Skip to main content

Comparison of a Bayesian estimation algorithm and singular value decomposition algorithms for 80-detector row CT perfusion in patients with acute ischemic stroke

Abstract

Purpose

A variety of postprocessing algorithms for CT perfusion are available, with substantial differences in terms of quantitative maps. Although potential advantages of a Bayesian estimation algorithm are suggested, direct comparison with other algorithms in clinical settings remains scarce. We aimed to compare performance of a Bayesian estimation algorithm and singular value decomposition (SVD) algorithms for the assessment of acute ischemic stroke using an 80-detector row CT perfusion.

Methods

CT perfusion data of 36 patients with acute ischemic stroke were analyzed using the Vitrea implemented a standard SVD algorithm, a reformulated SVD algorithm and a Bayesian estimation algorithm. Correlations and statistical differences between affected and contralateral sides of quantitative parameters (cerebral blood volume [CBV], cerebral blood flow [CBF], mean transit time [MTT], time to peak [TTP] and delay) were analyzed. Agreement of the CT perfusion-estimated and the follow-up diffusion-weighted imaging-derived infarct volume were evaluated by nonparametric Passing–Bablok regression analysis.

Results

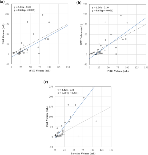
CBF and MTT of the Bayesian estimation algorithm were substantially different and showed a better correlation with the standard SVD algorithm (ρ = 0.78 and 0.80, p < 0.001) than with the reformulated SVD algorithm (ρ = 0.59 and 0.39, p < 0.001). There is no significant difference in MTT only when using the reformulated SVD algorithm (p = 0.217). Regarding the regression lines, the slope and intercept were nearly ideal with the Bayesian estimation algorithm (y = 2.42 x-6.51; ρ = 0.60, p < 0.001) in comparison with the SVD algorithms.

Conclusions

The Bayesian estimation algorithm can lead to a better performance compared with the SVD algorithms in the assessment of acute ischemic stroke because of better delineation of abnormal perfusion areas and accurate estimation of infarct volume.

This is a preview of subscription content, access via your institution.

Fig. 1
Fig. 2
Fig. 3
Fig. 4

Data availability

The datasets generated during and/or analyzed during the current study are available from the corresponding author on reasonable request.

References

  1. Mayer TE, Hamann GF, Baranczyk J et al (2000) Dynamic CT perfusion imaging of acute stroke. AJNR Am J Neuroradiol 21:1441–1449. https://doi.org/10.1161/STR.0000000000000158

    CAS  Article  PubMed  PubMed Central  Google Scholar 

  2. Powers WJ, Rabinstein AA, Ackerson T et al (2018) Guidelines for the early management of patients with acute ischemic stroke: a guideline for healthcare professionals from the american heart association/american stroke association. Stroke 49(3):e46–e99

    Article  Google Scholar 

  3. Fahmi F, Marquering HA, Streekstra GJ et al (2012) Differences in CT perfusion summary maps for patients with acute ischemic stroke generated by 2 software packages. AJNR Am J Neuroradiol 33:2074–2080. https://doi.org/10.3174/ajnr.A3110

    CAS  Article  PubMed  PubMed Central  Google Scholar 

  4. Austein F, Riedel C, Kerby T et al (2016) Comparison of perfusion CT software to predict the final infarct volume after thrombectomy. Stroke 47:2311–2317. https://doi.org/10.1161/STROKEAHA.116.013147

    Article  PubMed  Google Scholar 

  5. Kudo K, Christensen S, Sasaki M et al (2013) Accuracy and reliability assessment of CT and MR perfusion analysis software using a digital phantom. Radiology 267:201–211. https://doi.org/10.1148/radiol.12112618

    Article  PubMed  PubMed Central  Google Scholar 

  6. Kudo K, Sasaki M, Ogasawara K et al (2009) Difference in tracer delay-induced effect among deconvolution algorithms in CT perfusion analysis: quantitative evaluation with digital phantoms. Radiology 251:241–249. https://doi.org/10.1148/radiol.2511080983

    Article  PubMed  Google Scholar 

  7. Doucet C, Roncarolo F, Tampieri D, Del Pilar CM (2016) Paradoxically decreased mean transit time in patients presenting with acute stroke. J Comput Assist Tomogr 40:409–412. https://doi.org/10.1097/RCT.0000000000000366

    Article  PubMed  Google Scholar 

  8. Murayama K, Katada K, Hayakawa M, Toyama H (2017) Shortened mean transit time in CT perfusion with singular value decomposition analysis in acute cerebral infarction: quantitative evaluation and comparison with various CT perfusion parameters. J Comput Assist Tomogr 41:173–180. https://doi.org/10.1097/RCT.0000000000000498

    Article  PubMed  Google Scholar 

  9. Boutelier T, Kudo K, Pautot F, Sasaki M (2012) Bayesian hemodynamic parameter estimation by bolus tracking perfusion weighted imaging. IEEE Trans Med Imaging 31:1381–1395. https://doi.org/10.1109/TMI.2012.2189890

    Article  PubMed  Google Scholar 

  10. Kudo K, Boutelier T, Pautot F et al (2014) Bayesian analysis of perfusion-weighted imaging to predict infarct volume: comparison with singular value decomposition. Magn Reson Med Sci 13:45–50. https://doi.org/10.2463/mrms.2013-0085

    Article  PubMed  Google Scholar 

  11. Nael K, Mossadeghi B, Boutelier T et al (2015) Bayesian estimation of cerebral perfusion using reduced-contrast-dose dynamic susceptibility contrast perfusion at 3T. AJNR Am J Neuroradiol 36:710–718. https://doi.org/10.3174/ajnr.A4184

    CAS  Article  PubMed  PubMed Central  Google Scholar 

  12. Sasaki M, Kudo K, Boutelier T et al (2013) Assessment of the accuracy of a Bayesian estimation algorithm for perfusion CT by using a digital phantom. Neuroradiology 55:1197–1203. https://doi.org/10.1007/s00234-013-1237-7

    Article  PubMed  Google Scholar 

  13. Rava RA, Snyder KV, Mokin M et al (2020a) Assessment of computed tomography perfusion software in predicting spatial location and volume of infarct in acute ischemic stroke patients: a comparison of sphere, vitrea, and RAPID. J Neurointerv Surg. https://doi.org/10.1136/neurintsurg-2020-015966

    Article  PubMed  Google Scholar 

  14. Ostergaard L, Weisskoff RM, Chesler DA et al (1996) High resolution measurement of cerebral blood flow using intravascular tracer bolus passages. part I: mathematical approach and statistical analysis. Magn Reson Med 36:715–725. https://doi.org/10.1002/mrm.1910360510

    CAS  Article  PubMed  Google Scholar 

  15. Hanson EH, Roach CJ, Day KJ et al (2013) Assessment of the tracer delay effect in whole-brain computed tomography perfusion: results in patients without known neuroanatomic abnormalities. J Comput Assist Tomogr 37:212–221. https://doi.org/10.1097/RCT.0b013e31828004bb

    Article  PubMed  Google Scholar 

  16. Bivard A, Levi C, Krishnamurthy V et al (2014) Defining acute ischemic stroke tissue pathophysiology with whole brain CT perfusion. J Neuroradiol 41:307–315. https://doi.org/10.1016/j.neurad.2013.11.006

    CAS  Article  PubMed  Google Scholar 

  17. Rava RA, Snyder KV, Mokin M et al (2020b) Assessment of a bayesian vitrea CT perfusion analysis to predict final infarct and penumbra volumes in patients with acute ischemic stroke: a comparison with RAPID. AJNR Am J Neuroradiol 41:206–212. https://doi.org/10.3174/ajnr.A6395

    CAS  Article  PubMed  PubMed Central  Google Scholar 

  18. Wu O, Østergaard L, Weisskoff RM et al (2003) Tracer arrival timing-insensitive technique for estimating flow in MR perfusion-weighted imaging using singular value decomposition with a block-circulant deconvolution matrix. Magn Reson Med 50:164–174. https://doi.org/10.1002/mrm.10522

    Article  PubMed  Google Scholar 

  19. Østergaard L (2005) Principles of cerebral perfusion imaging by bolus tracking. J Magn Reson Imaging 22:710–717. https://doi.org/10.1002/jmri.20460

    Article  PubMed  Google Scholar 

  20. Sakai Y, Delman BN, Fifi JT et al (2018) Estimation of ischemic core volume using computed tomographic perfusion. Stroke 49:2345–2352. https://doi.org/10.1161/STROKEAHA.118.021952

    Article  PubMed  Google Scholar 

  21. Kudo K, Sasaki M, Yamada K et al (2010) Differences in CT perfusion maps generated by different commercial software: quantitative analysis by using identical source data of acute stroke patients. Radiology 254:200–209. https://doi.org/10.1148/radiol.254082000

    Article  PubMed  Google Scholar 

  22. Nael K, Tadayon E, Wheelwright D et al (2019) Defining ischemic core in acute ischemic stroke using CT perfusion: a multiparametric bayesian-based model. AJNR Am J Neuroradiol 40:1491–1497. https://doi.org/10.3174/ajnr.A6170

    CAS  Article  PubMed  PubMed Central  Google Scholar 

  23. Chen C, Bivard A, Lin L et al (2019) Thresholds for infarction vary between gray matter and white matter in acute ischemic stroke: a CT perfusion study. J Cereb Blood Flow Metab 39:536–546. https://doi.org/10.1177/0271678X17744453

    Article  PubMed  Google Scholar 

  24. d’Esterre CD, Boesen ME, Ahn SH et al (2015) Time-dependent computed tomographic perfusion thresholds for patients with acute ischemic stroke. Stroke 46:3390–3397. https://doi.org/10.1161/STROKEAHA.115.009250

    Article  PubMed  Google Scholar 

  25. Bivard A, Kleinig T, Miteff F et al (2017) Ischemic core thresholds change with time to reperfusion: a case control study. Ann Neurol 82:995–1003. https://doi.org/10.1002/ana.25109

    CAS  Article  PubMed  PubMed Central  Google Scholar 

  26. Qiu W, Kuang H, Lee TY et al (2019) Confirmatory study of time-dependent computed tomographic perfusion thresholds for use in acute ischemic stroke. Stroke 50:3269–3273. https://doi.org/10.1161/STROKEAHA.119.026281

    Article  PubMed  Google Scholar 

Download references

Acknowledgements

We thank Miho Kobayashi (Kurashiki Central Hospital) for her extensive proofreading.

Funding

This research received no specific grant from any funding agency in the public, commercial or not-for-profit sectors.

Author information

Affiliations

Authors

Contributions

All authors contributed to the study conception and design. Material preparation, data collection and analysis were performed by Shota Ichikawa, Hiroyuki Yamamoto and Takumi Morita. The first draft of the manuscript was written by Shota Ichikawa and all authors commented on previous versions of the manuscript. All authors read and approved the final manuscript.

Corresponding author

Correspondence to Shota Ichikawa.

Ethics declarations

Conflicts of interest

The authors declare that there is no conflict of interest.

Ethics approval

This study was approved by the review board of Kurashiki Central Hospital and has been performed in accordance with the ethical standards as laid down in the 1964 Declaration of Helsinki and its later amendments or comparable ethical standards.

Consent to participate

The Hospital Ethics Committee granted permission to use pre-acquired anonymized patient data, and requirement for individual informed consent was waived.

Consent for publication

The Hospital Ethics Committee granted permission to use pre-acquired anonymized patient data, and requirement for individual informed consent was waived.

Additional information

Publisher's Note

Springer Nature remains neutral with regard to jurisdictional claims in published maps and institutional affiliations.

Rights and permissions

Reprints and Permissions

About this article

Verify currency and authenticity via CrossMark

Cite this article

Ichikawa, S., Yamamoto, H. & Morita, T. Comparison of a Bayesian estimation algorithm and singular value decomposition algorithms for 80-detector row CT perfusion in patients with acute ischemic stroke. Radiol med 126, 795–803 (2021). https://doi.org/10.1007/s11547-020-01316-6

Download citation

  • Received:

  • Accepted:

  • Published:

  • Issue Date:

  • DOI: https://doi.org/10.1007/s11547-020-01316-6

Keywords

  • Computed tomography perfusion
  • Bayesian estimation algorithm
  • Singular value decomposition algorithm
  • Acute ischemic stroke
  • Infarction volume