Skip to main content

A Risk-Scoring Model for Predicting Lymph Node Metastasis in Early Gastric Cancer Patients: a Retrospective Study and External Validation

Abstract

Background

The possibility of lymph node metastasis (LNM) is critical to the assessment of the indication for endoscopic submucosal dissection. Thus, the aim of this study is to identify the risk factors for LNM and construct a risk-scoring model for patients with early gastric cancer to guide treatment.

Methods

A retrospective examination of reports and studies carried out January 2000 and December 2014 was conducted. A risk-scoring model for predicting LNM was developed based on the data thus collected. In addition, the model is subject to verification and validation by three institutions.

Results

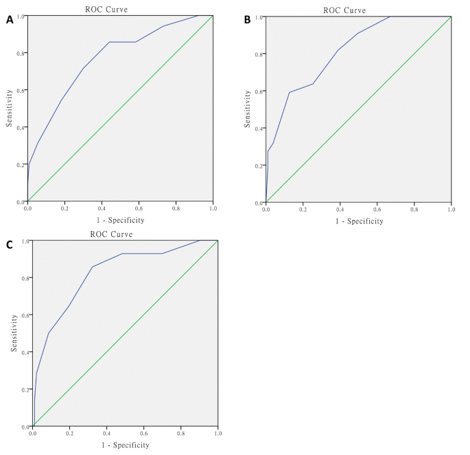
Of the 1029 patients, 228 patients (22%) had LNM. Multivariate analysis showed that female, depressed type, undifferentiated type, submucosa, tumor size, and lymphovascular invasion were significantly associated with LNM. An 11-point risk-scoring model was used to predict LNM risk. An area under the receiver operating characteristic (AUROC) of the risk-scoring model was plotted using the development set and the AUROC of the model [0.76 (95% CI 0.73–0.80)] to predict LNM risk. After internal and external validation, the AUROC curve for predicting LNM was 0.77 (95% CI 0.68–0.86), 0.82 (95% CI 0.72–0.91), and 0.82 (95% CI 0.70–0.94), respectively.

Conclusions

A risk-scoring model for predicting LNM was developed and validated. It could help with personalized care for patients with EGC.

This is a preview of subscription content, access via your institution.

Fig. 1

References

  1. Kajitani T. The general rules for the gastric cancer study in surgery and pathology. Part I. Clinical classification. Jpn J Surg 1981; 11: 127–139.

    Article  PubMed  CAS  Google Scholar 

  2. An JY, Baik YH, Choi MG, Noh JH, Sohn TS, Kim S. Predictive factors for lymph node metastasis in early gastric cancer with submucosal invasion: analysis of a single institutional experience. Ann Surg 2007; 246: 749–753.

    Article  PubMed  Google Scholar 

  3. Saka M, Katai H, Fukagawa T, Nijjar R, Sano T. Recurrence in early gastric cancer with lymph node metastasis. Gastric Cancer 2008; 11: 214–218.

    Article  PubMed  Google Scholar 

  4. Okamura T, Tsujitani S, Korenaga D, Haraguchi M, Baba H, Hiramoto Y, Sugimachi K. Lymphadenectomy for cure in patients with early gastric cancer and lymph node metastasis. Am J Surg 1988; 155: 476–480.

    Article  PubMed  CAS  Google Scholar 

  5. Gotoda T, Yanagisawa A, Sasako M, Ono H, Nakanishi Y, Shimoda T, Kato Y. Incidence of lymph node metastasis from early gastric cancer: estimation with a large number of cases at two large centers. Gastric Cancer 2000; 3: 219–225.

    Article  PubMed  Google Scholar 

  6. Japanese gastric cancer treatment guidelines 2010 (ver. 3). Gastric Cancer 2011; 14: 113–123.

  7. Japanese gastric cancer treatment guidelines 2014 (ver. 4). Gastric Cancer 2017; 20: 1–19.

    Article  Google Scholar 

  8. Choi MK, Kim GH, Park DY, Song GA, Kim DU, Ryu DY, Lee BE, Cheong JH, Cho M. Long-term outcomes of endoscopic submucosal dissection for early gastric cancer: a single-center experience. Surg Endosc 2013; 27: 4250–4258.

    Article  PubMed  Google Scholar 

  9. Oka S, Tanaka S, Kaneko I, Mouri R, Hirata M, Kawamura T, Yoshihara M, Chayama K. Advantage of endoscopic submucosal dissection compared with EMR for early gastric cancer. Gastrointest Endosc 2006; 64: 877–883.

    Article  PubMed  Google Scholar 

  10. Sekiguchi M, Oda I, Taniguchi H, Suzuki H, Morita S, Fukagawa T, Sekine S, Kushima R, Katai H. Risk stratification and predictive risk-scoring model for lymph node metastasis in early gastric cancer. J Gastroenterol 2016; 51: 961–970.

    Article  PubMed  CAS  Google Scholar 

  11. Hatta W, Gotoda T, Oyama T, Kawata N, Takahashi A, Yoshifuku Y, Hoteya S, Nakagawa M, Hirano M, Esaki M, Matsuda M, Ohnita K, Yamanouchi K, Yoshida M, Dohi O, Takada J, Tanaka K, Yamada S, Tsuji T, Ito H, Hayashi Y, Nakaya N, Nakamura T, Shimosegawa T. A Scoring System to Stratify Curability after Endoscopic Submucosal Dissection for Early Gastric Cancer: “eCura system”. Am J Gastroenterol 2017; 112: 874–881.

    Article  PubMed  Google Scholar 

  12. He X, Wu W, Lin Z, Ding Y, Si J, Sun LM. Validation of the American Joint Committee on Cancer (AJCC) 8th edition stage system for gastric cancer patients: a population-based analysis. Gastric Cancer 2017.

  13. Japanese classification of gastric carcinoma: 3rd English edition. Gastric Cancer 2011; 14: 101–112.

  14. Kim YH, Kim JH, Kim H, Kim H, Lee YC, Lee SK, Shin SK, Park JC, Chung HS, Park JJ, Youn YH, Park H, Noh SH, Choi SH. Is the recent WHO histological classification for gastric cancer helpful for application to endoscopic resection? Gastric Cancer 2016; 19: 869–875.

    Article  PubMed  Google Scholar 

  15. Moons KG, Kengne AP, Woodward M, Royston P, Vergouwe Y, Altman DG, Grobbee DE. Risk prediction models: I. Development, internal validation, and assessing the incremental value of a new (bio)marker. Heart 2012; 98: 683–690.

    Article  PubMed  Google Scholar 

  16. Hanley JA, McNeil BJ. The meaning and use of the area under a receiver operating characteristic (ROC) curve. Radiology 1982; 143: 29–36.

    Article  PubMed  CAS  Google Scholar 

  17. Pelz J, Merkel S, Horbach T, Papadopoulos T, Hohenberger W. Determination of nodal status and treatment in early gastric cancer. Eur J Surg Oncol 2004; 30: 935–941.

    Article  PubMed  CAS  Google Scholar 

  18. Roviello F, Rossi S, Marrelli D, Pedrazzani C, Corso G, Vindigni C, Morgagni P, Saragoni L, de Manzoni G, Tomezzoli A. Number of lymph node metastases and its prognostic significance in early gastric cancer: a multicenter Italian study. J Surg Oncol 2006; 94: 275–280; discussion 274.

  19. Chen W, Zheng R, Baade PD, Zhang S, Zeng H, Bray F, Jemal A, Yu XQ, He J. Cancer statistics in China, 2015. CA Cancer J Clin 2016; 66: 115–132.

    Article  PubMed  Google Scholar 

  20. Bae SY, Jang TH, Min BH, Lee JH, Rhee PL, Rhee JC, Kim JJ. Early additional endoscopic submucosal dissection in patients with positive lateral resection margins after initial endoscopic submucosal dissection for early gastric cancer. Gastrointest Endosc 2012; 75: 432–436.

    Article  PubMed  Google Scholar 

  21. Gotoda T. Endoscopic resection of early gastric cancer. Gastric Cancer 2007; 10: 1–11.

    Article  PubMed  Google Scholar 

  22. Nishida T, Kato M, Yoshio T, Akasaka T, Yoshioka T, Michida T, Yamamoto M, Hayashi S, Hayashi Y, Tsujii M, Takehara T. Endoscopic submucosal dissection in early gastric cancer in elderly patients and comorbid conditions. World J Gastrointest Endosc 2015; 7: 524–531.

    Article  PubMed  PubMed Central  Google Scholar 

  23. Shoda K, Ichikawa D, Arita T, Kosuga T, Konishi H, Morimura R, Murayama Y, Komatsu S, Shiozaki A, Kuriu Y, Ikoma H, Nakanishi M, Fujiwara H, Okamoto K, Otsuji E. Risk Stratification According to the Total Number of Factors That Meet the Indication Criteria for Radical Lymph Node Dissection in Patients with Early Gastric Cancer at Risk for Lymph Node Metastasis. Ann Surg Oncol 2016; 23: 792–797.

    Article  PubMed  Google Scholar 

  24. Yang HJ, Kim SG, Lim JH, Choi J, Im JP, Kim JS, Kim WH, Jung HC. Predictors of lymph node metastasis in patients with non-curative endoscopic resection of early gastric cancer. Surg Endosc 2015; 29: 1145–1155.

    Article  PubMed  Google Scholar 

  25. Lou N, Zhang L, Chen XD, Pang WY, Arvine C, Huang YP, Zhuang CL, Shen X. A novel scoring system associating with preoperative platelet/lymphocyte and clinicopathologic features to predict lymph node metastasis in early gastric cancer. J Surg Res 2017; 209: 153–161.

    Article  PubMed  Google Scholar 

  26. Kim DY, Joo JK, Ryu SY, Kim YJ, Kim SK. Factors related to lymph node metastasis and surgical strategy used to treat early gastric carcinoma. World J Gastroenterol 2004; 10: 737–740.

    Article  PubMed  PubMed Central  Google Scholar 

  27. Zhao X, Cai A, Xi H, Chen L. Predictive Factors for Lymph Node Metastasis in Undifferentiated Early Gastric Cancer: a Systematic Review and Meta-analysis. 2017; 21: 700–711.

  28. Huang Q, Fang C, Shi J, Sun Q, Wu H, Gold JS, Weber HC, Guan W, Zhang Y, Yu C, Zou X, Mashimo H. Differences in Clinicopathology of Early Gastric Carcinoma between Proximal and Distal Location in 438 Chinese Patients. Sci Rep 2015; 5: 13439.

    Article  PubMed  PubMed Central  CAS  Google Scholar 

  29. Choi AH, Nelson RA, Merchant SJ, Kim JY, Chao J, Kim J. Rates of lymph node metastasis and survival in T1a gastric adenocarcinoma in Western populations. Gastrointest Endosc 2016; 83: 1184–1192.e1181.

    Article  PubMed  Google Scholar 

  30. Park JW, Ahn S, Lee H, Min BH, Lee JH, Rhee PL, Kim KM, Kim JJ. Predictive factors for lymph node metastasis in early gastric cancer with lymphatic invasion after endoscopic resection. Surg Endosc 2017; 31: 4419–4424.

    Article  PubMed  Google Scholar 

  31. Park JH, Lee SH, Park JM, Park CS, Park KS, Kim ES, Cho KB. Prediction of the indication criteria for endoscopic resection of early gastric cancer. World J Gastroenterol 2015; 21: 11160–11167.

    Article  PubMed  PubMed Central  CAS  Google Scholar 

  32. Kim YI, Lee JH, Kook MC, Lee JY, Kim CG, Ryu KW, Kim YW, Choi IJ. Lymph node metastasis risk according to the depth of invasion in early gastric cancers confined to the mucosal layer. Gastric Cancer 2016; 19: 860–868.

    Article  PubMed  Google Scholar 

  33. Lee JH, Choi IJ, Han HS, Kim YW, Ryu KW, Yoon HM, Eom BW, Kim CG, Lee JY, Cho SJ, Kim YI, Nam BH, Kook MC. Risk of lymph node metastasis in differentiated type mucosal early gastric cancer mixed with minor undifferentiated type histology. Ann Surg Oncol 2015; 22: 1813–1819.

    Article  PubMed  Google Scholar 

  34. Li H, Huo ZB, Chen SB, Li H, Wu DC, Zhai TS, Xiao QH, Wang SX, Zhang LL. Feasibility study on expanded indication for endoscopic submucosal dissection of intramucosal poorly differentiated early gastric cancer. World J Gastroenterol 2016; 22: 6736–6741.

    Article  PubMed  PubMed Central  Google Scholar 

  35. Mikami K, Hirano Y, Futami K, Maekawa T. Expansion of lymph node metastasis in mixed-type submucosal invasive gastric cancer. Asian J Surg 2017.

  36. Pereira MA, Ramos M, Dias AR, Faraj SF, Yagi OK, Safatle-Ribeiro AV, Maluf-Filho F, Zilberstein B, Cecconello I, de Mello ES, Ribeiro U, Jr. Risk Factors for Lymph Node Metastasis in Western Early Gastric Cancer After Optimal Surgical Treatment. 2017.

  37. Lee JH, Nam BH, Ryu KW, Ryu SY, Kim YW, Kim S, Park YK. Tumor differentiation is not a risk factor for lymph node metastasis in elderly patients with early gastric cancer. Eur J Surg Oncol 2014; 40: 1771–1776.

    Article  PubMed  CAS  Google Scholar 

  38. Hatta W, Gotoda T, Oyama T, Kawata N, Takahashi A, Yoshifuku Y, Hoteya S, Nakamura K, Hirano M, Esaki M, Matsuda M, Ohnita K, Shimoda R, Yoshida M, Dohi O, Takada J, Tanaka K, Yamada S, Tsuji T, Ito H, Hayashi Y, Nakamura T, Shimosegawa T. Is radical surgery necessary in all patients who do not meet the curative criteria for endoscopic submucosal dissection in early gastric cancer? A multi-center retrospective study in Japan. J Gastroenterol 2017; 52: 175–184.

    Article  PubMed  Google Scholar 

  39. Guo CG, Zhao DB, Liu Q, Zhou ZX, Zhao P, Wang GQ, Cai JQ. A nomogram to predict lymph node metastasis in patients with early gastric cancer. Oncotarget 2017; 8: 12203–12210.

    PubMed  PubMed Central  Google Scholar 

  40. Jung DH, Bae YS, Yoon SO, Lee YC, Kim H, Noh SH, Park H, Choi SH, Kim JH, Kim H. Poorly Differentiated Carcinoma Component in Submucosal Layer Should be Considered as an Additional Criterion for Curative Endoscopic Resection of Early Gastric Cancer. Ann Surg Oncol 2015; 22 Suppl 3: S772–777.

    Article  PubMed  Google Scholar 

  41. Pyo JH, Lee H, Min BH, Lee JH, Choi MG, Lee JH, Sohn TS, Bae JM, Kim KM, Yeon S, Jung SH, Kim JJ, Kim S. Early gastric cancer with a mixed-type Lauren classification is more aggressive and exhibits greater lymph node metastasis. J Gastroenterol 2017; 52: 594–601.

    Article  PubMed  CAS  Google Scholar 

Download references

Author information

Affiliations

Authors

Contributions

All authors helped to perform the research. Lihu Gu, Manman Chen, and Parikshit Asutosh Khadaroo manuscript writing; Xueqiang Ma and Liya Kong performing procedures and data analysis; Xinlong Li, Hepan Zhu, Xin Zhong, and Junhai Pan contribution to writing the manuscript; Xianfa Wang contribution to drafting conception and design.

Corresponding author

Correspondence to XianFa Wang.

Ethics declarations

Ethical standards

This article does not contain any studies with human or animal subjects performed by any of the authors.

Conflict of interest

The authors declare that they have no conflict of interest.

Electronic Supplementary Material

Fig. S1
figure 2

Receiver operating characteristic curve of the risk-scoring model for the prediction of lymph node metastasis in early gastric cancer in the validation sets. A Validation set 1: Sir Run Run Shaw Hospital (area under the receiver operating characteristic (AUROC), 0.77 (95% CI: 0.68–0.86)). B Validation set 2: Hangzhou First People’s Hospital (AUROC, 0.82 (95% CI: 0.72–0.91)). C Validation set 3: Zhuji People’s Hospital (AUROC, 0.82 (95% CI: 0.70–0.94)) (GIF 220 kb)

Table S1

Risk scores and percentage of positive lymph node metastasis in development and validation sets (DOCX 19 kb)

Table S2

The measurement results of Youden’s Index and corrected Youden’s Index in each score (DOCX 16 kb)

High Resolution Image (TIF 1189 kb)

Rights and permissions

Reprints and Permissions

About this article

Verify currency and authenticity via CrossMark

Cite this article

Gu, L., Chen, M., Khadaroo, P.A. et al. A Risk-Scoring Model for Predicting Lymph Node Metastasis in Early Gastric Cancer Patients: a Retrospective Study and External Validation. J Gastrointest Surg 22, 1508–1515 (2018). https://doi.org/10.1007/s11605-018-3816-8

Download citation

  • Received:

  • Accepted:

  • Published:

  • Issue Date:

  • DOI: https://doi.org/10.1007/s11605-018-3816-8

Keywords

  • Early gastric cancer
  • Lymph node metastasis
  • Risk-scoring model
  • Endoscopic submucosal dissection