Skip to main content

Safety and Outcomes Following Resection of Colorectal Liver Metastases in the Era of Current Perioperative Chemotherapy

Abstract

Background

Preoperative chemotherapy is increasingly utilized in the treatment of colorectal liver metastases (CRLM). Although this strategy may improve resectability, long-term advantages of preoperative chemotherapy for resectable CRLM are less clear. The objective of this study is to report safety and outcomes when perioperative chemotherapy is routinely added to surgery for CRLM.

Methods

A retrospective review of patients undergoing liver resections for CRLM during 2003–2011 in single academic oncology center. Demographic data, tumor characteristics, chemotherapy, surgical details, complications and survival were analyzed.

Results

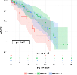
The study included 157 patients that underwent 168 liver operations. One hundred eighteen patients (70 %) underwent preoperative chemotherapy (75 % oxaliplatin-based). Preoperative portal vein embolization was utilized in 16 (10.1 %) patients. Overall survival (OS) was 89, 57, and 27 % at 1, 3, and 5 years, respectively (median survival—42.8 months). Eleven (7 %) patients had repeat resections for liver recurrence. Thirty-day mortality was 1.26 %, morbidity—24 % (6 %—liver related). Complications were not significantly different in patients that had preoperative chemotherapy. On a multivariate analysis advanced age and >3 lesions predicted poor OS, while advanced age, lesions >5 cm, synchronous lesions, margin-positivity and resection less than hepatectomy were associated with decreased DFS.

Conclusions

Our results suggest that even with chemotherapy and resection only a subset of patients remain disease-free after 5 years. However, even in a high-risk patient with multiple lesions, preoperative chemotherapy can be administered safely without apparent increase in postoperative complications. Perioperative chemotherapy should be considered particularly in patients with multifocal or large lesions, synchronous disease and short disease-free interval.

This is a preview of subscription content, access via your institution.

Fig. 1
Fig 2
Fig 3

References

  1. Abdalla EK, Vauthey JN, Ellis LM, et al. Recurrence and outcomes following hepatic resection, radiofrequency ablation, and combined resection/ablation for colorectal liver metastases. Ann Surg. 2004;239(6):818–825.

    PubMed  Article  Google Scholar 

  2. Fernandez FG, Drebin JA, Linehan DC, Dehdashti F, Siegel BA, Strasberg SM. Five-year survival after resection of hepatic metastases from colorectal cancer in patients screened by positron emission tomography with F-18 fluorodeoxyglucose (FDG-PET). Ann Surg. 2004;240(3):438–447.

    PubMed  Article  Google Scholar 

  3. Pawlik TM, Scoggins CR, Zorzi D, et al. Effect of surgical margin status on survival and site of recurrence after hepatic resection for colorectal metastases. Ann Surg. 2005;241(5):715–722.

    PubMed  Article  Google Scholar 

  4. Nordlinger B, Sorbye H, Glimelius B, et al. Perioperative chemotherapy with FOLFOX4 and surgery versus surgery alone for resectable liver metastases from colorectal cancer (EORTC Intergroup trial 40983): a randomised controlled trial. Lancet. 2008;371(9617):1007–1016.

    PubMed  Article  CAS  Google Scholar 

  5. Adam R, Delvart V, Pascal G, et al. Rescue surgery for unresectable colorectal liver metastases downstaged by chemotherapy: a model to predict long-term survival. Ann Surg. 2004;240(4):644–657.

    PubMed  Google Scholar 

  6. Fong Y, Fortner J, Sun RL, Brennan MF, Blumgart LH. Clinical score for predicting recurrence after hepatic resection for metastatic colorectal cancer: analysis of 1001 consecutive cases. Ann Surg. 1999;230(3):309–318.

    PubMed  Article  CAS  Google Scholar 

  7. Nordlinger B SH, Glimelius B, Poston GJ, Schlag PM, Rougier P, Bechstein W, Primrose JN, Walpole ET, Mauer MM, Gruenberger T. EORTC liver metastases intergroup randomized phase III study 40983: Long-term survival results. Paper presented at: ASCO annual 12 meeting2012.

  8. Choti MA, Sitzmann JV, Tiburi MF, et al. Trends in long-term survival following liver resection for hepatic colorectal metastases. Ann Surg. 2002;235(6):759–766.

    PubMed  Article  Google Scholar 

  9. Mehta NN, Ravikumar R, Coldham CA, et al. Effect of preoperative chemotherapy on liver resection for colorectal liver metastases. Eur J Surg Oncol. 2008;34(7):782–786.

    PubMed  Article  CAS  Google Scholar 

  10. Abdalla EK, Adam R, Bilchik AJ, Jaeck D, Vauthey JN, Mahvi D. Improving resectability of hepatic colorectal metastases: expert consensus statement. Ann Surg Oncol. 2006;13(10):1271–1280.

    PubMed  Article  Google Scholar 

  11. Adam R, Wicherts DA, de Haas RJ, et al. Patients with initially unresectable colorectal liver metastases: is there a possibility of cure? J Clin Oncol. 2009;27(11):1829–1835.

    PubMed  Article  Google Scholar 

  12. Boostrom SY, Nagorney DM, Donohue JH, et al. Impact of neoadjuvant chemotherapy with FOLFOX/FOLFIRI on disease-free and overall survival of patients with colorectal metastases. J Gastrointest Surg. 2009;13(11):2003–2009.

    PubMed  Article  Google Scholar 

  13. Gallagher DJ, Zheng J, Capanu M, et al. Response to neoadjuvant chemotherapy does not predict overall survival for patients with synchronous colorectal hepatic metastases. Ann Surg Oncol. 2009;16(7):1844–1851.

    PubMed  Article  Google Scholar 

  14. Lubezky N, Geva R, Shmueli E, et al. Is there a survival benefit to neoadjuvant versus adjuvant chemotherapy, combined with surgery for resectable colorectal liver metastases? World J Surg. 2009;33(5):1028–1034.

    PubMed  Article  Google Scholar 

  15. Kooby DA, Fong Y, Suriawinata A, et al. Impact of steatosis on perioperative outcome following hepatic resection. J Gastrointest Surg. 2003;7(8):1034–1044.

    PubMed  Article  Google Scholar 

  16. Vauthey JN, Pawlik TM, Ribero D, et al. Chemotherapy regimen predicts steatohepatitis and an increase in 90-day mortality after surgery for hepatic colorectal metastases. J Clin Oncol. 2006;24(13):2065–2072.

    PubMed  Article  CAS  Google Scholar 

  17. Rubbia-Brandt L, Audard V, Sartoretti P, et al. Severe hepatic sinusoidal obstruction associated with oxaliplatin-based chemotherapy in patients with metastatic colorectal cancer. Ann Oncol. 2004;15(3):460–466.

    PubMed  Article  CAS  Google Scholar 

  18. Karoui M, Penna C, Amin-Hashem M, et al. Influence of preoperative chemotherapy on the risk of major hepatectomy for colorectal liver metastases. Ann Surg. 2006;243(1):1–7.

    PubMed  Google Scholar 

  19. Partelli S, Mukherjee S, Mawire K, et al. Larger hepatic metastases are more frequent with N0 colorectal tumours and are associated with poor prognosis: implications for surveillance. Int J Surg. 2010;8(6):453–457.

    PubMed  Article  CAS  Google Scholar 

  20. Bleicher RJ, Allegra DP, Nora DT, Wood TF, Foshag LJ, Bilchik AJ. Radiofrequency ablation in 447 complex unresectable liver tumors: lessons learned. Ann Surg Oncol. 2003;10(1):52–58.

    PubMed  Article  Google Scholar 

  21. de Haas RJ, Wicherts DA, Flores E, Azoulay D, Castaing D, Adam R. R1 resection by necessity for colorectal liver metastases: is it still a contraindication to surgery? Ann Surg. 2008;248(4):626–637.

    PubMed  Google Scholar 

  22. Scheele J, Rudroff C, Altendorf-Hofmann A. Resection of colorectal liver metastases revisited. J Gastrointest Surg. 1997;1(5):408–422.

    PubMed  Article  CAS  Google Scholar 

  23. Weber SM, Jarnagin WR, DeMatteo RP, Blumgart LH, Fong Y. Survival after resection of multiple hepatic colorectal metastases. Ann Surg Oncol. 2000;7(9):643–650.

    PubMed  Article  CAS  Google Scholar 

  24. Cady B, Jenkins RL, Steele GD, Jr., et al. Surgical margin in hepatic resection for colorectal metastasis: a critical and improvable determinant of outcome. Ann Surg. 1998;227(4):566–571.

    PubMed  Article  CAS  Google Scholar 

  25. Scheele J, Altendorf-Hofmann A. Resection of colorectal liver metastases. Langenbecks Arch Surg. 1999;384(4):313–327.

    PubMed  Article  CAS  Google Scholar 

  26. Rees M, Tekkis PP, Welsh FK, O'Rourke T, John TG. Evaluation of long-term survival after hepatic resection for metastatic colorectal cancer: a multifactorial model of 929 patients. Ann Surg. 2008;247(1):125–135.

    PubMed  Article  Google Scholar 

  27. Smith MD, McCall JL. Systematic review of tumour number and outcome after radical treatment of colorectal liver metastases. Br J Surg. 2009;96(10):1101–1113.

    PubMed  Article  CAS  Google Scholar 

  28. Pawlik TM, Abdalla EK, Ellis LM, Vauthey JN, Curley SA. Debunking dogma: surgery for four or more colorectal liver metastases is justified. J Gastrointest Surg. 2006;10(2):240–248.

    PubMed  Article  Google Scholar 

  29. Kornprat P, Jarnagin WR, Gonen M, et al. Outcome after hepatectomy for multiple (four or more) colorectal metastases in the era of effective chemotherapy. Ann Surg Oncol. 2007;14(3):1151–1160.

    PubMed  Article  Google Scholar 

  30. Muratore A, Ribero D, Zimmitti G, Mellano A, Langella S, Capussotti L. Resection margin and recurrence-free survival after liver resection of colorectal metastases. Ann Surg Oncol. 2010;17(5):1324–1329.

    PubMed  Article  Google Scholar 

  31. Hamady ZZ, Cameron IC, Wyatt J, Prasad RK, Toogood GJ, Lodge JP. Resection margin in patients undergoing hepatectomy for colorectal liver metastasis: a critical appraisal of the 1cm rule. Eur J Surg Oncol. 2006;32(5):557–563.

    PubMed  Article  CAS  Google Scholar 

  32. Are C, Gonen M, Zazzali K, et al. The impact of margins on outcome after hepatic resection for colorectal metastasis. Ann Surg. 2007;246(2):295–300.

    PubMed  Article  Google Scholar 

  33. Abdalla EK, Hicks ME, Vauthey JN. Portal vein embolization: rationale, technique and future prospects. Br J Surg. 2001;88(2):165–175.

    PubMed  Article  CAS  Google Scholar 

  34. Azoulay D, Castaing D, Smail A, et al. Resection of nonresectable liver metastases from colorectal cancer after percutaneous portal vein embolization. Ann Surg. 2000;231(4):480–486.

    PubMed  Article  CAS  Google Scholar 

  35. Adam R, Laurent A, Azoulay D, Castaing D, Bismuth H. Two-stage hepatectomy: A planned strategy to treat irresectable liver tumors. Ann Surg. 2000;232(6):777–785.

    PubMed  Article  CAS  Google Scholar 

  36. Barone C, Nuzzo G, Cassano A, et al. Final analysis of colorectal cancer patients treated with irinotecan and 5-fluorouracil plus folinic acid neoadjuvant chemotherapy for unresectable liver metastases. Br J Cancer. 2007;97(8):1035–1039.

    PubMed  Article  CAS  Google Scholar 

  37. Giacchetti S, Itzhaki M, Gruia G, et al. Long-term survival of patients with unresectable colorectal cancer liver metastases following infusional chemotherapy with 5-fluorouracil, leucovorin, oxaliplatin and surgery. Ann Oncol. Jun 1999;10(6):663–669.

    Google Scholar 

  38. Folprecht G, Gruenberger T, Bechstein WO, et al. Tumour response and secondary resectability of colorectal liver metastases following neoadjuvant chemotherapy with cetuximab: the CELIM randomised phase 2 trial. Lancet Oncol. 2010;11(1):38–47.

    PubMed  Article  CAS  Google Scholar 

  39. Adam R, Avisar E, Ariche A, et al. Five-year survival following hepatic resection after neoadjuvant therapy for nonresectable colorectal. Ann Surg Oncol. May 2001;8(4):347–353.

    Google Scholar 

  40. Alberts SR, Horvath WL, Sternfeld WC, et al. Oxaliplatin, fluorouracil, and leucovorin for patients with unresectable liver-only metastases from colorectal cancer: a North Central Cancer Treatment Group phase II study. Journal of clinical oncology: official journal of the American Society of Clinical Oncology. Dec 20 2005;23(36):9243–9249.

    Google Scholar 

  41. Fong Y, Blumgart LH, Cohen A, Fortner J, Brennan MF. Repeat hepatic resections for metastatic colorectal cancer. Ann Surg. 1994;220(5):657–662.

    PubMed  Article  CAS  Google Scholar 

  42. Bozzetti F, Bignami P, Montalto F, Doci R, Gennari L. Repeated hepatic resection for recurrent metastases from colorectal cancer. Br J Surg. 1992;79(2):146–148.

    PubMed  Article  CAS  Google Scholar 

  43. Hohenberger P, Schlag P, Schwarz V, Herfarth C. Tumor recurrence and options for further treatment after resection of liver metastases in patients with colorectal cancer. J Surg Oncol. 1990;44(4):245–251.

    PubMed  Article  CAS  Google Scholar 

  44. Petrowsky H, Gonen M, Jarnagin W, et al. Second liver resections are safe and effective treatment for recurrent hepatic metastases from colorectal cancer: a bi-institutional analysis. Ann Surg. 2002;235(6):863–871.

    PubMed  Article  Google Scholar 

  45. de Jong MC, Mayo SC, Pulitano C, et al. Repeat curative intent liver surgery is safe and effective for recurrent colorectal liver metastasis: results from an international multi-institutional analysis. Journal of gastrointestinal surgery : official journal of the Society for Surgery of the Alimentary Tract. 2009;13(12):2141–2151.

    Article  Google Scholar 

Download references

Acknowledgments

The corresponding author would like to thank his family and his beloved wife for the tremendous support and patience they granted him when he was working on this project.

Conflicts of interest

The authors have no financial interests or conflicts of interest to disclose.

Funding

None.

Author information

Affiliations

Authors

Corresponding author

Correspondence to Ilia Gur.

Rights and permissions

Reprints and Permissions

About this article

Cite this article

Gur, I., Diggs, B.S., Wagner, J.A. et al. Safety and Outcomes Following Resection of Colorectal Liver Metastases in the Era of Current Perioperative Chemotherapy. J Gastrointest Surg 17, 2133–2142 (2013). https://doi.org/10.1007/s11605-013-2295-1

Download citation

  • Received:

  • Accepted:

  • Published:

  • Issue Date:

  • DOI: https://doi.org/10.1007/s11605-013-2295-1

Keywords

  • Colorectal liver metastases
  • Liver resection
  • Colorectal cancer
  • Chemotherapy
  • Outcomes
  • FOLFOX
  • Repeat resections
  • Portal vein embolization