia. Planta 233:685–696
Demissie ZA, Cella MA, Sarker LS, Thompson TJ, Rheault MR, Mahmoud SS (2012) Cloning, functional characterization and genomic organization of 1,8-cineole synthases from Lavandula. Plant Mol Biol 79:393–411
Fukusaki E, Kawasaki K, Kajiyama S, An CI, Suzuki K, Tanaka Y, Kobayashi A (2004) Flower color modulations of Torenia hybrida by downregulation of chalcone synthase genes with RNA interference. J Biotechnol 111:229–240
Ishizaka H, Yamada H, Sasaki K (2002) Volatile compounds in the flowers of Cyclamen persicum, C. purpurascens and their hybrids. Sci Hortic 94:125–135
Krasnyansky S, May RA, Loskutov A, Ball TM, Sink KC (1999) Transformation of the limonene synthase gene into peppermint (Mentha piperita L.) and preliminary studies on the essential oil profiles of single transgenic plants. Theor Appl Genet 99:676–682
Landmann C, Fink B, Festner M, Dregus M, Engel KH, Schwab W (2007) Cloning and functional characterization of three terpene synthases from lavender (Lavandula angustifolia). Arch Biochem Biophys 465:417–429
Lazy M, Zuker A, Lewinsohn E, Larkov O, Ravid U, Vainstein A, Weiss D (2002) Linalool and linalool oxide production in transgenic carnation flowers expressing the Clarkia breweri linalool synthase gene. Mol Breed 9:103–111
Mahmoud SS, Williams M, Croteau R (2004) Cosuppression of limonene-3-hydroxylase in peppermint promotes accumulation of limonene in the essential oil. Phytochemistry 65:547–554
Mendoza-Poudereux I, Muñoz-Bertomeu J, Navarro A, Arrillaga I, Segura J (2014) Enhanced levels of S-linalool by metabolic engineering of the terpenoid pathway in spike lavender leaves. Metab Eng 23:136–144
Moraes CM, Lewis WJ, Pare PW, Alborn HT, Tumlinson JH (1998) Herbivore-infested plants selectively attract parasitoids. Nature 393:570–573
Muñoz-Bertomeu J, Arrillaga I, Ros R, Segura J (2006) Up-regulation of 1-deoxy-d-xylulose-5-phosphate synthase enhances production of essential oils in transgenic spike lavender. Plant Physiol 142:890–900
Muñoz-Bertomeu J, Ros R, Arrillaga I, Segura J (2008) Expression of spearmint limonene synthase in transgenic spike lavender results in an altered monoterpene composition in developing leaves. Metab Eng 10:166–177
Roeder S, Hartmann AM, Effmert U, Piechulla B (2007) Regulation of simultaneous synthesis of floral scent terpenoids by the 1,8-cineole synthase of Nicotiana suaveolens. Plant Mol Biol 65:107–124
Sarker LS, Galata M, Demissie ZA, Mahmoud SS (2012) Molecular cloning and functional characterization of borneol dehydrogenase from glandular trichomes of Lavandula × intermedia. Arch Biochem Biophys 528:163–170
Sato H, Yamada K, Mii M, Hosomi K, Okuyama S, Uzawa M, Ishikawa H, Ito Y (1996) Production of an interspecific somatic hybrid between peppermint and gingermint. Plant Sci 115:101–107
Seino Y, Nakatani A, Nishikawa T, Yoshida C, Suematsu A, Higashimura K, Ban Y (2008) Evaluation of lavender varietal characteristics using three content ratios between alcohol-based fragrance ingredients and their derivatives. J Japan Soc Hort Sci 77:304–311
Seki H, Ohyama K, Nishizawa T, Yoshida S, Muranaka T (2008) The “all-in-one” rol-type binary vectors as a tool for functional genomic studies using hairy roots. Plant Biotech 25:347–355
Tanno F, Ozaki F, Itoh K (2005) Intron loop Wx 5′ UTR dsRNA vectors mediated endosperm specific silencing of Wx gene of rice. Bull Facul Niigata Univ 57:121–128
Tsuro M, Asada S (2014) Differential expression of limonene synthase gene affects production and composition of essential oils in leaf and floret of transgenic lavandin (Lavandula × intermedia Emeric ex Loisel). Plant Biotech Rep 8:193–201
Tsuro M, Ikedo H, Kato H (2009) Efficient genetic transformation in lavandin using Agrobacterium rhizogenes as vector. J Japan Soc Hort Sci 78:236–241
Wise ML, Savage TJ, Katahira E, Croteau R (1998) Monoterpene synthases from common sage (Salvia officinalis). cDNA isolation, characterization, and functional expression of (+)-sabinene synthase, 1,8-cineole synthase, and (+)-bornyl diphosphate synthase. J Biol Chem 273:14891–14899
Woronuk G, Demissie Z, Rheault M, Mahmoud S (2011) Biosynthesis and therapeutic properties of Lavandula essential oil constituents. Planta Med 77:7–15
Funding
This work was supported in part by a Grant-in Aid from JSPS KAKENHI (No. 18K05631) to M.T.
Author information
Authors and Affiliations
Corresponding author
Additional information
Editor: Yong Eui Choi
Electronic supplementary material
ESM 1
(PPTX 75 kb)
Rights and permissions
About this article
Cite this article
Tsuro, M., Tomomatsu, K., Inukai, C. et al. RNAi targeting the gene for 1,8-cineole synthase induces recomposition of leaf essential oil in lavandin (Lavandula × intermedia Emeric). In Vitro Cell.Dev.Biol.-Plant 55, 165–171 (2019). https://doi.org/10.1007/s11627-018-09949-z
Received:
Accepted:
Published:
Issue Date:
DOI: https://doi.org/10.1007/s11627-018-09949-z