Skip to main content

Prognostic Impact of Tumor Growth Type on 7th AJCC Staging System for Intrahepatic Cholangiocarcinoma: a Single-Center Experience of 659 Cases

Abstract

Objective

Because noticeable changes were made to the 7th American Joint Committee on Cancer (AJCC) tumor–node–metastasis (TNM) staging for intrahepatic cholangiocarcinoma (IHCC), we validated the prognostic impact of tumor staging after macroscopic curative resection of IHCC.

Methods

A cohort of 659 IHCC patients who underwent R0 (n = 539) or R1 (n = 120) resection were selected with exclusion of R2 resection (n = 111). Study patients were followed up for ≥24 months or until death with no patient lost during survival analysis.

Results

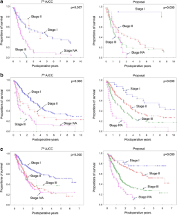
Anatomical resection was performed in 599 (90.9 %) and concurrent bile duct resection was conducted in 97 (14.7 %). Median survival periods following R0, R1, and R2 resections were 28, 12, and 3 months, respectively (p = 0.000). In the R0 resection group, the 1-, 3-, 5-, and 10-year tumor recurrence rates were 36.4 %, 57.9 %, 64.7 %, and 65.0 %, respectively, and the 1-, 3-, 5-, and 10-year patient survival rates were 73.1 %, 44.2 %, 33.0 %, and 23.1 %, respectively. Independent risk factors for tumor recurrence and patient survival were tumor growth type, tumor size > 5 cm, perineural invasion, and lymph node metastasis. According to the 7th AJCC staging system, the prognostic contrast was marginal in stage T2–4 tumors without lymph node metastasis (p > 0.8). With our redefined staging system with tumor growth types and risk factors including tumor number and perineural/lymphovascular invasion, clear prognostic contrast was achieved among T1–3 stages (p = 0.000).

Conclusion

Growth type of IHCC seems to be essential for determining tumor stage. Although the stratification of the 7th AJCC IHCC staging system seems reasonably established, refinements and further validation could improve prognostic predictability.

This is a preview of subscription content, access via your institution.

Fig. 1
Fig. 2
Fig. 3
Fig. 4
Fig. 5
Fig. 6
Fig. 7

References

  1. Njei B. Changing pattern of epidemiology in intrahepatic cholangiocarcinoma. Hepatology 2014;60:1107–1108.

    PubMed  Article  Google Scholar 

  2. Lubezky N, Facciuto M, Harimoto N, Schwartz ME, Florman SS. Surgical treatment of intrahepatic cholangiocarcinoma in the USA. J Hepatobiliary Pancreat Sci 2014. [Epub ahead of print]

  3. Yamamoto M, Ariizumi S. Surgical outcomes of intrahepatic cholangiocarcinoma. Surg Today 2011;41:896–902.

    PubMed  Article  Google Scholar 

  4. Bridgewater J, Galle PR, Khan SA, Llovet JM, Park JW, Patel T, et al. Guidelines for the diagnosis and management of intrahepatic cholangiocarcinoma. J Hepatol 2014;60:1268–1289.

    PubMed  Article  Google Scholar 

  5. Edge SB, Byrd DR, Compton CC, Fritz AG, Greene FL, Trotti A III, eds. AJCC cancer staging manual. 7th edn. New York: Springer; 2010.

    Google Scholar 

  6. Ribero D, Nuzzo G, Amisano M, Tomatis M, Guglielmi A, Giulini SM, et al. Italian chapter of IHPBA. Comparison of the prognostic accuracy of the sixth and seventh editions of the TNM classification for intrahepatic cholangiocarcinoma. HPB (Oxford) 2011;13:198–205.

    Google Scholar 

  7. Nakayama T, Tsuchikawa T, Shichinohe T, Nakamura T, Ebihara Y, Hirano S. Pathological confirmation of para-aortic lymph node status as a potential criterion for the selection of intrahepatic cholangiocarcinoma patients for radical resection with regional lymph node dissection. World J Surg 2014;38:1763–1768.

    PubMed  Article  Google Scholar 

  8. Sano T, Kamiya J, Nagino M, Uesaka K, Kondo S, Kanai M, et al. Macroscopic classification and preoperative diagnosis of intrahepatic cholangiocarcinoma in Japan. J Hepatobiliary Pancreat Surg 1999;6:101–107.

    CAS  PubMed  Article  Google Scholar 

  9. Kim JH, Won HJ, Shin YM, Kim PN, Lee SG, Hwang S. Radiofrequency ablation for recurrent intrahepatic cholangiocarcinoma after curative resection. Eur J Radiol 2011;80:e221–225.

    PubMed  Article  Google Scholar 

  10. Zhou H, Wang H, Zhou D, Wang H, Wang Q, Zou S, et al. Hepatitis B virus-associated intrahepatic cholangiocarcinoma and hepatocellular carcinoma may hold common disease process for carcinogenesis. Eur J Cancer 2010;46:1056–1061.

    CAS  PubMed  Article  Google Scholar 

  11. Nathan H, Aloia TA, Vauthey JN, Abdalla EK, Zhu AX, Schulick RD, et al. A proposed staging system for intrahepatic cholangiocarcinoma. Ann Surg Oncol 2009;16:14–22.

    PubMed  Article  Google Scholar 

  12. Nathan H, Pawlik TM. Staging of intrahepatic cholangiocarcinoma. Curr Opin Gastroenterol 2010;26:269–273.

    CAS  PubMed  Article  Google Scholar 

  13. Farges O, Fuks D, Le Treut YP, Azoulay D, Laurent A, Bachellier P, et al. AJCC 7th edition of TNM staging accurately discriminates outcomes of patients with resectable intrahepatic cholangiocarcinoma: By the AFC-IHCC-2009 study group. Cancer 2011;117:2170–2177.

    PubMed  Article  Google Scholar 

  14. Luo X, Yuan L, Wang Y, Ge R, Sun Y, Wei G. Survival outcomes and prognostic factors of surgical therapy for all potentially resectable intrahepatic cholangiocarcinoma: a large single-center cohort study. J Gastrointest Surg 2014;18:562–572.

    PubMed  Article  Google Scholar 

  15. Fisher SB, Patel SH, Kooby DA, Weber S, Bloomston M, Cho C, et al. Lymphovascular and perineural invasion as selection criteria for adjuvant therapy in intrahepatic cholangiocarcinoma: a multi-institution analysis. HPB (Oxford) 2012;14:514–522.

    Article  Google Scholar 

  16. Sulpice L, Rayar M, Boucher E, Pracht M, Meunier B, Boudjema K. Treatment of recurrent intrahepatic cholangiocarcinoma. Br J Surg 2012;99:1711–1717.

    CAS  PubMed  Article  Google Scholar 

  17. Spolverato G, Kim Y, Alexandrescu S, Popescu I, Marques HP, Aldrighetti L, et al. Is hepatic resection for large or multifocal intrahepatic cholangiocarcinoma justified? results from a multi-institutional collaboration. Ann Surg Oncol 2014. [Epub ahead of print].

  18. Nakagawa A, Igami T, Sugawara G, Ebata T, Yokoyama Y, Takahashi Y, et al. Hepatobiliary resection with concomitant resection of the inferior vena cava for advanced intrahepatic cholangiocarcinoma: report of a case. Surg Today 2013;43:1321–1325.

    PubMed  Article  Google Scholar 

  19. Ali SM, Clark CJ, Zaydfudim VM, Que FG, Nagorney DM. Role of major vascular resection in patients with intrahepatic cholangiocarcinoma. Ann Surg Oncol 2013;20:2023–2028.

    PubMed  Article  Google Scholar 

  20. Nagino M, Nimura Y, Nishio H, Ebata T, Igami T, Matsushita M, et al. Hepatectomy with simultaneous resection of the portal vein and hepatic artery for advanced perihilar cholangiocarcinoma: an audit of 50 consecutive cases. Ann Surg 2010;252:115–123.

    PubMed  Article  Google Scholar 

  21. Hwang S, Moon DB, Lee SG. Liver transplantation and conventional surgery for advanced hepatocellular carcinoma. Transpl Int 2010;23:723–727.

    PubMed  Article  Google Scholar 

  22. Farges O, Fuks D, Boleslawski E, Le Treut YP, Castaing D, Laurent A, et al. Influence of surgical margins on outcome in patients with intrahepatic cholangiocarcinoma: a multicenter study by the AFC-IHCC-2009 study group. Ann Surg 2011;254:824–829.

    PubMed  Article  Google Scholar 

  23. Uenishi T, Ariizumi S, Aoki T, Ebata T, Ohtsuka M, Tanaka E, et al. Proposal of a new staging system for mass-forming intrahepatic cholangiocarcinoma: a multicenter analysis by the Study Group for Hepatic Surgery of the Japanese Society of Hepato-Biliary-Pancreatic Surgery. J Hepatobiliary Pancreat Sci 2014;21:499–508.

    PubMed  Article  Google Scholar 

  24. Guglielmi A, Ruzzenente A, Campagnaro T, Valdegamberi A, Bagante F, Bertuzzo F, et al. Patterns and prognostic significance of lymph node dissection for surgical treatment of perihilar and intrahepatic cholangiocarcinoma. J Gastrointest Surg 2013;17:1917–1928.

    PubMed  Article  Google Scholar 

  25. Spolverato G, Ejaz A, Kim Y, Sotiropoulos GC, Pau A, Alexandrescu S, et al. Tumor size predicts vascular invasion and histologic grade among patients undergoing resection of intrahepatic cholangiocarcinoma. J Gastrointest Surg 2014;18:1284–1291.

    PubMed  Article  Google Scholar 

  26. Ribero D, Pinna AD, Guglielmi A, Ponti A, Nuzzo G, Giulini SM, et al. Italian intrahepatic cholangiocarcinoma study group. Surgical approach for long-term survival of patients with intrahepatic cholangiocarcinoma: a multi-institutional analysis of 434 patients. Arch Surg 2012;147:1107–1113.

    PubMed  Article  Google Scholar 

  27. Patel SH, Kooby DA, Staley CA 3rd, Sarmiento JM, Maithel SK. The prognostic importance of lymphovascular invasion in cholangiocarcinoma above the cystic duct: a new selection criterion for adjuvant therapy? HPB 2011;13:605–611.

    PubMed Central  PubMed  Article  Google Scholar 

  28. Clark CJ, Wood-Wentz CM, Reid-Lombardo KM, Kendrick ML, Huebner M, Que FG. Lymphadenectomy in the staging and treatment of intrahepatic cholangiocarcinoma: a population-based study using the National Cancer Institute SEER database. HPB (Oxford) 2011;13:612–620.

    Article  Google Scholar 

  29. Adachi T, Eguchi S. Lymph node dissection for intrahepatic cholangiocarcinoma: a critical review of the literature to date. J Hepatobiliary Pancreat Sci 2014;21:162–168.

    PubMed  Article  Google Scholar 

  30. de Jong MC, Nathan H, Sotiropoulos GC, Paul A, Alexandrescu S, Marques H, et al. Intrahepatic cholangiocarcinoma: an international multi-institutional analysis of prognostic factors and lymph node assessment. J Clin Oncol 2011;29:3140–3145.

    PubMed  Article  Google Scholar 

  31. Maithel SK, Gamblin TC, Kamel I, Corona-Villalobos CP, Thomas M, Pawlik TM. Multidisciplinary approaches to intrahepatic cholangiocarcinoma. Cancer 2013;119:3929–3942.

    PubMed  Article  Google Scholar 

  32. Ercolani G, Vetrone G, Grazi GL, Aramaki O, Cescon M, Ravaioli M, et al. Intrahepatic cholangiocarcinoma: primary liver resection and aggressive multimodal treatment of recurrence significantly prolong survival. Ann Surg 2010;252:107–114.

    PubMed  Article  Google Scholar 

  33. Kamphues C, Seehofer D, Eisele RM, Denecke T, Pratschke J, Neumann UP, et al. Recurrent intrahepatic cholangiocarcinoma: single-center experience using repeated hepatectomy and radiofrequency ablation. J Hepatobiliary Pancreat Sci 2010;17:509–515.

    PubMed  Article  Google Scholar 

  34. Zhang SJ, Hu P, Wang N, Shen Q, Sun AX, Kuang M, et al. Thermal ablation versus repeated hepatic resection for recurrent intrahepatic cholangiocarcinoma. Ann Surg Oncol 2013;20:3596–3602.

    PubMed  Article  Google Scholar 

  35. Kim YI, Park JW, Kim BH, Woo SM, Kim TH, Koh YH, et al. Outcomes of concurrent chemoradiotherapy versus chemotherapy alone for advanced-stage unresectable intrahepatic cholangiocarcinoma. Radiat Oncol 2013;8:292.

    PubMed Central  PubMed  Article  Google Scholar 

  36. Kuhlmann JB, Blum HE. Locoregional therapy for cholangiocarcinoma. Curr Opin Gastroenterol 2013;29:324–328.

    PubMed  Article  Google Scholar 

Download references

Acknowledgments

None of the authors was supported financially for this study.

Conflicts of Interest

None

Author information

Affiliations

Authors

Corresponding author

Correspondence to Shin Hwang.

Rights and permissions

Reprints and Permissions

About this article

Verify currency and authenticity via CrossMark

Cite this article

Hwang, S., Lee, YJ., Song, GW. et al. Prognostic Impact of Tumor Growth Type on 7th AJCC Staging System for Intrahepatic Cholangiocarcinoma: a Single-Center Experience of 659 Cases. J Gastrointest Surg 19, 1291–1304 (2015). https://doi.org/10.1007/s11605-015-2803-6

Download citation

  • Received:

  • Accepted:

  • Published:

  • Issue Date:

  • DOI: https://doi.org/10.1007/s11605-015-2803-6

Keywords

  • Intrahepatic cholangiocarcinoma
  • Resection
  • Recurrence
  • Lymphovascular invasion
  • Perineural invasion