Skip to main content

Development of a Novel Pancreatoduodenectomy-Specific Risk Calculator: an Analysis of 10,000 Patients

Abstract

Background

Pancreatoduodenectomy (PD) is often performed in frail patients and is associated with significant morbidity. The five-factor modified frailty index (mFI-5) has been utilized to predict adverse postoperative outcomes, but has not been tested in PD. We aimed to develop risk tools to generate and predict 30-day outcomes after PD and compare their performance with the mFI-5. Risk tools were then used to generate a PD-specific calculator.

Methods

Elective PDs from the 2014–2016 ACS NSQIP® Procedure Targeted Pancreatectomy PUFs were identified. Multivariable logistic regression models were constructed to predict postoperative mortality, any complication, serious complication, clinically relevant postoperative pancreatic fistula (CR-POPF), and discharge not-to-home. Predictive accuracy was evaluated through repeated stratified tenfold cross-validation and compared to the mFI-5.

Results

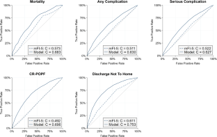
Nine thousand eight hundred sixty-seven PDs were captured. Nine risk factors were retained: sex, age, BMI, DM, HTN, ASA classification, pancreatic duct size, gland texture, and adenocarcinoma. Cross-validated C-indices ranged from 0.49 to 0.61 for the mFI-5 and 0.63 to 0.75 for our risk models. The best-performing model was for discharge not-to-home (C = 0.75), and the model delivering the largest increase in predictive accuracy was for CR-POPF (CmFI-5/Model = 0.49/0.70). A user-friendly risk calculator was created predicting the five outcomes of interest.

Conclusion

We have created a PD-specific risk calculator that outperforms the mFI-5. This calculator may serve as a useful adjunct in shared decision-making for patients and surgeons.

This is a preview of subscription content, access via your institution.

Fig. 1

References

  1. Chu CK, Mazo AE, Sarmiento JM, Staley CA, Adsay NV, Umpierrez GE, et al. Impact of diabetes mellitus on perioperative outcomes after resection for pancreatic adenocarcinoma. J Am Coll Surg. 2010;210(4):463-73.

    Article  PubMed Central  Google Scholar 

  2. Greenblatt DY, Kelly KJ, Rajamanickam V, Wan Y, Hanson T, Rettammel R, et al. Preoperative factors predict perioperative morbidity and mortality after pancreaticoduodenectomy. Ann Surg Oncol. 2011;18(8):2126-35.

    Article  PubMed Central  Google Scholar 

  3. House MG, Fong Y, Arnaoutakis DJ, Sharma R, Winston CB, Protic M, et al. Preoperative predictors for complications after pancreaticoduodenectomy: impact of BMI and body fat distribution. J Gastrointest Surg. 2008;12(2):270-8.

    Article  PubMed Central  Google Scholar 

  4. Wang J, Ma R, Churilov L, Eleftheriou P, Nikfarjam M, Christophi C, et al. The cost of perioperative complications following pancreaticoduodenectomy: A systematic review. Pancreatology. 2018;18(2):208-20.

    CAS  Article  PubMed Central  Google Scholar 

  5. Topal B, Van de Sande S, Fieuws S, Penninckx F. Effect of centralization of pancreaticoduodenectomy on nationwide hospital mortality and length of stay. Br J Surg. 2007;94(11):1377-81.

    CAS  Article  PubMed Central  Google Scholar 

  6. Santema TB, Visser A, Busch OR, Dijkgraaf MG, Goslings JC, Gouma DJ, et al. Hospital costs of complications after a pancreatoduodenectomy. HPB (Oxford). 2015;17(8):723-31.

    Article  PubMed Central  Google Scholar 

  7. Jester AL, Chung CW, Becerra DC, Molly Kilbane E, House MG, Zyromski NJ, et al. The Impact of Hepaticojejunostomy Leaks After Pancreatoduodenectomy: a Devastating Source of Morbidity and Mortality. J Gastrointest Surg. 2017;21(6):1017-24.

    Article  PubMed Central  Google Scholar 

  8. Wu W, He J, Cameron JL, Makary M, Soares K, Ahuja N, et al. The impact of postoperative complications on the administration of adjuvant therapy following pancreaticoduodenectomy for adenocarcinoma. Ann Surg Oncol. 2014;21(9):2873-81.

    Article  PubMed Central  Google Scholar 

  9. Hyder O, Dodson RM, Nathan H, Schneider EB, Weiss MJ, Cameron JL, et al. Influence of patient, physician, and hospital factors on 30-day readmission following pancreatoduodenectomy in the United States. JAMA Surg. 2013;148(12):1095-102.

    Article  PubMed Central  Google Scholar 

  10. Merkow RP, Bilimoria KY, Tomlinson JS, Paruch JL, Fleming JB, Talamonti MS, et al. Postoperative complications reduce adjuvant chemotherapy use in resectable pancreatic cancer. Ann Surg. 2014;260(2):372-7.

    Article  PubMed Central  Google Scholar 

  11. Joliat GR, Petermann D, Demartines N, Schafer M. Prediction of Complications After Pancreaticoduodenectomy: Validation of a Postoperative Complication Score. Pancreas. 2015;44(8):1323-8.

    Article  PubMed Central  Google Scholar 

  12. Jiang HY, Kohtakangas EL, Asai K, Shum JB. Predictive Power of the NSQIP Risk Calculator for Early Post-Operative Outcomes After Whipple: Experience from a Regional Center in Northern Ontario. J Gastrointest Cancer. 2017.

  13. Gleeson EM, Shaikh MF, Shewokis PA, Clarke JR, Meyers WC, Pitt HA, et al. WHipple-ABACUS, a simple, validated risk score for 30-day mortality after pancreaticoduodenectomy developed using the ACS-NSQIP database. Surgery. 2016;160(5):1279-87.

    Article  Google Scholar 

  14. Velanovich V, Antoine H, Swartz A, Peters D, Rubinfeld I. Accumulating deficits model of frailty and postoperative mortality and morbidity: its application to a national database. J Surg Res. 2013;183(1):104-10.

    Article  Google Scholar 

  15. Augustin T, Burstein MD, Schneider EB, Morris-Stiff G, Wey J, Chalikonda S, et al. Frailty predicts risk of life-threatening complications and mortality after pancreatic resections. Surgery. 2016;160(4):987-96.

    Article  PubMed Central  Google Scholar 

  16. Subramaniam S, Aalberg JJ, Soriano RP, Divino CM. New 5-Factor Modified Frailty Index Using American College of Surgeons NSQIP Data. J Am Coll Surg. 2018;226(2):173-81 e8.

    Article  PubMed Central  Google Scholar 

  17. McMillan MT, Allegrini V, Asbun HJ, Ball CG, Bassi C, Beane JD, et al. Incorporation of Procedure-specific Risk Into the ACS-NSQIP Surgical Risk Calculator Improves the Prediction of Morbidity and Mortality After Pancreatoduodenectomy. Ann Surg. 2017;265(5):978-86.

    Article  PubMed Central  Google Scholar 

  18. Kantor O, Pitt HA, Talamonti MS, Roggin KK, Bentrem DJ, Prinz RA, et al. Minimally invasive pancreatoduodenectomy: is the incidence of clinically relevant postoperative pancreatic fistula comparable to that after open pancreatoduodenectomy? Surgery. 2018;163(3):587-93.

    Article  PubMed Central  Google Scholar 

  19. Kantor O, Talamonti MS, Pitt HA, Vollmer CM, Riall TS, Hall BL, et al. Using the NSQIP Pancreatic Demonstration Project to Derive a Modified Fistula Risk Score for Preoperative Risk Stratification in Patients Undergoing Pancreaticoduodenectomy. J Am Coll Surg. 2017;224(5):816-25.

    Article  PubMed Central  Google Scholar 

  20. Konstantinidis IT, Lewis A, Lee B, Warner SG, Woo Y, Singh G, et al. Minimally invasive distal pancreatectomy: greatest benefit for the frail. Surg Endosc. 2017;31(12):5234-40.

    Article  PubMed Central  Google Scholar 

  21. Hosmer DW LS, and Sturdivant RX. Applied logistic regression. 3rd ed. Hoboken, NJ: Wiley; 2013 2013.

    Book  Google Scholar 

  22. Clopper CJ aPE. The use of confidenceor fiducial limits illustrated in the case of the binomial. Biometrika. 1934;26(4):404-13.

    Article  Google Scholar 

  23. Gouma DJ, van Geenen RC, van Gulik TM, de Haan RJ, de Wit LT, Busch OR, et al. Rates of complications and death after pancreaticoduodenectomy: risk factors and the impact of hospital volume. Ann Surg. 2000;232(6):786-95.

    CAS  Article  PubMed Central  Google Scholar 

  24. Muscari F, Suc B, Kirzin S, Hay JM, Fourtanier G, Fingerhut A, et al. Risk factors for mortality and intra-abdominal complications after pancreatoduodenectomy: multivariate analysis in 300 patients. Surgery. 2006;139(5):591-8.

    Article  PubMed Central  Google Scholar 

  25. Parmar AD, Sheffield KM, Vargas GM, Pitt HA, Kilbane EM, Hall BL, et al. Factors associated with delayed gastric emptying after pancreaticoduodenectomy. HPB (Oxford). 2013;15(10):763-72.

    Article  PubMed Central  Google Scholar 

  26. Parikh P, Shiloach M, Cohen ME, Bilimoria KY, Ko CY, Hall BL, et al. Pancreatectomy risk calculator: an ACS-NSQIP resource. HPB (Oxford). 2010;12(7):488-97.

    Article  PubMed Central  Google Scholar 

  27. Bilimoria KY, Liu Y, Paruch JL, Zhou L, Kmiecik TE, Ko CY, et al. Development and evaluation of the universal ACS NSQIP surgical risk calculator: a decision aid and informed consent tool for patients and surgeons. J Am Coll Surg. 2013;217(5):833-42 e1-3.

    Article  PubMed Central  Google Scholar 

  28. Cusworth BM, Krasnick BA, Nywening TM, Woolsey CA, Fields RC, Doyle MM, et al. Whipple-specific complications result in prolonged length of stay not accounted for in ACS-NSQIP Surgical Risk Calculator. HPB (Oxford). 2017;19(2):147-53.

    Article  PubMed Central  Google Scholar 

  29. Venkat R, Puhan MA, Schulick RD, Cameron JL, Eckhauser FE, Choti MA, et al. Predicting the risk of perioperative mortality in patients undergoing pancreaticoduodenectomy: a novel scoring system. Arch Surg. 2011;146(11):1277-84.

    Article  PubMed Central  Google Scholar 

  30. Callery MP, Pratt WB, Kent TS, Chaikof EL, Vollmer CM, Jr. A prospectively validated clinical risk score accurately predicts pancreatic fistula after pancreatoduodenectomy. J Am Coll Surg. 2013;216(1):1-14.

    Article  PubMed Central  Google Scholar 

  31. Miller BC, Christein JD, Behrman SW, Drebin JA, Pratt WB, Callery MP, et al. A multi-institutional external validation of the fistula risk score for pancreatoduodenectomy. J Gastrointest Surg. 2014;18(1):172-79; discussion 9-80.

    Article  PubMed Central  Google Scholar 

  32. Blitz JD, Kendale SM, Jain SK, Cuff GE, Kim JT, Rosenberg AD. Preoperative Evaluation Clinic Visit Is Associated with Decreased Risk of In-hospital Postoperative Mortality. Anesthesiology. 2016;125(2):280-94.

    Article  PubMed Central  Google Scholar 

  33. Birkmeyer JD, Stukel TA, Siewers AE, Goodney PP, Wennberg DE, Lucas FL. Surgeon volume and operative mortality in the United States. N Engl J Med. 2003;349(22):2117-27.

    CAS  Article  PubMed Central  Google Scholar 

  34. Enomoto LM, Gusani NJ, Dillon PW, Hollenbeak CS. Impact of surgeon and hospital volume on mortality, length of stay, and cost of pancreaticoduodenectomy. J Gastrointest Surg. 2014;18(4):690-700.

    Article  PubMed Central  Google Scholar 

Download references

Author information

Affiliations

Authors

Corresponding author

Correspondence to Amer H. Zureikat MD.

Ethics declarations

Conflicts of interest

The authors declare that they have no conflict of interest.

Additional information

Publisher’s Note

Springer Nature remains neutral with regard to jurisdictional claims in published maps and institutional affiliations.

Electronic supplementary material

Supplemental Table 1.

Postoperative Outcomes Comprising Any Complication and Serious Complication (DOCX 32 kb)

Supplemental Application 1.

Pancreatoduodenectomy Risk Calculator (XLSX 23 kb)

Rights and permissions

Reprints and Permissions

About this article

Verify currency and authenticity via CrossMark

Cite this article

Al Abbas, A.I., Borrebach, J.D., Pitt, H.A. et al. Development of a Novel Pancreatoduodenectomy-Specific Risk Calculator: an Analysis of 10,000 Patients. J Gastrointest Surg 25, 1503–1511 (2021). https://doi.org/10.1007/s11605-020-04725-0

Download citation

  • Received:

  • Accepted:

  • Published:

  • Issue Date:

  • DOI: https://doi.org/10.1007/s11605-020-04725-0

Keywords

  • Pancreatoduodenectomy
  • Whipple
  • Calculator
  • Frailty
  • Pancreatic surgery