Skip to main content

Outcome Comparisons Among the Hangzhou, Chengdu, and UCSF Criteria for Hepatocellular Carcinoma Liver Transplantation after Successful Downstaging Therapies

Abstract

Background

In Mainland China, many selection criteria for hepatocellular carcinoma (HCC) liver transplantation, such as the Hangzhou, the Chengdu, and the Fudan criteria, have been established. No comparisons have been made among the outcomes using the Hangzhou, Chengdu, and University of California, San Francisco (UCSF) criteria in patients who underwent successful downstaging therapies.

Methods

After successful downstaging therapies, 72 patients met the UCSF criteria, 86 met the Chengdu criteria, and 102 met the Hangzhou criteria. The data on these HCC patients were retrospectively analyzed, and various outcomes, such as survival and the tumor-free survival rate, were compared among the three groups.

Results

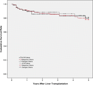
No significant differences were observed among the three groups with regard to the downstaging protocols, baseline characteristics, or liver function. However, the patients who met the Hangzhou criteria had significantly larger tumor targets than those who met the Chengdu or UCSF criteria (P < 0.05). The three groups showed similar 1-, 3-, and 5-year survival rates (90.9, 80.0, and 78.6 %, respectively, for the UCSF criteria; 91.6, 81.9, and 75.6 %, respectively, for the Hangzhou criteria; and 91.1, 83.3, and 79.4 %, respectively, for the Chengdu criteria); 1-, 3-, and 5-year tumor-free survival rates (83.3, 77.5, and 75 %, respectively, for the UCSF criteria; 86.3, 78.8, and 75.6 %, respectively, for the Hangzhou criteria; and 87.3, 79.2, and 76.4 %, respectively, for the Chengdu criteria); and 1-, 3-, and 5-year tumor recurrence rates (9.2, 17.5, and 21.4 %, respectively, for the UCSF criteria; 8.4, 16.4, and 20 % for the Hangzhou criteria; and 8.9, 14.6, and 17.6 % for the Chengdu criteria).

Conclusion

Because they have contributed to similar outcomes but to larger HCC patient pools, the Hangzhou criteria for HCC transplantation should be comprehensively accepted in China for HCC patients after successful downstaging therapies.

This is a preview of subscription content, access via your institution.

Fig. 1
Fig. 2

Abbreviations

HCC:

Hepatocellular carcinoma

LT:

Liver transplantation

TACE:

Transcatheter arterial chemoembolization

RAF:

Radiofrequency ablation

HIFU:

High-intensity focused ultrasound

AFP:

Alpha-fetoprotein

LDLT:

Living donor liver transplantation

DDLT:

Deceased donor liver transplantation

HBIG:

Hepatitis B immunoglobulin

Anti-HBs:

Hepatitis B surface antigen

BMI:

Body mass index

LD:

Liver disease

TNM:

Tumor–node–metastasis

OLT:

Orthotopic liver transplantation

UNOS:

United Network for Organ Sharing

UCSF:

University of California, San Francisco

References

  1. Mazzaferro V, Regalia E, Doci R, Andreola S, Pulvirenti A, Bozzrtti F, et al. Liver transplantation for the treatment of small hepatocellular carcinomas in patients with cirrhosis. N Engl J Med. 1996;334(11):693-9[PMID:8594428]

    PubMed  Article  CAS  Google Scholar 

  2. Yao FY, Ferrell L, Bass NM, Watson JJ, Bacchetti P, Venook A, et al. Liver transplantation for hepatocellular carcinoma: expansion of the tumor size limits does not adversely impact survival. Hepatology. 2001;6:1394-1403 [PMID:11391528]

    Article  Google Scholar 

  3. Roayaie S, Frischer JS, Emre SH, Fishbein TM, Sheiner PA, Sung M, et al. Long-term results with multi-modal adjuvant therapy and liver transplantation for the treatment of hepatocellular carcinomas larger than 5 centimeters. Ann Surg. 2002;235:533-539 [PMID:11923610]

    PubMed  Article  Google Scholar 

  4. Zheng SS, Xu X, Wu J, Chen J, Wang WL, Zhang M, et al. Liver transplantation for hepatocellular carcinoma: Hangzhou experiences. Transplantation 2008;85: 1726-1732 [PMID:18580463]

    PubMed  Article  CAS  Google Scholar 

  5. Hanouneh IA, Macaron C, Lopez R, Aucejo F, Zein NN. Rate of tumor growth predicts recurrence of hepatocellular carcinoma after liver transplantation in patients beyond Milan or UCSF criteria. Transplant Proc. 2011 Dec;43(10):3813-8 [PMID:22172852]

  6. Parkin M, Bray F, Ferlay J, Pisani P. Global cancer statistics. 2002.CA Cancer J. Clin. 2005;55:74-108 [PMID:15761078]

    PubMed  Article  Google Scholar 

  7. Lei JY, Yan LN. Comparison between living donor liver transplantation recipients who met the Milan and UCSF criteria after successful down-staging therapies. J Gastrointest Surg. 2012 Sep 5[Epud ahead of print] [PMID:22948843]

  8. Jiang L, Yan L, Li B, Wen T, Zhao J, Jiang L, et al. Prophylaxis against hepatitis B recurrence posttransplantation using lamivudine and individualized low-dose hepatitis B immunoglobulin. Am J Transplant.2010 Aug;10(8):1861-9 [PMID:20659092]

  9. Iwatsuki S, Starzl TE, Sheahan FG, Yokohama I, Demetris AJ, Todo S, et al. Hepatic resection versus transplantation for hepatocellular carcinoma. Ann Surg 1991;214:221-228 [PMID: 1656903]

    PubMed  Article  CAS  Google Scholar 

  10. Bismuth H, Chiche L, Adan R, Castaing D, Diamond T, Dennison A. Liver resection versus transplantation in cirrhotic patients with hepatocellular carcinoma in cirrhosis. Ann Surg 1993;218:145-151 [PMID:8393649]

    PubMed  Article  CAS  Google Scholar 

  11. International Union Against Cancer (UICC). TNM Classification of Malignant Tumors. 5th ed. In: LH Sobin, Ch Wittekind (eds). New York, NY: Wiley-Liss,1997:74-77

  12. Marsh JW, Dvorchik I, Bonham CA, Iwatsuki S. Is the pathologic TNM staging system for patients with hepatoma predictive of outcome? Cancer 2000;88:538-543 [PMID:10649244]

    PubMed  Article  CAS  Google Scholar 

  13. Yao FY, Ferrell L, Bass NM, Bacchetti P, Ascher NL, Roberts JP. Liver transplantation for hepatocellular carcinoma: comparison of the proposed UCSF criteria with the Milan criteria and the Pittsburgh modified TNM criteria. Liver Transpl.2002 Sep;8(9):765-74 [PMID:12200775]

  14. Duffy JP, Vardanian A, Benjamin E, Watson M, Farmer DG, Ghobrial RM, et al. Liver transplantation criteria for hepatocellular should be expanded: a 22-year experience with 467 patients at UCLA. Ann Surg. 2007 Sep; 246(3):502-9 [PMID:17717454]

  15. Fouzas I, Sotiropoulos GC, Lang H, Nadalin S, Beckebaum S, Sgourakis G, et al. Living donor liver transplantation for hepatocellular carcinoma in patients exceeding the UCSF criteria. Transplant Proc.2008 Nov;40(9):3185-8 [PMID:19010228]

  16. Macaron C, Hanouneh IA, Lopez R, Aucejo F, Zein NN. Total tumor volume predicts recurrence of hepatocellular carcinoma after liver transplantation in patients beyond Milan or UCSF criteria. Transplant Proc.2010 Dec;42(10):4585-92 [PMID:21168743]

  17. Yao FY, Kinkhabwala M, LaBerge JM, Bass NM, Brown R Jr, Kerlan R, et al. The impact of preoperative loco-regional therapy on outcome after liver transplantation for hepatocellular carcinoma. Am J Transplant. 2005;5:795-804 [PMID:15760404]

    PubMed  Article  Google Scholar 

  18. Ravaioli M, Grazi GL, Piscaglia F, Trevisani F, Cescon M, Ercolani G, et al. Liver transplantation for hepatocellular carcinoma: results of down-staging in patients initially outside the Milan selection criteria. Am J Transpl 2008;8:2547-2557 [PMID:19032223]

    Article  CAS  Google Scholar 

  19. Chapman WC, Doyle MB, Stuart JE, Vachharajani N, Crippin JF, Anderson CD, et al. Outcomes of neoadjuvant transarterial chemoembolization to down-stage hepatocellular carcinoma before liver transplantation. Ann Surg 2008;248:617-625 [PMID:18936575]

    PubMed  Google Scholar 

  20. Silva MF, Sherman M. Criteria for liver transplantation for HCC: What should the limits be? Journal of Hepatology. 2011, 55:1137-1147 [PMID:21718672]

    PubMed  Article  Google Scholar 

  21. Suh KS, Cho EH, Lee HW, Chin WY, Yi NJ, Lee KU. Liver transplantation for hepatocellular carcinoma in patients who do not meet the Milan criteria. Dig Dis 2007;25:329-333 [PMID:17960068]

    PubMed  Article  Google Scholar 

  22. Cillo U, Vitale A, Grigoletto F, Gringeri E, D’Amico F, Valmasoni M, et al. intention-to-treat analysis of liver transplantation in selected, aggressively treated HCC patients exceeding the Milan criteria. Am J Transpl 2007;7:972-981 [PMID:17391137]

    Article  CAS  Google Scholar 

  23. Kneteman NM, Oberholzer J, Saghier MA, Meeberg GA, Blitz M, Ma MM, et al. Sirolimus-based immunosuppression for liver transplantation in the presence of extended criteria for hepatocellular carcinoma. Liver Transpl 2004;10:1201-1311 [PMID:15376305]

    Article  Google Scholar 

  24. Pawlik TM, Gleisner AL, Anders RA, Assumpcao L, Maley W, Choti MA. Preoperative assessment of hepatocellular carcinoma tumor grade using needle biopsy, implications for transplant eligibility. Ann Surg 2007;245:435-442 [PMID:17435551]

    PubMed  Article  Google Scholar 

  25. Bruix J, Sherman M. Management of hepatocellular carcinoma. Hepatology. 2005;42:1208-1236 [PMID:16250051]

    PubMed  Article  Google Scholar 

  26. Merani S, Majno P, Kneteman NM, Berney T, Morel P, Mentha G, et al. The impact of waiting list alpha-fetoprotein changes on the outcome of liver transplant for hepatocellular carcinoma. J Hepatol 2011;55:814-9 [PMID:21334400]

    PubMed  Article  CAS  Google Scholar 

Download references

Acknowledgments

Thanks for the language editing service from the American Journal Experts. This study was supported by grants from The National Sciences and Technology Major Project of China (2012ZX10002-016) and (2012ZX10002-017). Thanks for the data from China Liver Transplant Registry (CLTR).

Conflict of interest

No benefits in any form have been received or will be received from a commercial party related directly or indirectly to the subject of this article.1

Author information

Affiliations

Authors

Corresponding author

Correspondence to Lunan Yan.

Rights and permissions

Reprints and Permissions

About this article

Cite this article

Lei, J., Yan, L. Outcome Comparisons Among the Hangzhou, Chengdu, and UCSF Criteria for Hepatocellular Carcinoma Liver Transplantation after Successful Downstaging Therapies. J Gastrointest Surg 17, 1116–1122 (2013). https://doi.org/10.1007/s11605-013-2140-6

Download citation

  • Received:

  • Accepted:

  • Published:

  • Issue Date:

  • DOI: https://doi.org/10.1007/s11605-013-2140-6

Keywords

  • Criteria
  • Liver
  • Transplantation
  • Downstage