Abstract
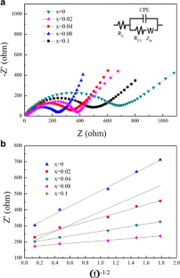
Cr-doped sodium vanadium phosphate (NVP) in the form of Na3V2-xCrx(PO4)3 (x = 0, 0.02, 0.04, 0.08, 0.10) is synthesized via a facile sol-gel route as cathode materials for sodium ion batteries. The structure and morphology of these materials are systematically characterized by x-ray diffraction (XRD), Fourier-infrared spectra (FT-IR), and scanning electron microscope (SEM). XRD analysis reveals that with the increasing amount of Cr, the crystallographic parameters show a descending trend. Electrochemical tests show that the cycle stability and the specific capacity of the sodium ion batteries can be significantly improved by doping Cr into NVP. Among all the Cr-doped cathode materials, Na3V1.92Cr0.08(PO4)3 achieves the highest capacity of 112.2 mAh g−1 and the capacity retention is 97.2 % after 50 cycles. Electrochemical impedance spectroscopy measurements demonstrate that Cr doping is an effective method to reduce the contact resistance of interparticles by suppressing irreversible phase transformation at low sodium contents.







References
Kang J, Baek S, Mathew V (2012) High rate performance of a Na3V2(PO4)3/C cathode prepared by pyro-synthesis for sodium-ion batteries. J Mate Chem 22:20857–20860
Nishi Y (2001) Lithium ion secondary batteries; past 10 years and the future. J Power Sources 100:101–106
Armand M, Tarascon JM (2008) Building better batteries. Nature 451:652–657
Kim SW, Seo DH, Ma X (2012) Electrode materials for rechargeable sodium-ion batteries: potential alternatives to current lithium-ion batteries. Adv Energy Mater 2:710–721
Tarascon JM (2010) Is lithium the new gold? Nature chem 2:510
Hong SY, Kim Y, Park Y (2013) Charge carriers in rechargeable batteries: Na ions vs. Li ions. Energ. Environ. Sci. 6:2067–2081
Pan H, Hu YS, Chen L (2013) Room-temperature stationary sodium-ion batteries for large-scale electric energy storage. Energ. Environ. Sci. 6:2338–2360
Avdeev M, Mohamed Z, Ling CD (2013) Magnetic structures of NaFePO4 maricite and triphylite polymorphs for sodium-ion batteries. Inorg Chem 52:8685–8693
Zaghib K, Trottier J, Hovington P (2011) Characterization of Na-based phosphate as electrode materials for electrochemical cells. J Power Sources 196:9612–9617
Berthelot R, Carlier D, Delmas C (2011) Electrochemical investigation of the P2–NaxCoO2 phase diagram. Nature mater 10:74–80
Wu XH, Guo JH, Wang DW (2015) P2-type Na0.66Ni0.33-xZnxMn0.67O2 as new high-voltage cathode materials for sodium-ion batteries. J Power Sources 281:18–26
Wang L, Lu YH, Liu J (2013) A superior low-cost cathode for a Na-ion battery. Angew Chem Int Ed 52:1964–1967
You Y, Wu XL, Yin YX (2014) High-quality Prussian blue crystals as superior cathode materials for room-temperature sodium-ion batteries. Energ Environ Sci 7:1643–1647
Senguttuvan P, Rousse G, Arroyo y de Dompablo ME (2013) Low-potential sodium insertion in a NASICON-type structure through the Ti (III)/Ti (II) redox couple. J Am Chem Soc 135:3897–3903
Lalère F, Seznec V, Coutry M, David R, Chotard JN, Masqulier C (2015) Improving the energy density of Na3V2(PO4)3-based positive electrodes through V/Al substitution. J Mater Chem A 3:16198–16205
Song W, Ji X, Yao Y, Zhu H, Chen Q, Sun Q, Banks CE (2014) A promising Na3V2(PO4)3 cathode for use in the construction of high energy batteries. Phys Chem Chem Phys 16:3055–3061
Jian ZL, Zhao L, Pan HL, Hu YS, Li H, Chen W, Chen LQ (2012) Carbon coated Na3V2(PO4)3 as novel electrode material for sodium ion batteries. Electrochem Commun 14:86–89
Saravanan K, Mason CW, Rudola A, Wong KH, Balayp P (2013) The first report on excellent cycling stability and superior rate capability of Na3V2(PO4)3 for sodium ion batteries. Adv Energy Mater 3:444–450
Plashnitsa LS, Kobayashi E, Noguchi Y (2010) Performance of NASICON symmetric cell with ionic liquid electrolyte. J Electrochem Soc 157:A536–A543
Liu K, Yang GL, Yue D (2015) Enhanced cycling stability and rate performance of Li[Ni0.5Co0.2Mn0.3]O2 by CeO2 coating at high cutoff voltage. J Power Sources 281:370–377
Wang J, Yao SZ, Lin WQ, Wu BH, He XY, Li JY, Zhao JB (2015) Improving the electrochemical properties of high-voltage lithium nickel manganese oxide by surface coating with vanadium oxides for lithium ion batteries. J Power Sources 280:114–124
Si LL, Yuan ZQ, Hu L, Zhu YC, Qian YT (2014) Uniform and continuous carbon coated sodium vanadium phosphate cathode materials for sodium-ion battery. J Power Sources 272:880–885
Kang J, Baek S, Mathew V, Gim J, Song J, Park H, Chae E, Rai AK, Kim J (2012) High rate performance of a Na3V2(PO4)3/C cathode prepared by pyro-synthesis for sodium-ion batteries. J Mater Chem 22:20857–20860
Duan WC, Zhu ZQ, Li H, Hu Z, Zhang K, Cheng FY, Chen J (2014) Na3V2(PO4)3@C core–shell nanocomposites for rechargeable sodium-ion batteries. J Mater Chem A2:8668–8675
Jung YH, Lim CH, Kim DK (2013) Graphene-supported Na3V2(PO4)3 as a high rate cathode material for sodium-ion batteries. J Mater Chem 1:11350–11354
Song H, Yun SW, Chun HH, Kim MG, Chung KY, Kim HS, Cho BW, Kim YT (2012) Anomalous decrease in structural disorder due to charge redistribution in Cr-doped Li4Ti5O12 negative-electrode materials for high-rate Li-ion batteries. Energy Environ Sci 5:9903–9913
Subburaj T, Prasanna K, Kim KJ (2015) Structural and electrochemical evaluation of bismuth doped lithium titanium oxides for lithium ion batteries. J Power Sources 280:23–29
Zhang QY, Verde MG, Seo JK (2015) Structural and electrochemical properties of Gd-doped Li4Ti5O12 as anode material with improved rate capability for lithium-ion batteries. J Power Sources 280:355–362
Klee R, Lavela P, Aragon MJ, Alcantara R, Tirado JL (2016) Enhanced high-rate performance of manganese substituted Na3V2(PO4)3/C as cathode for sodium-ion batteries. J Power Sources 313:73–80
Zhuo HT, Wang XY, Tang AP, Liu ZM, Gamboa S, Sebastian PJ (2006) The preparation of NaV1-xCrxPO4F cathode materials for sodium-ion battery. J Power Sources 160:698–703
Serras P, Palomares V, Goñi A, Kubiak P, Rojo T (2013) Electrochemical performance of mixed valence Na3V2O2x(PO4)2F3-2x/C as cathode for sodium-ion batteries. J Power Sources 241:56–60
Kissinger PT, Lafayette W, Heineman WR (1983) Cyclic voltammetry. J Chem Educ 60:702–706
Song WX, Ji XB, Wu ZP, Yang YC, Zhou Z, Li FQ, Chen QY, Banks CE (2014) Exploration of ion migration mechanism and diffusion capability for Na3V2(PO4)2F3 cathode utilized in rechargeable sodium-ion batteries. J Power Sources 256:258–263
Du K, Guo HW, Hu GR, Peng ZD, Cao YB (2013) Na3V2(PO4)3 as cathode material for hybrid lithium ion batteries. J Power Sources 223:284–288
Prosini PP, Lisi M, Zane D, Pasquali M (2002) Determination of the chemical diffusion coefficient of lithium in LiFePO4. Solid State Ionics 148:45–51
Ruan YL, Wang K, Song SD, Han X, Cheng BW (2015) Graphene modified sodium vanadium fluorophosphate as a high voltage cathode material for sodium ion batteries. Electrochem Acta 160:330–336
Acknowledgements
This work was supported by Natural Science Foundation of China (No. 21403153), and the Science and Technology Plans of Tianjin (No. 15PTSYJC00230, 16JCTPJC45200).
Author information
Authors and Affiliations
Corresponding author
Rights and permissions
About this article
Cite this article
Ruan, Y., Wang, K., Song, S. et al. Improved structural stability and electrochemical performance of Na3V2 (PO4)3 cathode material by Cr doping. Ionics 23, 1097–1105 (2017). https://doi.org/10.1007/s11581-016-1919-3
Received:
Revised:
Accepted:
Published:
Issue Date:
DOI: https://doi.org/10.1007/s11581-016-1919-3